Скачать ФССЦ 03-2001 Часть 3. Материалы и изделия для санитарно-технических работ (редакция 2010 года). Материалы и изделия для санитарно-технических работ. Федеральный сборник сметных цен на материалы, изделия и конструкции, применяемые в строительствеДата актуализации: 10.08.2017 ФССЦ 03-2001
Часть 3. Материалы и изделия для санитарно-технических работ (редакция 2010 года). Материалы и изделия для санитарно-технических работ. Федеральный сборник сметных цен на материалы, изделия и конструкции, применяемые в строительствеОбозначение: | ФССЦ 03-2001 | Обозначение англ: | FSSTs 03-2001 | Статус: | утратил силу | Название рус.: | Часть 3. Материалы и изделия для санитарно-технических работ (редакция 2010 года). Материалы и изделия для санитарно-технических работ. Федеральный сборник сметных цен на материалы, изделия и конструкции, применяемые в строительстве | Дата добавления в базу: | 01.09.2013 | Дата актуализации: | 05.05.2017 | Дата введения: | 11.10.2013 | Область применения: | Федеральные сметные цены на материалы, изделия и конструкции, применяемые в строительстве (ФССЦ) предназначены для определения сметной стоимости строительно-монтажных (ремонтно-строительных) работ, а также при разработке Федеральных единичных расценок на строительные, монтажные и ремонтно-строительные работы | Оглавление: | Часть 3. Материалы и изделия для санитарно-технических работ Раздел 3.01 Санитарно-технические материалы и изделия Подраздел: Санитарно-технические материалы и изделия Подраздел: Санитарно-технические приборы и комплектующие Раздел 3.02 Трубопроводы, арматура, фасонные и соединительные части Алфавитный указатель | Разработан: | Федеральный центр ценообразования в строительстве и промышленности строительных материалов
| Утверждён: | 28.07.2009 Министерство регионального развития Российской Федерации (308)
| Издан: | ФГУ Федеральный центр ценообразования в строительстве и промышленности строительных материалов (2010 г. )
| Расположен в: |
| Список изменений: | |
                                                                                                                                        
Текстовое изменение № от 04.03.2010
                                                         
Текстовое изменение № И1 от 03.08.2010
                                                                                        
Текстовое изменение № И2 от 15.12.2010
                         
Текстовое изменение № И3 от 21.07.2011
          
Текстовое изменение № И4 от 11.11.2011
                                 
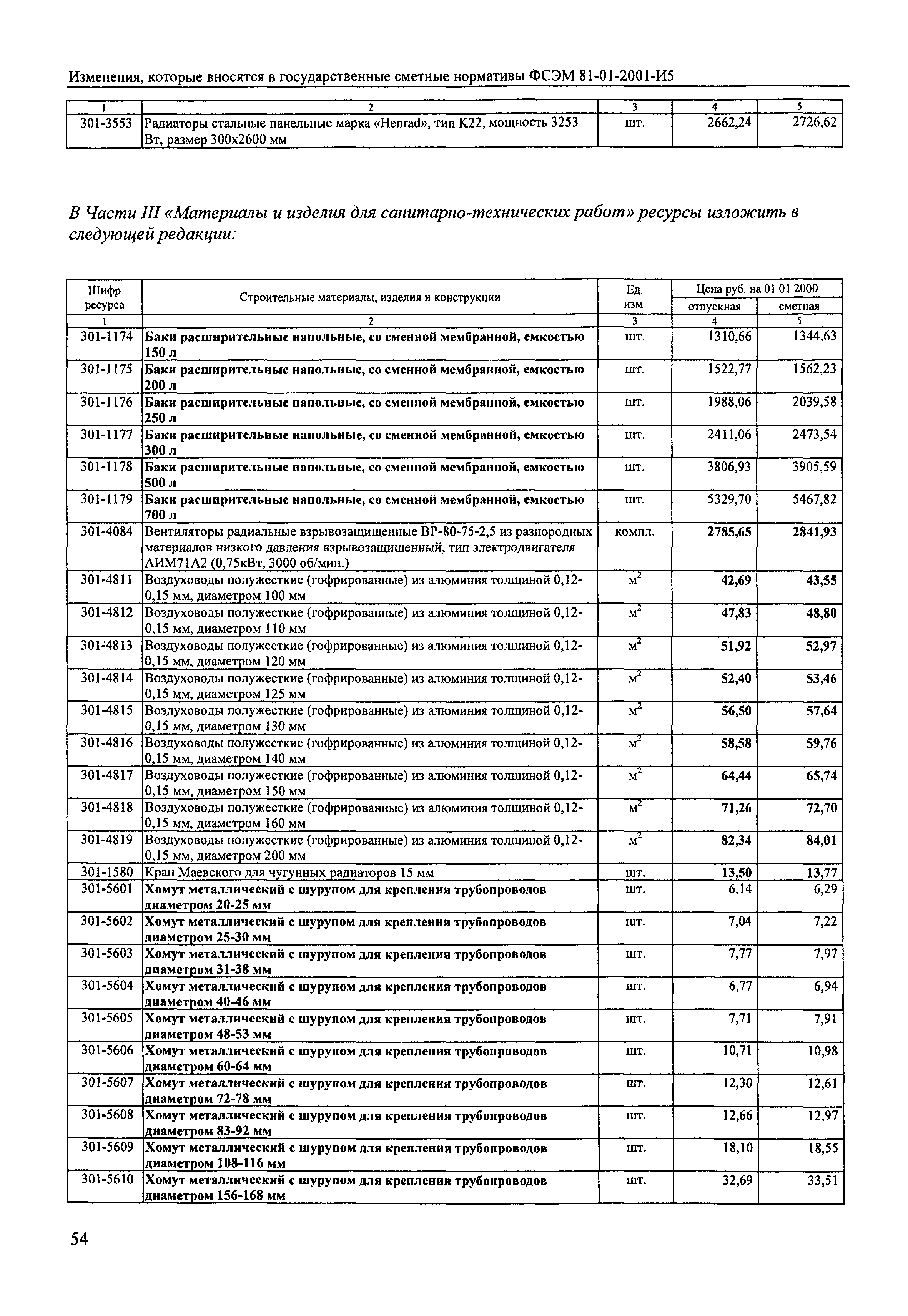
Текстовое изменение № И5 от 29.12.2011
           
Текстовое изменение № И6 от 05.05.2012
          
Текстовое изменение № И7 от 29.06.2012
                      
|