Информационная система
«Ёшкин Кот»

Скачать базу одним архивом
Скачать обновления
История создания базы
Карта сайта

Скачать Типовой проект 3.407-99 Том 3. Расчеты опор для горных районов

Дата актуализации: 10.08.2017

Типовой проект 3.407-99

Том 3. Расчеты опор для горных районов

Обозначение: Типовой проект 3.407-99
Обозначение англ: 3.407-99
Статус:заменен
Название рус.:Том 3. Расчеты опор для горных районов
Дата добавления в базу:01.09.2013
Дата актуализации:05.05.2017
Дата введения:01.04.1989
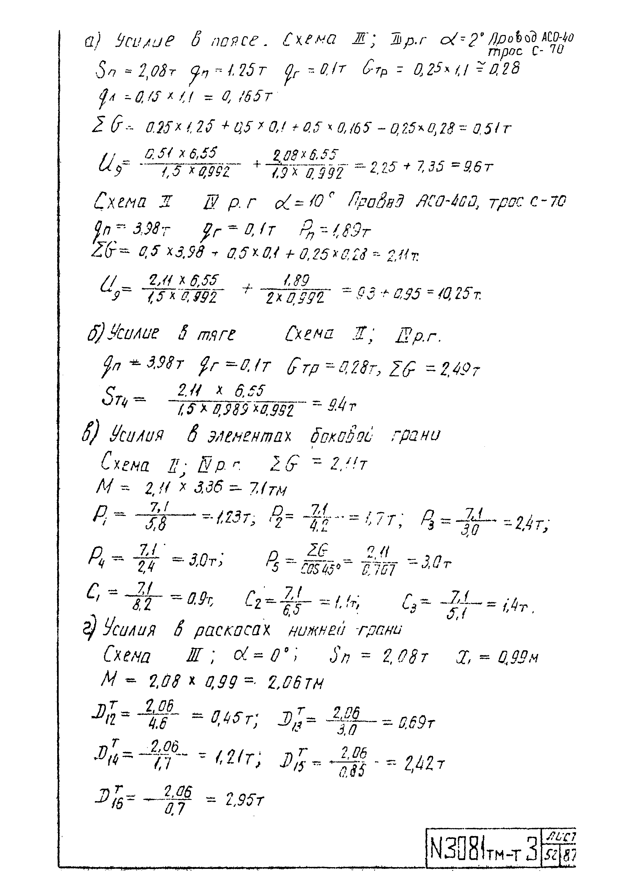
Оглавление:I Расчет промежуточных свободностоящих опор 220 кг
1 Эскизы опор
2 Нагрузки на опоры
3 Давление ветра на конструкцию опор
4 Расчет поясов ствола опор
5 Расчет раскосов ствола опор
6 Расчет траверс
7 Расчет тросостоек
8 Расчет распорок и диафрагм
II Расчет промежуточных угловых опор
1 Эскизы опор
2 Нагрузки на опоры
3 Давление ветра на конструкцию опор
4 Расчет поясов ствола опоры
5 Расчет раскосов ствола опоры
6 Расчет траверс
7 Расчет раскосов при подвеске одной цепи
8 Расчет тросостойки
9 Расчет распорок и диафрагм
III Расчет опоры на оттяжках
1 Эскизы опоры
2 Нагрузки на опоры
3 Давление ветра на конструкцию опоры
4 Задание и результаты расчета опоры на ЭЦВМ
5 Расчет стойки опоры
6 Расчет оттяжек
7 Расчет траверс
8 Расчет распорок и диафрагм
9 Расчет тросостойки
10 Расчет стыков секций
IV Расчет предельных углов поворота допускаемых на анкерно-угловых опорах в горных районах
1 Расчет опоры У220-1
2 Расчет опоры У220-2
3 Расчет опоры УС220-1
4 Расчет опоры УС220-2
Разработан: Северо-западное отделение института Энергосетьпроект
Утверждён:01.01.1973 Министерство энергетики и электрификации СССР (USSR Ministry of Energy and Electrical Power )
Расположен в:Техническая документация Строительство Справочные документы Типовые строительные конструкции, изделия и узлы Общероссийский строительный каталог Строительные конструкции, изделия и узлы зданий и сооружений для всех видов строительства Конструкции и изделия сооружений и оборудования зданий Надземные сооружения Опоры и порталы линий электропередачи, освещения, связи и др. Стальные
Чем заменён:
Типовой проект 3.407-99Типовой проект 3.407-99Типовой проект 3.407-99Типовой проект 3.407-99Типовой проект 3.407-99Типовой проект 3.407-99Типовой проект 3.407-99Типовой проект 3.407-99Типовой проект 3.407-99Типовой проект 3.407-99Типовой проект 3.407-99Типовой проект 3.407-99Типовой проект 3.407-99Типовой проект 3.407-99Типовой проект 3.407-99Типовой проект 3.407-99Типовой проект 3.407-99Типовой проект 3.407-99Типовой проект 3.407-99Типовой проект 3.407-99Типовой проект 3.407-99Типовой проект 3.407-99Типовой проект 3.407-99Типовой проект 3.407-99Типовой проект 3.407-99Типовой проект 3.407-99Типовой проект 3.407-99Типовой проект 3.407-99Типовой проект 3.407-99Типовой проект 3.407-99Типовой проект 3.407-99Типовой проект 3.407-99Типовой проект 3.407-99Типовой проект 3.407-99Типовой проект 3.407-99Типовой проект 3.407-99Типовой проект 3.407-99Типовой проект 3.407-99Типовой проект 3.407-99Типовой проект 3.407-99Типовой проект 3.407-99Типовой проект 3.407-99Типовой проект 3.407-99Типовой проект 3.407-99Типовой проект 3.407-99Типовой проект 3.407-99Типовой проект 3.407-99Типовой проект 3.407-99Типовой проект 3.407-99Типовой проект 3.407-99Типовой проект 3.407-99Типовой проект 3.407-99Типовой проект 3.407-99Типовой проект 3.407-99Типовой проект 3.407-99Типовой проект 3.407-99Типовой проект 3.407-99Типовой проект 3.407-99Типовой проект 3.407-99Типовой проект 3.407-99Типовой проект 3.407-99Типовой проект 3.407-99Типовой проект 3.407-99Типовой проект 3.407-99Типовой проект 3.407-99Типовой проект 3.407-99Типовой проект 3.407-99Типовой проект 3.407-99Типовой проект 3.407-99Типовой проект 3.407-99Типовой проект 3.407-99Типовой проект 3.407-99Типовой проект 3.407-99Типовой проект 3.407-99Типовой проект 3.407-99Типовой проект 3.407-99Типовой проект 3.407-99Типовой проект 3.407-99Типовой проект 3.407-99Типовой проект 3.407-99Типовой проект 3.407-99Типовой проект 3.407-99Типовой проект 3.407-99Типовой проект 3.407-99Типовой проект 3.407-99

© 2013 Ёшкин Кот :-) Карта сайта