Информационная система
«Ёшкин Кот»

Скачать базу одним архивом
Скачать обновления
История создания базы
Карта сайта

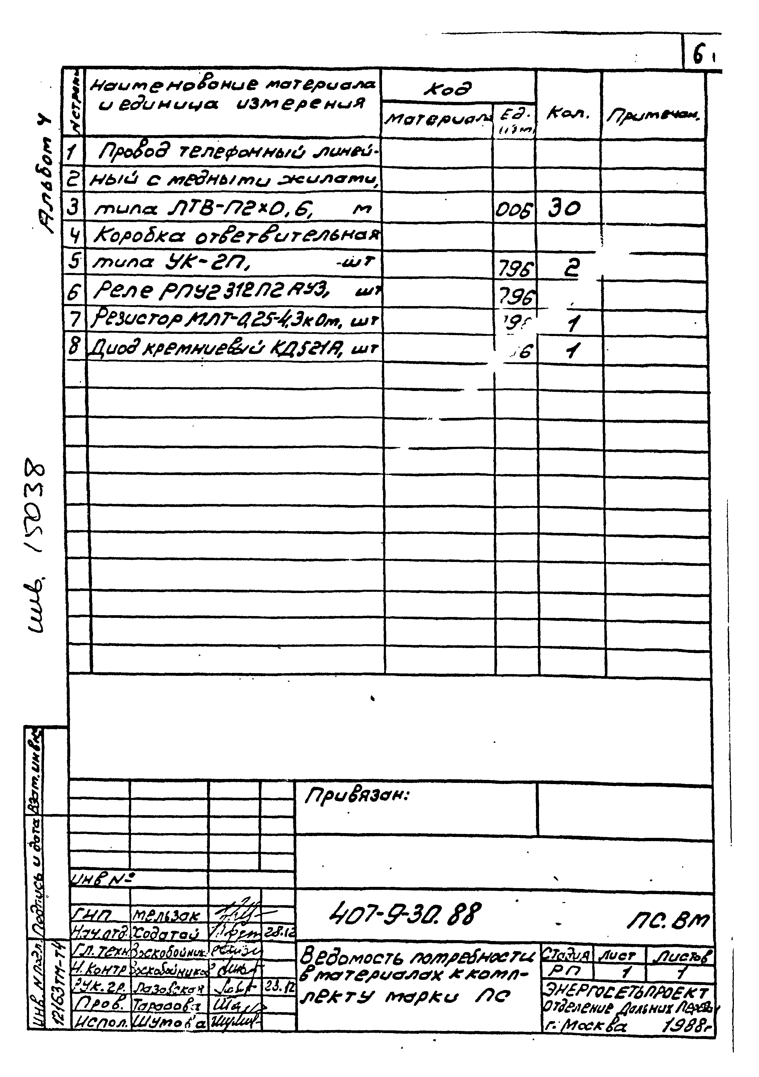
Скачать Типовой проект 407-9-30.88 Альбом 4. Ведомость потребности в материалах

Дата актуализации: 10.08.2017

Типовой проект 407-9-30.88

Альбом 4. Ведомость потребности в материалах

Обозначение: Типовой проект 407-9-30.88
Обозначение англ: 407-9-30.88
Статус:не определен законодательством
Название рус.:Альбом 4. Ведомость потребности в материалах
Дата добавления в базу:01.09.2013
Дата актуализации:05.05.2017
Дата введения:19.12.1988
Разработан: Энергосетьпроект Минэнерго СССР
Утверждён:19.12.1988 Минэнерго СССР (USSR Minenergo 60)
Расположен в:Техническая документация Строительство Справочные документы Типовые строительные конструкции, изделия и узлы Общероссийский строительный каталог Промышленные предприятия, здания и сооружения Предприятия, здания и сооружения промышленности и электроэнергетики Электроэнергетика Здания и сооружения разные
Типовой проект 407-9-30.88Типовой проект 407-9-30.88Типовой проект 407-9-30.88Типовой проект 407-9-30.88Типовой проект 407-9-30.88Типовой проект 407-9-30.88Типовой проект 407-9-30.88Типовой проект 407-9-30.88Типовой проект 407-9-30.88Типовой проект 407-9-30.88Типовой проект 407-9-30.88Типовой проект 407-9-30.88Типовой проект 407-9-30.88Типовой проект 407-9-30.88Типовой проект 407-9-30.88Типовой проект 407-9-30.88Типовой проект 407-9-30.88Типовой проект 407-9-30.88

© 2013 Ёшкин Кот :-) Карта сайта