Информационная система
«Ёшкин Кот»

Скачать базу одним архивом
Скачать обновления
История создания базы
Карта сайта

Скачать Типовой проект 901-3-233.87 Альбом V. Отстойники и фильтры. Электротехническая часть. Автоматизация

Дата актуализации: 10.08.2017

Типовой проект 901-3-233.87

Альбом V. Отстойники и фильтры. Электротехническая часть. Автоматизация

Обозначение: Типовой проект 901-3-233.87
Обозначение англ: 901-3-233.87
Статус:не определен законодательством
Название рус.:Альбом V. Отстойники и фильтры. Электротехническая часть. Автоматизация
Дата добавления в базу:01.09.2013
Дата актуализации:05.05.2017
Дата введения:13.02.1985
Оглавление:ТП 901-3-233.87 Содержание
ТП 901-3-233.87-ЭМ Силовое электрооборудование
ТП 901-3-233.87-ЭМ-1 Общие данные
ТП 901-3-233.87-ЭМ-2 Схема электрическая принципиальная распределительной сети ~380/220 В. Первая секция
ТП 901-3-233.87-ЭМ-3 Схема электрическая принципиальная распределительной сети ~380/220 В. Вторая секция
ТП 901-3-233.87-ЭМ-4 Схема электрическая принципиальная управления отопительными агрегатами МА1-МА8
ТП 901-3-233.87-ЭМ-5 Кабельный журнал. Первая секция. Начало
ТП 901-3-233.87-ЭМ-6 Кабельный журнал. Первая секция. Продолжение
ТП 901-3-233.87-ЭМ-7 Кабельный журнал. Первая секция. Окончание
ТП 901-3-233.87-ЭМ-8 Кабельный журнал. Вторая секция. Начало
ТП 901-3-233.87-ЭМ-9 Кабельный журнал. Вторая секция. Продолжение
ТП 901-3-233.87-ЭМ-10 Кабельный журнал. Вторая секция. Окончание
ТП 901-3-233.87-ЭМ-11 Схемы подключения электрооборудования. Ящик Я1-Я8. Пускатель КМ. Задвижка М1
ТП 901-3-233.87-ЭМ-12 Схемы подключения электрооборудования. Ящик управления затворами фильтров Я3Ф1-Я3Ф14. Схема электрическая принципиальная распределительной сети ~380/220 В. Таблица применения
ТП 901-3-233.87-ЭМ-13 Схемы подключения электрооборудования. Затворы фильтра № 1 МФ1-МФ4(№2-№14, МФ5-МФ56)
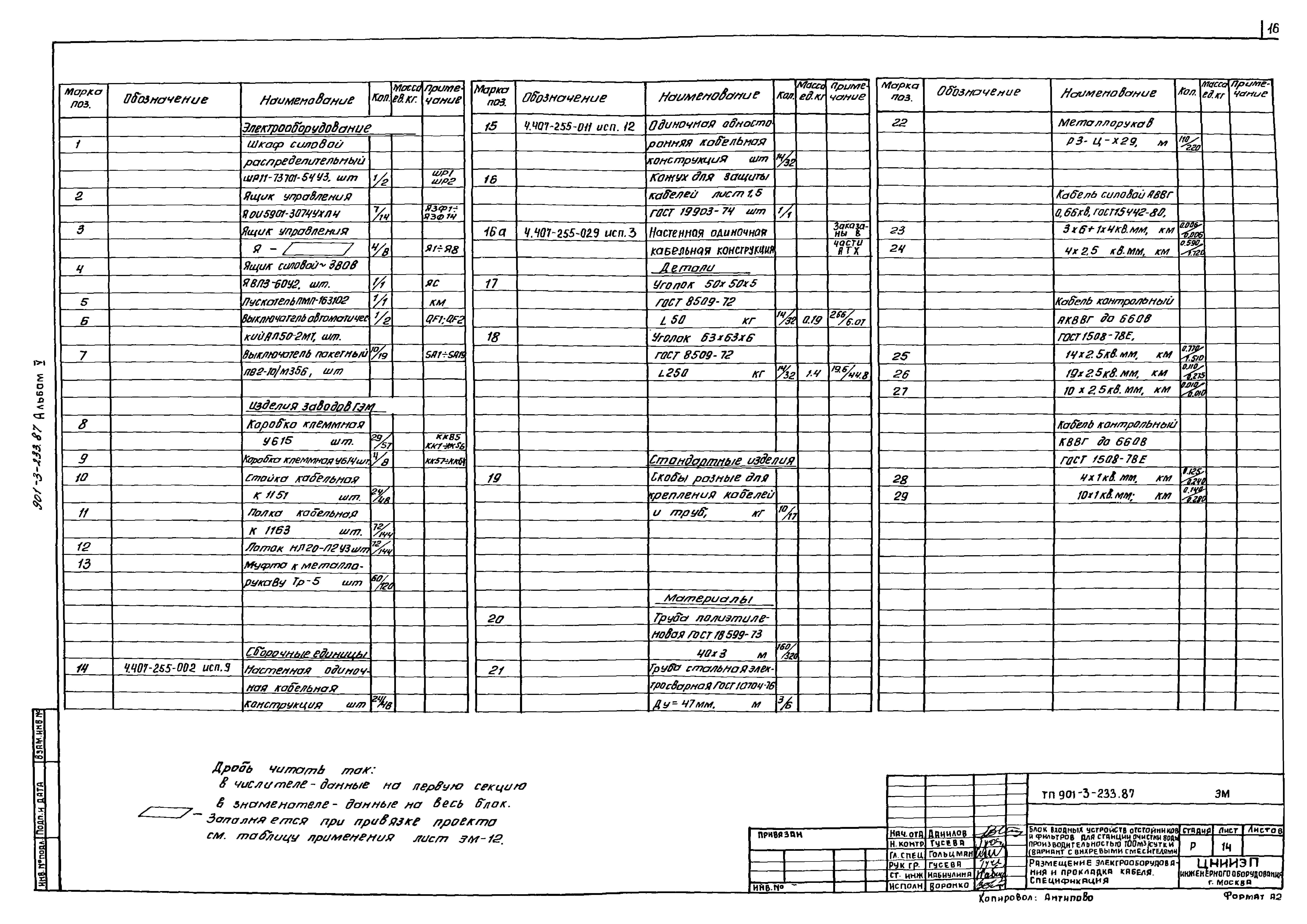
ТП 901-3-233.87-ЭМ-14 Размещение электрооборудования и прокладка кабеля. Спецификация
ТП 901-3-233.87-ЭМ-15 Размещение электрооборудования и прокладка кабеля. План на отм. -0.500;0.000;4.930. Первая секция
ТП 901-3-233.87-ЭМ-16 Размещение электрооборудования и прокладка кабеля. План на отм. -0.500;0.000;4.930. Первая секция. Окончание
ТП 901-3-233.87-ЭМ-17 Размещение электрооборудования и прокладка кабеля. План на отм. -0.500;0.000;4.930. Вторая секция. Начало
ТП 901-3-233.87-ЭМ-18 Размещение электрооборудования и прокладка кабеля. План на отм. -0.500;0.000;4.930. Вторая секция. Окончание
ТП 901-3-233.87-ЭМ-19 Прокладка троллейного шинопровода для кран-балки К. План на отм. 4.930;7.810
ТП 901-3-233.87-АТХ Автоматизация и технологический контроль
ТП 901-3-233.87-АТХ-1 Общие данные
ТП 901-3-233.87-АТХ-2 Схема автоматизации
ТП 901-3-233.87-АТХ-3 Схема внешних проводок. Первая секция
