Скачать ФССЦ 05-2001 Часть 5. Материалы, изделия и конструкции для монтажных и специальных строительных работ (редакция 2010 года). Материалы, изделия и конструкции для монтажных и специальных строительных работ. Федеральный сборник сметных цен на материалы, изделия и конструкции, применяемые в строительствеДата актуализации: 10.08.2017 ФССЦ 05-2001
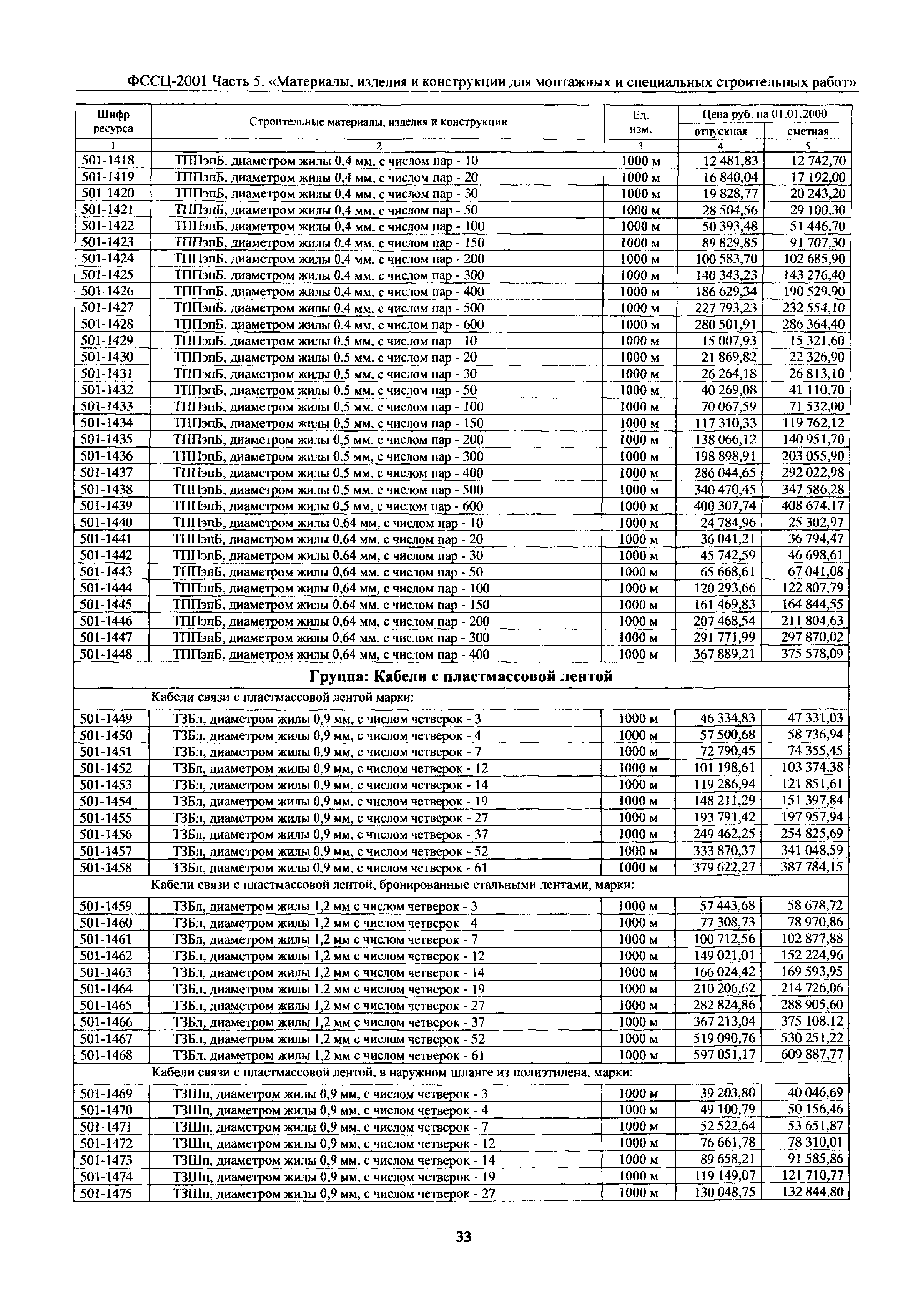
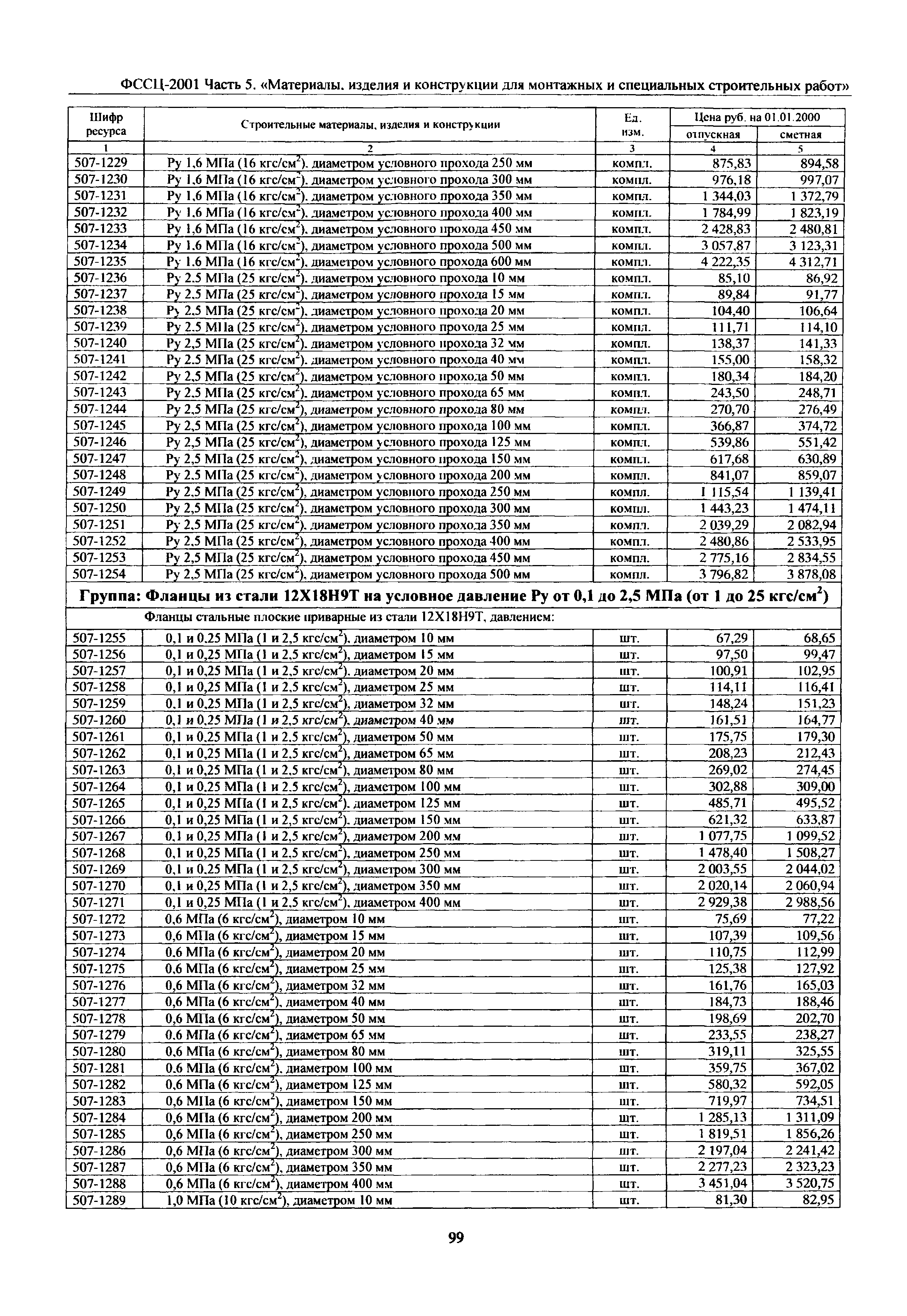
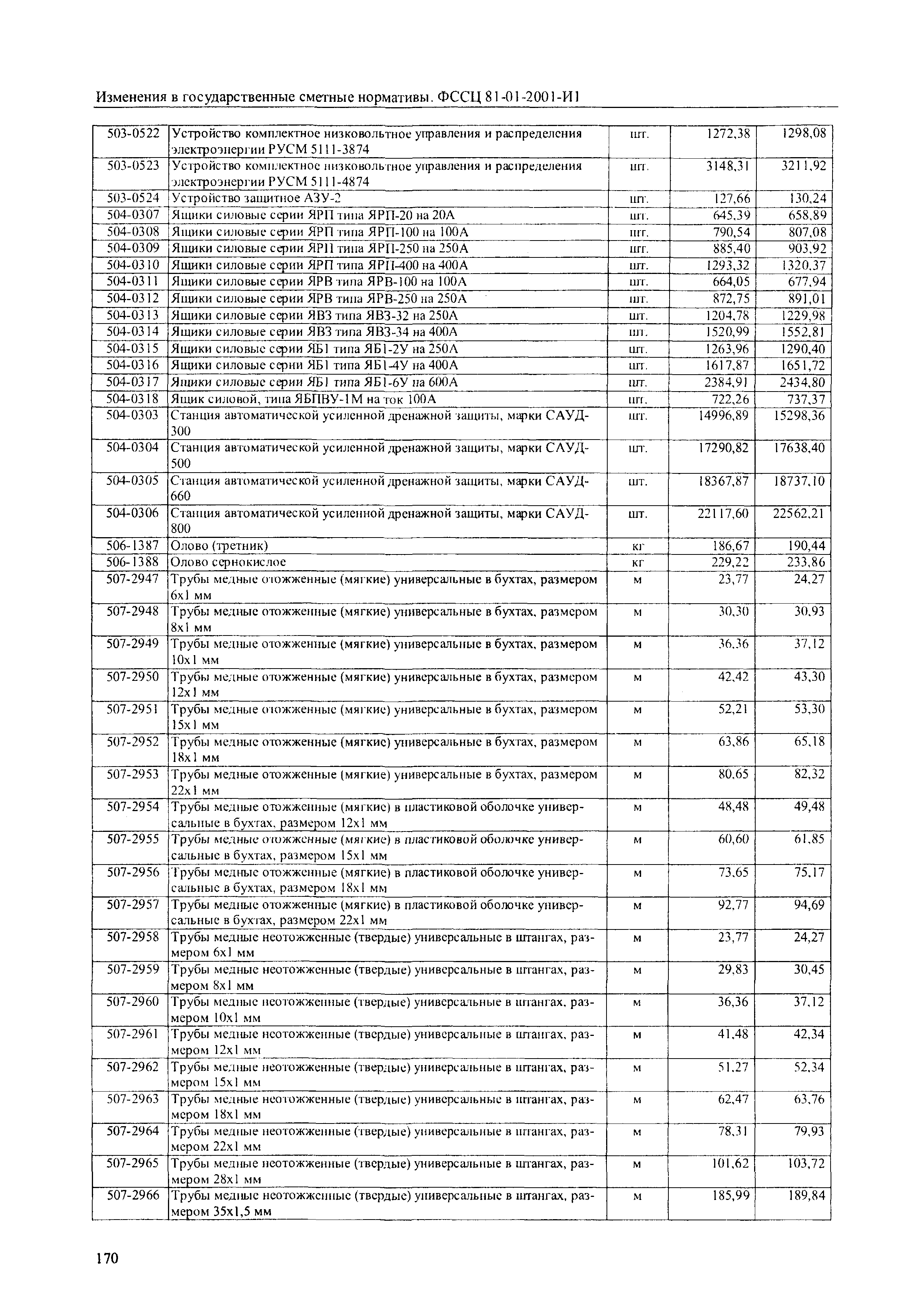
Часть 5. Материалы, изделия и конструкции для монтажных и специальных строительных работ (редакция 2010 года). Материалы, изделия и конструкции для монтажных и специальных строительных работ. Федеральный сборник сметных цен на материалы, изделия и конструкции, применяемые в строительствеОбозначение: | ФССЦ 05-2001 | Обозначение англ: | FSSTs 05-2001 | Статус: | утратил силу | Название рус.: | Часть 5. Материалы, изделия и конструкции для монтажных и специальных строительных работ (редакция 2010 года). Материалы, изделия и конструкции для монтажных и специальных строительных работ. Федеральный сборник сметных цен на материалы, изделия и конструкции, применяемые в строительстве | Дата добавления в базу: | 01.09.2013 | Дата актуализации: | 05.05.2017 | Дата введения: | 11.10.2013 | Область применения: | Федеральные сметные цены на материалы, изделия и конструкции, применяемые в строительстве (ФССЦ) предназначены для определения сметной стоимости строительно-монтажных (ремонтно-строительных) работ, а также при разработке Федеральных единичных расценок на строительные, монтажные и ремонтно-строительные работы. | Оглавление: | Часть 5. Материалы, изделия и конструкции для монтажных и специальных строительных работ Раздел 5.01 Кабели Подраздел: Кабели силовые Подраздел: Кабели силовые гибкие Подраздел: Кабели контроля Подраздел: Кабели связи низкочастотные Подраздел: Кабели коаксиальные магистральные Подраздел: Кабели высокочастотные дальней и внутризонной связи, кабели радиофикации и сельской телефонной связи Подраздел: Кабели для теплых полов Раздел 5.02 Провода, шнуры, шины, проволока и муфты кабельные Подраздел: Провода Подраздел: Шнуры Подраздел: Проволока, шины Подраздел: Муфты кабельные Раздел 5.03 Линейно-кабельные изделия связи Раздел 5.04 Электроконструкции Раздел 5.06 Прокатно-тянутые изделия из цветных металлов и цветные металлы Подраздел: Ленты Подраздел: Проволока Подраздел: Листы и плиты