| ||||||||||||||||||||||||||||
Скачать ССЦ 81-77-2010-03 Часть V. Материалы, изделия и конструкции для монтажных и специальных строительных работДата актуализации: 10.08.2017
|
| Обозначение: | ССЦ 81-77-2010-03 |
| Обозначение англ: | 81-77-2010-03 |
| Статус: | не действует |
| Название рус.: | Часть V. Материалы, изделия и конструкции для монтажных и специальных строительных работ |
| Дата добавления в базу: | 01.09.2013 |
| Дата актуализации: | 05.05.2017 |
| Область применения: | Сборник предназначен для аналитических и общеэкономических расчетов, укрупненных расчетов стоимости строительства, капитального ремонта и реконструкции объектов строительства, расчета инвесторских смет на объекты, финансируемые за счет средств федерального бюджета и внебюджетных источников, а также разработки сметного раздела проектной документации. |
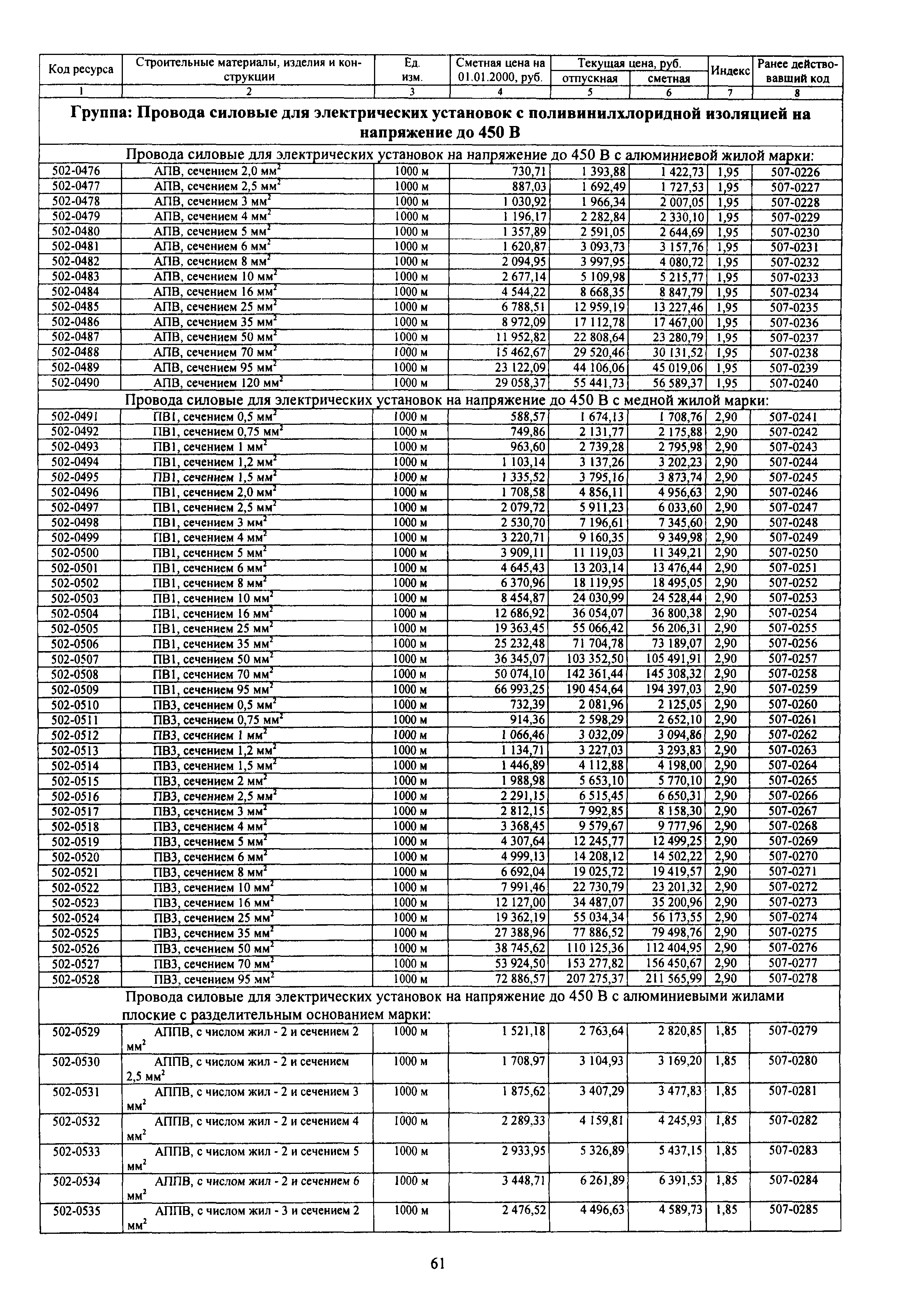
| Оглавление: | Часть V. Материалы, изделия и конструкции для монтажных и специальных строительных работ Раздел 5.01 Кабели Подраздел: Кабели силовые Подраздел: Кабели силовые гибкие Подраздел: Кабели контроля Подраздел: Кабели связи низкочастотные Подраздел: Кабели коаксиальные магистральные Подраздел: Кабели для теплых полов Раздел 5.02 Провода, шнуры, проволока, шины и муфты кабельные Подраздел: Провода Подраздел: Шнуры Подраздел: Проволока, шины Подраздел: Муфты кабельные Раздел 5.03 Линейно-кабельные изделия связи Раздел 5.04 Электроконструкции Раздел 5.06 Прокатно-тянутые изделия из цветных металлов и цветные металлы Подраздел: Ленты Подраздел: Проволока Подраздел: Листы и плиты Подраздел: Прутки из цветных металлов Подраздел: Металлы цветные Подраздел: Полосы Подраздел: Сплавы цветных металлов Раздел 5.07 Трубы, арматура и детали трубопроводов Подраздел: Трубы из цветных металлов Подраздел: Трубы коррозийно-стойкие Подраздел: Трубы стальные Подраздел: Трубы из пластических масс Подраздел: Трубы стеклянные Подраздел: Фасонные части Подраздел: Комплекты ответных стальных плоских приварных фланцев к арматуре трубопроводной Подраздел: Соединительные части технологических трубопроводов Подраздел: Узлы технологических трубопроводов из углеродистых и легированных сталей на Ру 10 МПа (100 кгс/см2) Подраздел: Детали трубопроводов Раздел 5.08 Канаты стальные Подраздел: Канаты круглые Подраздел: Канаты закрытые несущие Подраздел: Канаты плоские Подраздел: Канаты стальные по техническим условиям Раздел 5.09 Прочие материалы Подраздел: Изделия специального назначения Подраздел: Аппаратура электрическая низковольтная Подраздел: Источники света Подраздел: Электроизоляционные изделия Подраздел: Асбестовые технические изделия Подраздел: Химическая продукция и нефтепродукты Подраздел: Материалы для магистральных нефтепроводов |
| Разработан: | Федеральный центр ценообразования в строительстве и промышленности строительных материалов |
| Утверждён: | 19.03.2010 Министерство регионального развития Российской Федерации (10315-СК/08) |
| Расположен в: | |
| Нормативные ссылки: |






























































































































































































































