| ||||||||||||||||||||||||||||||||
Скачать ГОСТ Р ИСО 6507-4-2009 Государственная система обеспечения единства измерений. Металлы и сплавы. Измерения твердости по Виккерсу. Часть 4. Таблицы определения твердостиДата актуализации: 10.08.2017
|
| Обозначение: | ГОСТ Р ИСО 6507-4-2009 |
| Обозначение англ: | GOST R ISO 6507-4-2009 |
| Статус: | действует |
| Название рус.: | Государственная система обеспечения единства измерений. Металлы и сплавы. Измерения твердости по Виккерсу. Часть 4. Таблицы определения твердости |
| Название англ.: | Metals and alloys. Vickers hardness test. Part 4. Tables of hardness values |
| Дата добавления в базу: | 01.09.2013 |
| Дата актуализации: | 05.05.2017 |
| Дата введения: | 01.01.2011 |
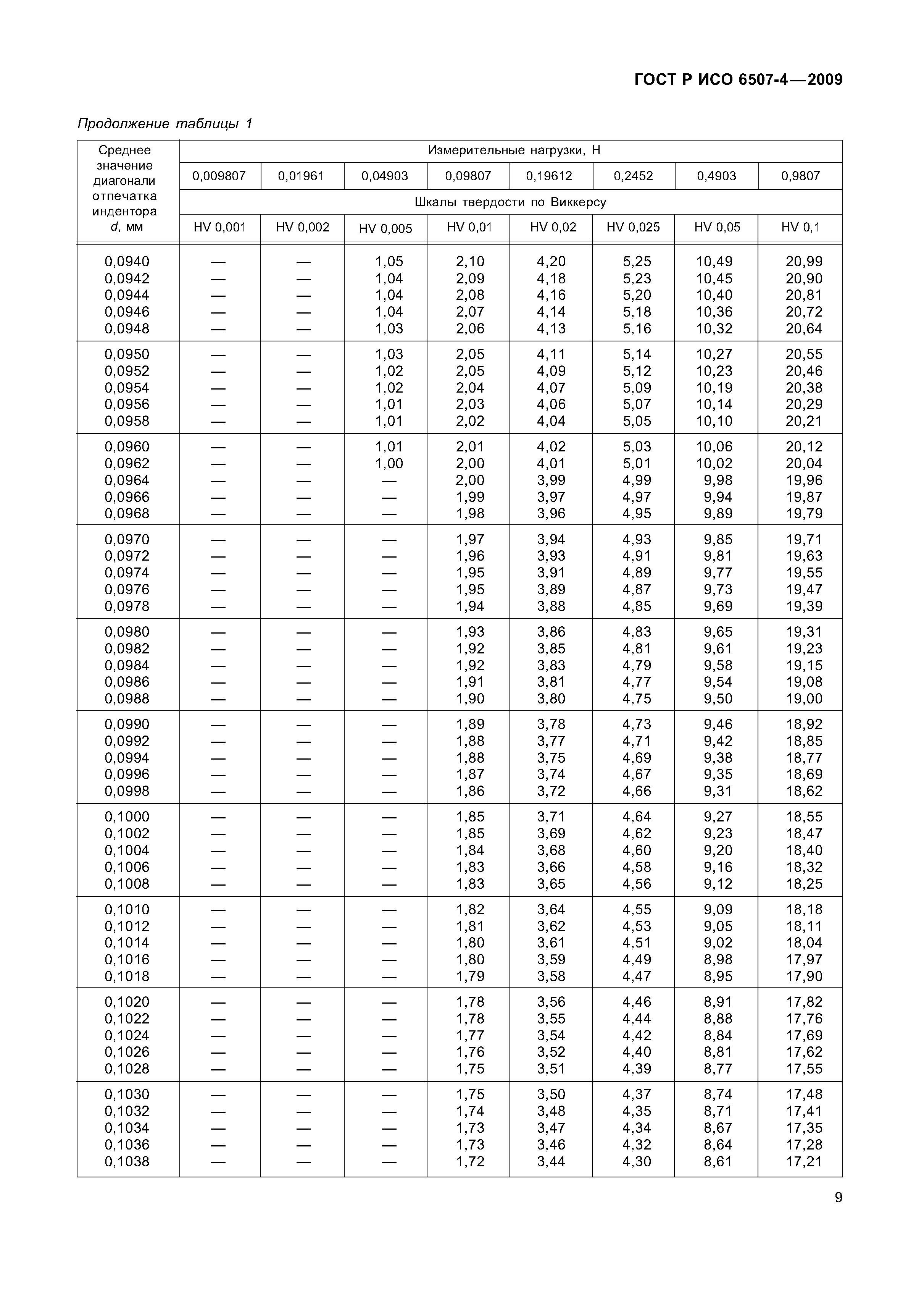
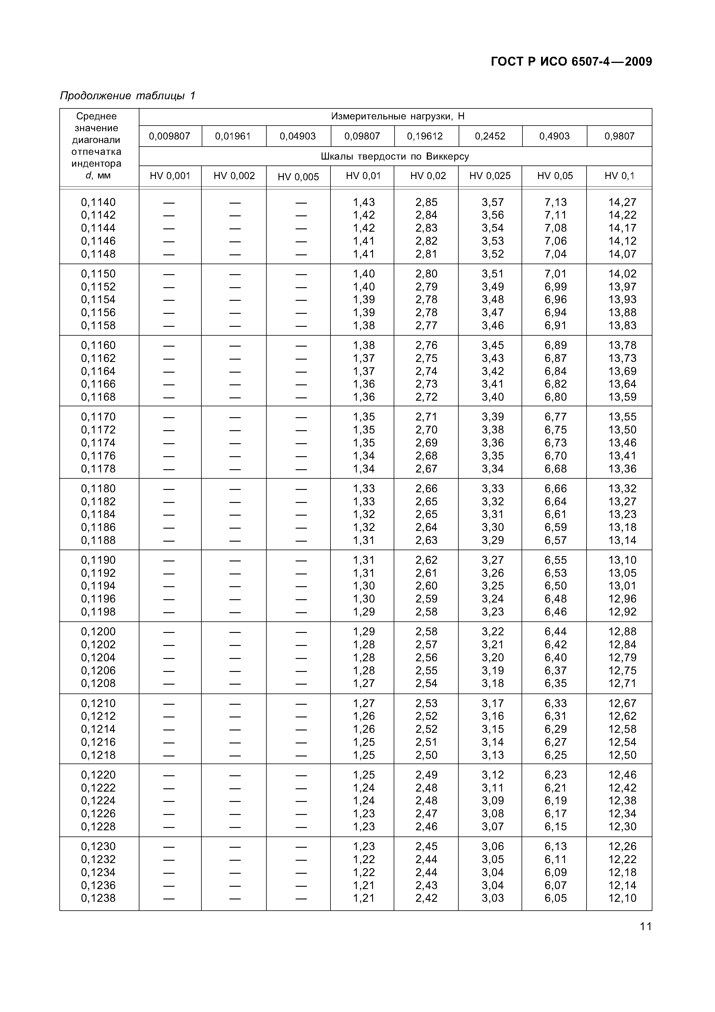
| Область применения: | Стандарт распространяется на таблицы для определения значений чисел твердости по шкалам Виккерса при выполнении измерений на плоских поверхностях по среднему длин диагоналей отпечатка. |
| Оглавление: | 1 Область применения 2 Таблицы для определения чисел твердости по шкалам Виккерса при выполнении измерений со значениями нагрузки Таблица 1 - Значение нагрузки менее 1,961 Н Таблица 2 - Значение нагрузки более или равной 1,961 Н, но менее 49,03 Н Таблица 3 - Значение нагрузки более или равной 49,03 Н. но менее или равной 980,7 Н |
| Разработан: | ФГУП ВНИИФТРИ |
| Утверждён: | 15.12.2009 Федеральное агентство по техническому регулированию и метрологии (1123-ст) |
| Издан: | Стандартинформ (2010 г. ) |
| Расположен в: |
























































































