| ||||||||||||||||||||||||||||
Скачать ТЕРм Карачаево-Черкесская Республика 39-2001 Часть 39. Контроль монтажных сварных соединений. Территориальные единичные расценки на монтаж оборудованияДата актуализации: 10.08.2017
|
| Обозначение: | ТЕРм Карачаево-Черкесская Республика 39-2001 |
| Обозначение англ: | 39-2001 |
| Статус: | не действует |
| Название рус.: | Часть 39. Контроль монтажных сварных соединений. Территориальные единичные расценки на монтаж оборудования |
| Дата добавления в базу: | 01.09.2013 |
| Дата актуализации: | 05.05.2017 |
| Область применения: | Территориальные единичные расценки на монтаж оборудования предназначены для определения затрат при выполнении монтажных работ и составления на их основе сметных расчетов (смет) на производство указанных работ |
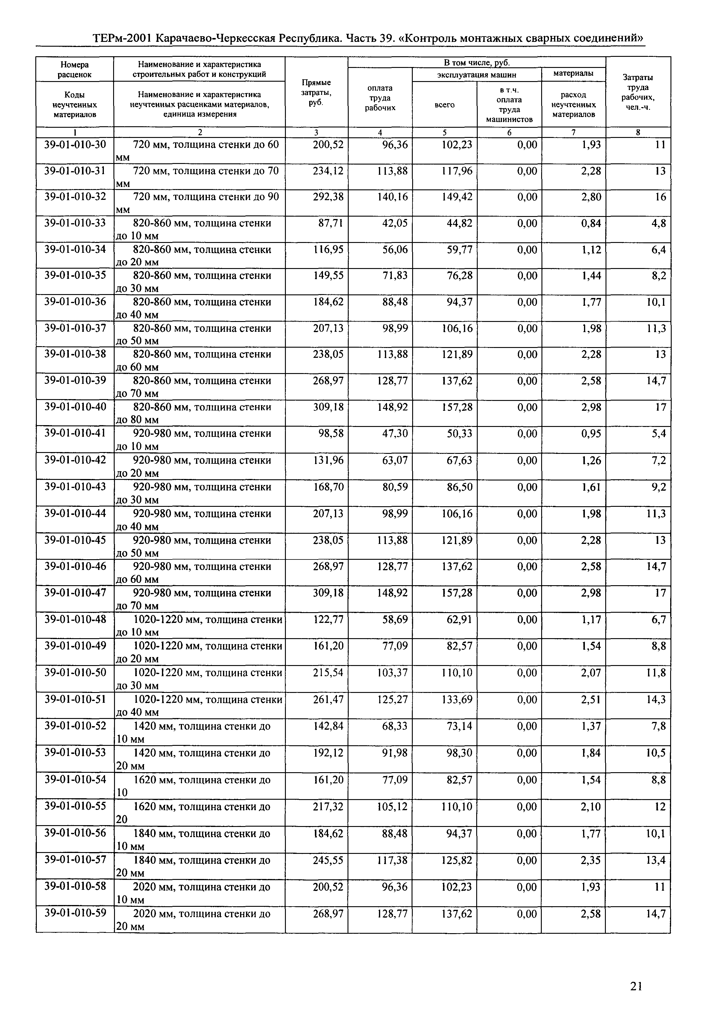
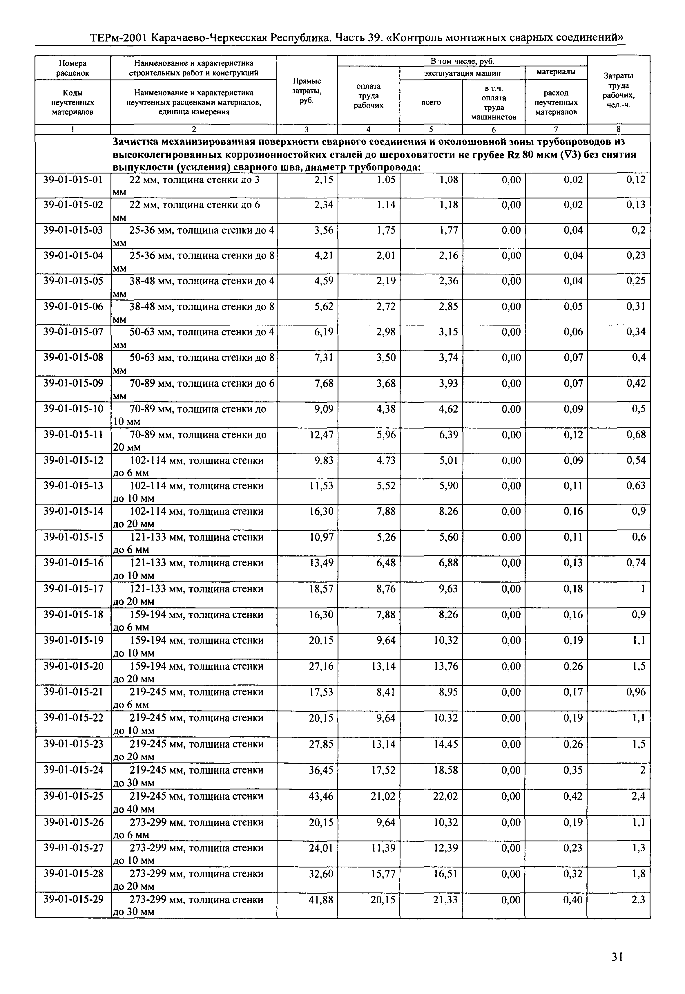
| Оглавление: | Часть 39. Контроль монтажных сварных соединений Отдел 01. Подготовка к контролю поверхности монтажных сварных соединений и околошовной зоны Отдел 02. Контроль монтажных сварных соединений неразрушающими методами Отдел 03. Контроль монтажных сварных соединений разрушающими методами Отдел 04. Изготовление образцов для испытания монтажных сварных соединений Отдел 05. Предварительный контроль Отдел 06. Операционный контроль |
| Разработан: | РГУ Карачаево-Черкесский центр ценообразования в строительстве |
| Утверждён: | 24.03.2010 Министерство строительства, энергетики и жилищно-коммунального хозяйства Карачаево-Черкесской Республики (25) |
| Принят: | 26.02.2010 Министерство регионального развития Российской Федерации (6713-СК/08) 12.03.2010 Министерство регионального развития Российской Федерации (9185-СК/08) |
| Расположен в: |








































































