| ||||||||||||||||||||||
Скачать Рекомендации по разработке и применению цен франко-строительная площадка на местные строительные материалы, изделия и конструкцииДата актуализации: 10.08.2017 |
| Статус: | не действует |
| Название рус.: | Рекомендации по разработке и применению цен франко-строительная площадка на местные строительные материалы, изделия и конструкции |
| Дата добавления в базу: | 01.09.2013 |
| Дата актуализации: | 05.05.2017 |
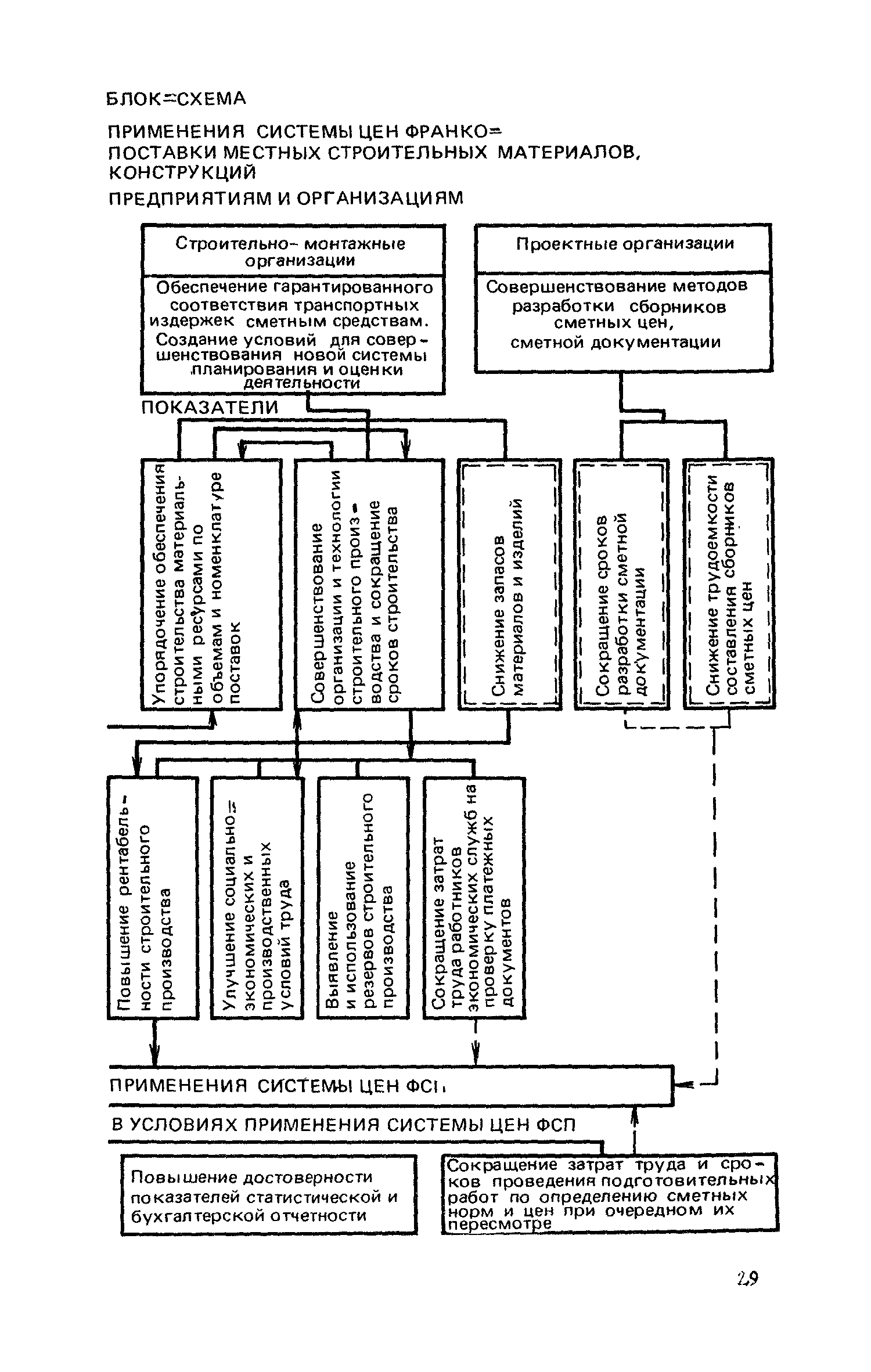
| Область применения: | Документ содержит в систематизированном виде основные положения по разработке цен франко-строительная площадка на местные строительные материалы и изделия, предназначенные для расчетов за поставки материалов и определения сметных цен на материалы. |
| Оглавление: | 1. Общие положения 2. Методические основы разработки цен франко-строительная площадка на местные строительные материалы и железобетонные изделия 3. Принципы и порядок применения цен франко-строительная площадка при расчетах за поставки местных строительных материалов и изделий 4. Методы определения цен франко-строительная площадка на комплексы материалов и изделий на здание (сооружение) 5. Организация работы по подготовке к переходу на систему цен ФСП в области (республике) 6. Эффективность применения системы цен франко-строительная площадка и методы ее оценки Приложение 1. Порядок оформления платежных документов при расчетах за поставки местных материалов и изделий по ценам ФСП и формы кредитования затрат, связанных с осуществлением поставок Приложение 2. Порядок учета в планах подрядных организаций изменений размера расходов по доставке местных материалов и изделий от предприятий до строительных площадок в связи с переходом на расчеты по ценам ФСП в период между общими пересмотрами сметных норм и цен Приложение 3. Принципы и порядок нормирования оборотных средств сбытовых организаций, осуществляющих поставки местных материалов и изделий по ценам ФСП |
| Разработан: | НИИЭС Госстроя СССР |
| Издан: | Стройиздат (1985 г. ) |
| Расположен в: |



































































