Скачать РД 31.11.81.35-81 Правила морской перевозки пищевых грузов наливом на танкерах ММФДата актуализации: 10.08.2017 РД 31.11.81.35-81
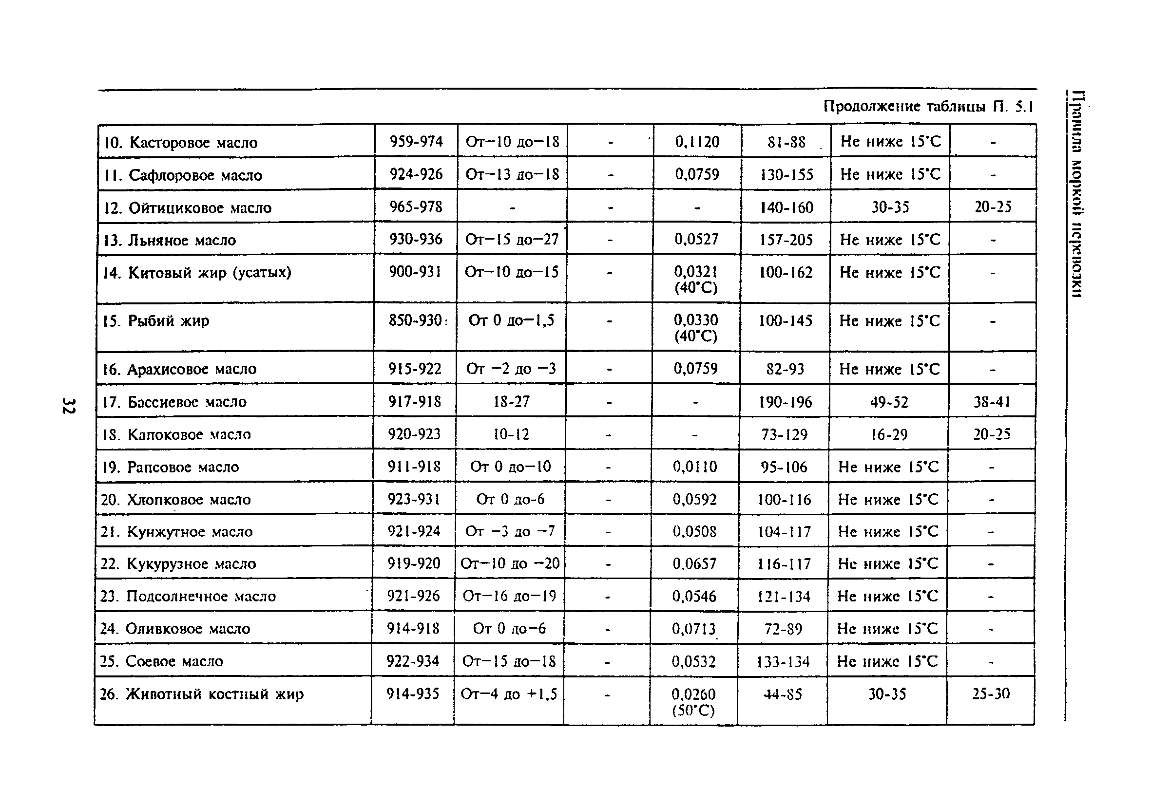
Правила морской перевозки пищевых грузов наливом на танкерах ММФОбозначение: | РД 31.11.81.35-81 | Обозначение англ: | RD 31.11.81.35-81 | Статус: | действует | Название рус.: | Правила морской перевозки пищевых грузов наливом на танкерах ММФ | Дата добавления в базу: | 01.09.2013 | Дата актуализации: | 05.05.2017 | Дата введения: | 10.04.1981 | Область применения: | Правила распространяются на перевозку пищевых и других грузов растительного и животного происхождения наливом на судах Министерства морского флота и устанавливают требования, предъявляемые к грузам и судам, организационные и технологические условия погрузки, перевозки и выгрузки, меры безопасности при перегрузочных работах, подготовке грузовых танков, а также технологию отбора проб грузов. | Оглавление: | 1. Общие положения 2. Требования, предъявляемые грузу 3. Требования, предъявляемые к судну 4. Подготовка судна к погрузке 5. Погрузка 6. Перевозка груза 7. Подготовка груза к выгрузке 8. Выгрузка 9. Отбор проб и контроль количества груза 10. Требования безопасности Приложения | Разработан: | ЗАО ЦНИИМФ
| Издан: | ЗАО ЦНИИМФ (1998 г. )
| Расположен в: |
|
                                                                             
|