| ||||||||||||||||||||||||||||||||
Скачать ФССЦпг 2001 Федеральные сметные цены на перевозки грузов для строительства (редакция 2011 г.)Дата актуализации: 10.08.2017
|
| Обозначение: | ФССЦпг 2001 |
| Обозначение англ: | 2001 |
| Статус: | утратил силу |
| Название рус.: | Федеральные сметные цены на перевозки грузов для строительства (редакция 2011 г.) |
| Дата добавления в базу: | 01.09.2013 |
| Дата актуализации: | 05.05.2017 |
| Дата введения: | 11.10.2011 |
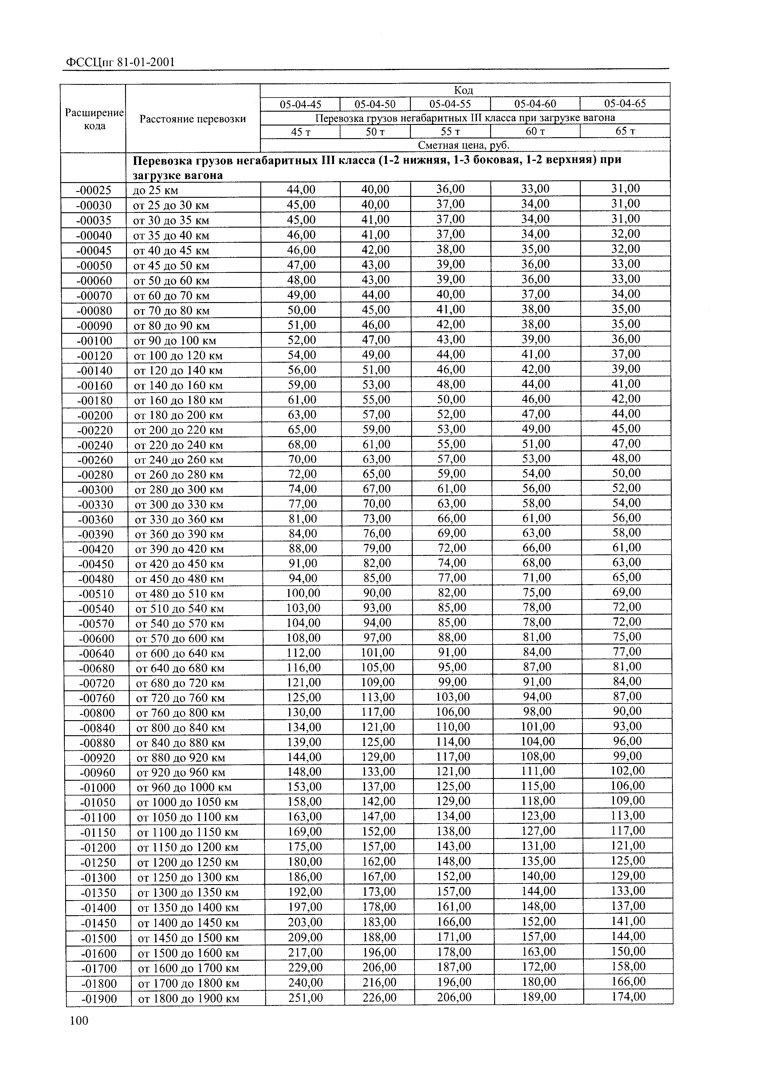
| Область применения: | Сметные цены на погрузо-разгрузочные работы предназначены для определения стоимости этих работ при автомобильных и железнодорожных перевозках строительных материалов, изделий и конструкций в случае их перевалки с одного вида транспорта на другой или при доставке материалов на приобъектные склады через перевалочные базы. |
| Оглавление: | Государственные сметные нормативы 1. Общие положения По разделу 1. Сметные цены на погрузо-разгрузочные работы По разделу 2. Сметные цены на тару, упаковку и реквизит По разделу 3. Сметные цены на перевозку грузов автомобильным транспортом По разделу 4. Сметные цены на перевозку грузов тракторами с прицепами По разделу 5. Сметные цены на перевозку грузов железнодорожным транспортом II. Федеральные сметные цены на перевозки грузов для строительства Раздел 1. Сметные цены на погрузо-разгрузочные работы Подраздел 1.1 Погрузо-разгрузочные работы при автомобильных перевозках Подраздел 1.2 Погрузо-разгрузочные работы при железнодорожных перевозках Подраздел 1.3 Сметные цены на погрузо-разгрузочные работы для районов крайнего севера и местностей, приравненных к ним Раздел 2. Сметные цены на тару, упаковку и реквизит Раздел 3. Сметные цены на перевозку грузов автомобильным транспортом Раздел 4. Сметные цены на перевозку грузов тракторами с прицепами Раздел 5. Сметные цены на перевозку грузов железнодорожным транспортом III. Приложения Приложение 1 Приложение 2 Приложение 3 Приложение 4 Приложение 5 Приложение 6 Приложение 7 Приложение 8 Приложение 9 Приложение 10 Приложение 11 Приложение 12 Приложение 13 Приложение 14 Приложение 15 Приложение 16 Приложение 17 |
| Разработан: | Федеральный центр ценообразования в строительстве и промышленности строительных материалов |
| Утверждён: | 20.07.2011 Министерство регионального развития Российской Федерации (354) |
| Издан: | ФГУ ФЦЦС (2011 г. ) |
| Расположен в: | |
| Список изменений: |
|









































































































































































































Текстовое изменение № И1 от 05.05.2012