ТП 901-3-233.87-АТХ-4 Схема внешних проводок. Вторая секция
ТП 901-3-233.87-АТХ-5 Размещение приборов и устройств технологического контроля и прокладка кабеля. План на отм. -0.500;0.000;4.930. Первая секция. Начало
ТП 901-3-233.87-АТХ-6 Размещение приборов и устройств технологического контроля и прокладка кабеля. План на отм. -0.500;0.000;4.930. Первая секция. Окончание
ТП 901-3-233.87-АТХ-7 Размещение приборов и устройств технологического контроля и прокладка кабеля. План на отм. -0.500;0.000;4.930. Вторая секция. Начало
ТП 901-3-233.87-АТХ-8 Размещение приборов и устройств технологического контроля и прокладка кабеля. План на отм. -0.500;0.000;4.930. Вторая секция. Окончание
ТП 901-3-233.87-ЭО Электрическое освещение
ТП 901-3-233.87-ЭО-1 Общие данные
ТП 901-3-233.87-ЭО-2 Электрическое освещение. План на отм. 0.000 в осях 1-9
ТП 901-3-233.87-ЭО-3 Электрическое освещение. План на отм. 0.000 в осях 9-17
ТП 901-3-233.87-ЭО-4 Электрическое освещение. План на отм. 4.930 в осях 1-9
ТП 901-3-233.87-ЭО-5 Электрическое освещение. План на отм. 4.930 в осях 9-17
ТП 901-3-233.87-ЭО-6 Электрическое освещение. Данные о групповых щитках с автоматическими выключателями. Ведомость узлов электрического оборудования на плане расположения
ТП 901-3-233.87-СС Связь и сигнализация
ТП 901-3-233.87-СС-1 Общие данные. План на отм. 4.930 с сетями связи и сигнализации
Разработан: ЦНИИЭП иженерного оборудования
Утверждён:13.02.1985 Госгражданстрой (Gosgrazhdanstroy 43)
Расположен в:Техническая документация Строительство Справочные документы Типовые строительные конструкции, изделия и узлы Общероссийский строительный каталог Промышленные предприятия, здания и сооружения Здания и сооружения санитарно-технические Водоснабжение Очистные сооружения Станции очистки воды
Типовой проект 901-3-233.87Типовой проект 901-3-233.87Типовой проект 901-3-233.87Типовой проект 901-3-233.87Типовой проект 901-3-233.87Типовой проект 901-3-233.87Типовой проект 901-3-233.87Типовой проект 901-3-233.87Типовой проект 901-3-233.87Типовой проект 901-3-233.87Типовой проект 901-3-233.87Типовой проект 901-3-233.87Типовой проект 901-3-233.87Типовой проект 901-3-233.87Типовой проект 901-3-233.87Типовой проект 901-3-233.87Типовой проект 901-3-233.87Типовой проект 901-3-233.87Типовой проект 901-3-233.87Типовой проект 901-3-233.87Типовой проект 901-3-233.87Типовой проект 901-3-233.87Типовой проект 901-3-233.87Типовой проект 901-3-233.87Типовой проект 901-3-233.87Типовой проект 901-3-233.87Типовой проект 901-3-233.87Типовой проект 901-3-233.87Типовой проект 901-3-233.87Типовой проект 901-3-233.87Типовой проект 901-3-233.87Типовой проект 901-3-233.87Типовой проект 901-3-233.87Типовой проект 901-3-233.87Типовой проект 901-3-233.87Типовой проект 901-3-233.87Типовой проект 901-3-233.87

© 2013 Ёшкин Кот :-) Карта сайта