| ||||||||||||||||||||||||||||||||||
Скачать ГОСТ Р 8.662-2009 Государственная система обеспечения единства измерений. Газ природный. Термодинамические свойства газовой фазы. Методы расчетного определения для целей транспортирования и распределения газа на основе фундаментального уравнения состояния AGA8Дата актуализации: 10.08.2017
|
| Обозначение: | ГОСТ Р 8.662-2009 |
| Обозначение англ: | GOST R 8.662-2009 |
| Статус: | действует |
| Название рус.: | Государственная система обеспечения единства измерений. Газ природный. Термодинамические свойства газовой фазы. Методы расчетного определения для целей транспортирования и распределения газа на основе фундаментального уравнения состояния AGA8 |
| Название англ.: | State system for ensuring the uniformity of measurements. Natural gas. Gas phase thermodynamic properties. Methods of calculation for transmission and distribution applications on base of the AGA8 fundamental equation of state |
| Дата добавления в базу: | 01.09.2013 |
| Дата актуализации: | 05.05.2017 |
| Дата введения: | 01.01.2011 |
| Область применения: | Стандарт устанавливает методы расчетного определения термических и калорических свойств (термодинамических свойств) природного газа, подготовленного для транспортирования и распределения по магистральным газопроводам, при условии его нахождения только в газовой фазе. Стандарт распространяется на подготовленные для транспортирования по магистральным газопроводам газы в диапазонах давления p и температуры t, при которых на практике осуществляют транспортирование и распределение газов. |
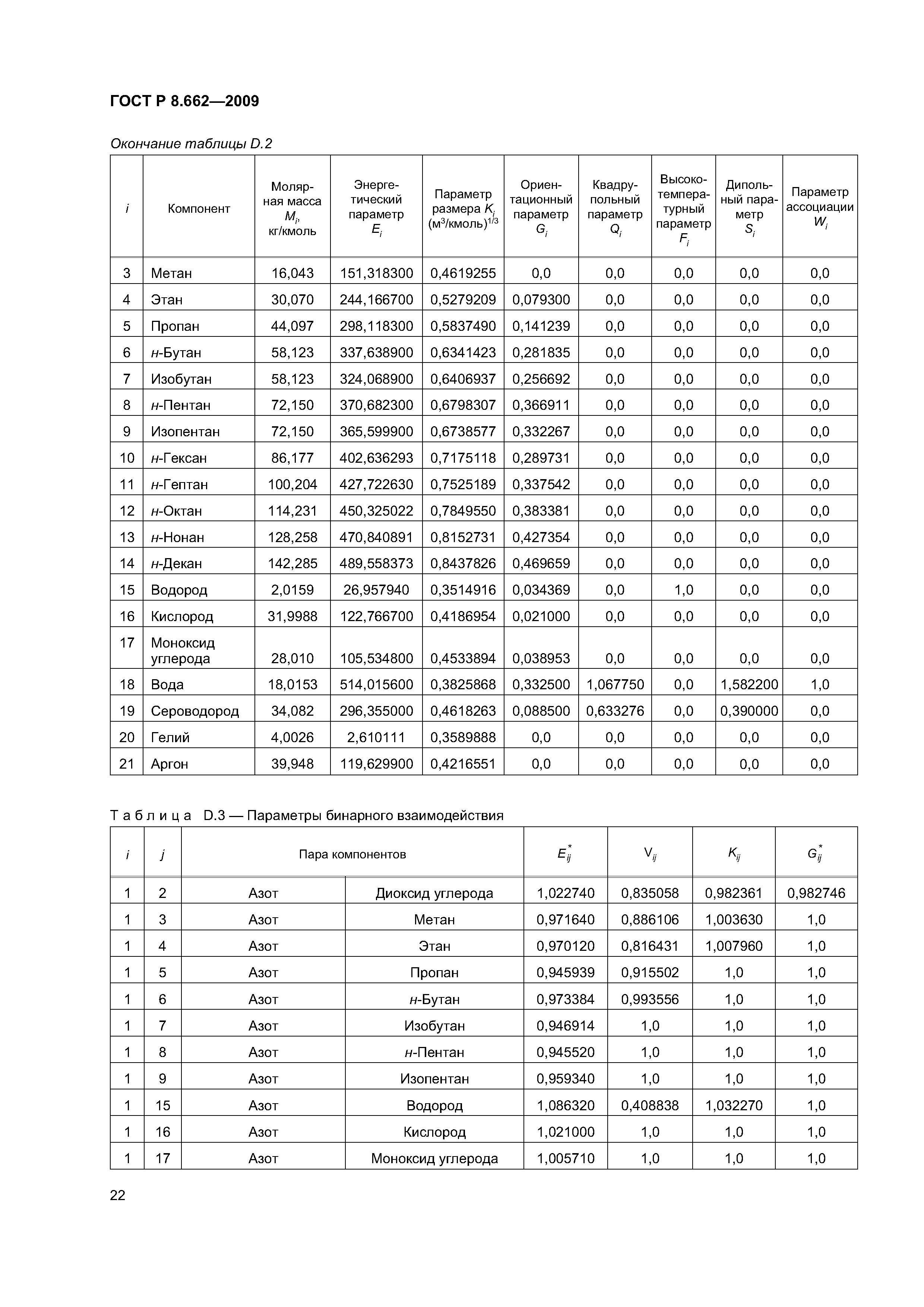
| Оглавление: | 1 Область применения 2 Нормативные ссылки З Термины, определения и обозначения 3.1 Термины и определения 3.2 Обозначения 4 Термодинамические основы метода 4.1 Сущность метода 4.2 Фундаментальное уравнение состояния для свободной энергии Гельмгольца 4.3 Термодинамические свойства, получаемые из свободной энергии Гельмгольца 5 Метод расчета свойств 5.1 Входные переменные 5.2 Переход от давления к относительной плотности 5.3 Проведение основных вычислений 6 Условия применения 6.1 давление итемпература 6.2 Газ, подготовленный для транспортирования по магистральным газопроводам 7 Оценка неопределенностей расчета свойств 7.1 Неопределенности расчета свойств для газа, подготовленного для транспортирования по магистральным газопроводам 7.2 Влияние неопределенностей входных переменных 8 Оформление результатов расчетов Приложение А (справочное) Исходные положения для фундаментального уравнения состояния для свободной энергии Гельмгольца Приложение В (обязательное) Идеально-газовая свободная энергия Гельмгольца Приложение С (обязательное) Уравнение состояния для свободной энергии Гельмгольца Приложение D (обязательное) Подробная информация по уравнению состояния Приложение Е (справочное) Учет следовых компонентов Приложение F (справочное) Реализация метода Приложение G (справочное) Примеры расчетов Приложение ДА (справочное) Сопоставление структуры настоящего стандарта со структурой примененного в нем международного стандарта Библиография |
| Разработан: | ФГУП СТАНДАРТИНФОРМ |
| Утверждён: | 15.12.2009 Федеральное агентство по техническому регулированию и метрологии (1043-ст) |
| Издан: | Стандартинформ (2010 г. ) |
| Расположен в: | |
| Нормативные ссылки: |
|









