Подраздел: Прутки из цветных металлов Подраздел: Металлы цветные Подраздел: Полосы Подраздел: Сплавы цветных металлов Раздел 5.07 Трубы, арматура и детали трубопроводов Подраздел: Трубы из цветных металлов Подраздел: Трубы коррозийно-стойкие Подраздел: Трубы стальные Подраздел: Трубы из пластических масс Подраздел: Трубы стеклянные Подраздел: Фасонные части Подраздел: Комплекты ответных стальных плоских приварных фланцев к арматуре трубопроводной Подраздел: Соединительные части технологических трубопроводов Подраздел: Узлы технологических трубопроводов из углеродистых и легированных сталей на Ру 10 МПа (100 кгс/см2) Подраздел: Детали трубопроводов Раздел 5.08 Канаты стальные Подраздел: Канаты круглые Подраздел: Канаты закрытые несущие Подраздел: Канаты плоские Подраздел: Канаты стальные по техническим условиям Раздел 5.09 Прочие материалы Подраздел: Изделия специального назначения Подраздел: Аппаратура электрическая низковольтная Подраздел: Источники света Подраздел: Электроизоляционные изделия Подраздел: Асбестовые технические изделия Подраздел: Химическая продукция и нефтепродукты Подраздел: Материалы для магистральных нефтепроводов Алфавитный указатель | Разработан: | Федеральный центр ценообразования в строительстве и промышленности строительных материалов
| Утверждён: | 28.07.2009 Министерство регионального развития Российской Федерации (308)
| Издан: | ФГУ Федеральный центр ценообразования в строительстве и промышленности строительных материалов (2010 г. )
| Расположен в: |
| Список изменений: | |
                                                                                                                                                                                                                                                                                                                                              
Текстовое изменение № от 04.03.2010
                    
Текстовое изменение № И1 от 03.08.2010
                                    
Текстовое изменение № И2 от 15.12.2010
                        
Текстовое изменение № И3 от 21.07.2011
                          
Текстовое изменение № И4 от 11.11.2011
                            
Текстовое изменение № И5 от 29.12.2011
                 
Текстовое изменение № И6 от 05.05.2012
                                
Текстовое изменение № И7 от 29.06.2012
                                      
|