| ||||||||||||||||||||||||||||||||||||||
Скачать ГОСТ Р ИСО 14040-2010 Экологический менеджмент. Оценка жизненного цикла. Принципы и структураДата актуализации: 10.08.2017
|
| Обозначение: | ГОСТ Р ИСО 14040-2010 |
| Обозначение англ: | GOST R ISO 14040-2010 |
| Статус: | действует |
| Название рус.: | Экологический менеджмент. Оценка жизненного цикла. Принципы и структура |
| Название англ.: | Environmental management. Life cycle assessment. Principles and framework |
| Дата добавления в базу: | 01.09.2013 |
| Дата актуализации: | 05.05.2017 |
| Дата введения: | 01.06.2010 |
| Область применения: | Стандарт описывает общую структуру, принципы и требования к проведению исследований ОЖЦ, включая: а) установление целей и охвата ОЖЦ; b) инвентаризационный анализ (ИАЖЦ); c) оценку воздействия (ОВЖЦ); d) интерпретацию жизненного цикла; e) составление отчетности и критический обзор ОЖЦ; f) ограничения ОЖЦ; g) отношения между стадиями ОЖЦ; h) условия для использования выбора значений и дополнительных элементов. Стандарт распространяется на исследования ОЖЦ и ИАЖЦ. Он не описывает технические детали ОЖЦ и не предлагает методологий для индивидуальных стадий ОЖЦ. Предназначенное использование результатов ОЖЦ или ИАЖЦ рассматривается в рамках стадии определения целей и охвата, но само применение выходит за рамки стандарта. Стандарт не предназначен для контрактных или регулятивных целей, а также для регистрации или сертификации. |
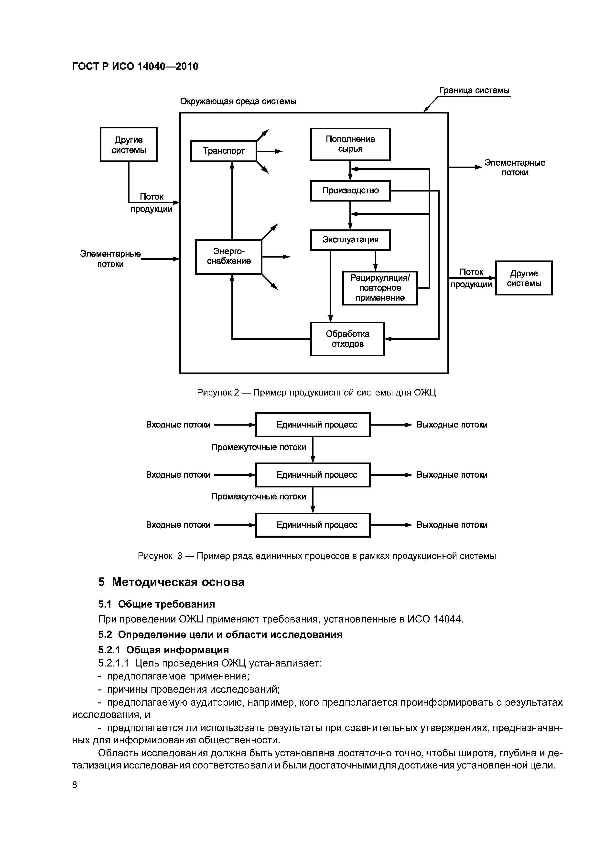
| Оглавление: | 1 Область применения 2 Нормативные ссылки 3 Термины и определения 4 Общее описание оценки жизненного цикла (ОЖЦ) 4.1 Принципы ОЖЦ 4.2 Стадии ОЖЦ 4.3 Ключевые характеристики ОЖЦ 4.4 Общие понятия продукционных систем 5 Методическая основа 5.1 Общие требования 5.2 Определение цели и области исследования 5.3 Инвентаризационный анализ жизненного цикла (ИАЖЦ) 5.4 Оценка воздействия жизненного цикла (ОВЖЦ) 5.5 Интерпретация жизненного цикла 6 Отчетность 7 Критический анализ 7.1 Общая информация 7.2 Потребность в критическом анализе 7.3 Процессы критического анализа Приложение А (информационное) Применение ОЖЦ Приложение ДА (справочное) Сведения о соответствии ссылочных международных стандартов ссылочным национальным стандартам Российской Федерации (и действующим в этом качестве межгосударственным стандартам) Библиография |
| Разработан: | НТЦ ИНТЕК |
| Утверждён: | 25.03.2010 Федеральное агентство по техническому регулированию и метрологии (39-ст) |
| Издан: | Стандартинформ (2010 г. ) |
| Расположен в: | |
| Список изменений: |
|
| Заменяет собой: | |
| Нормативные ссылки: |
|






















