Скачать ФССЦ 2001 Часть II. Строительные конструкции и изделия (редакция 2008 года). Строительные конструкции и изделия. Федеральный сборник сметных цен на материалы, изделия и конструкции, применяемые в строительствеДата актуализации: 10.08.2017 ФССЦ 2001
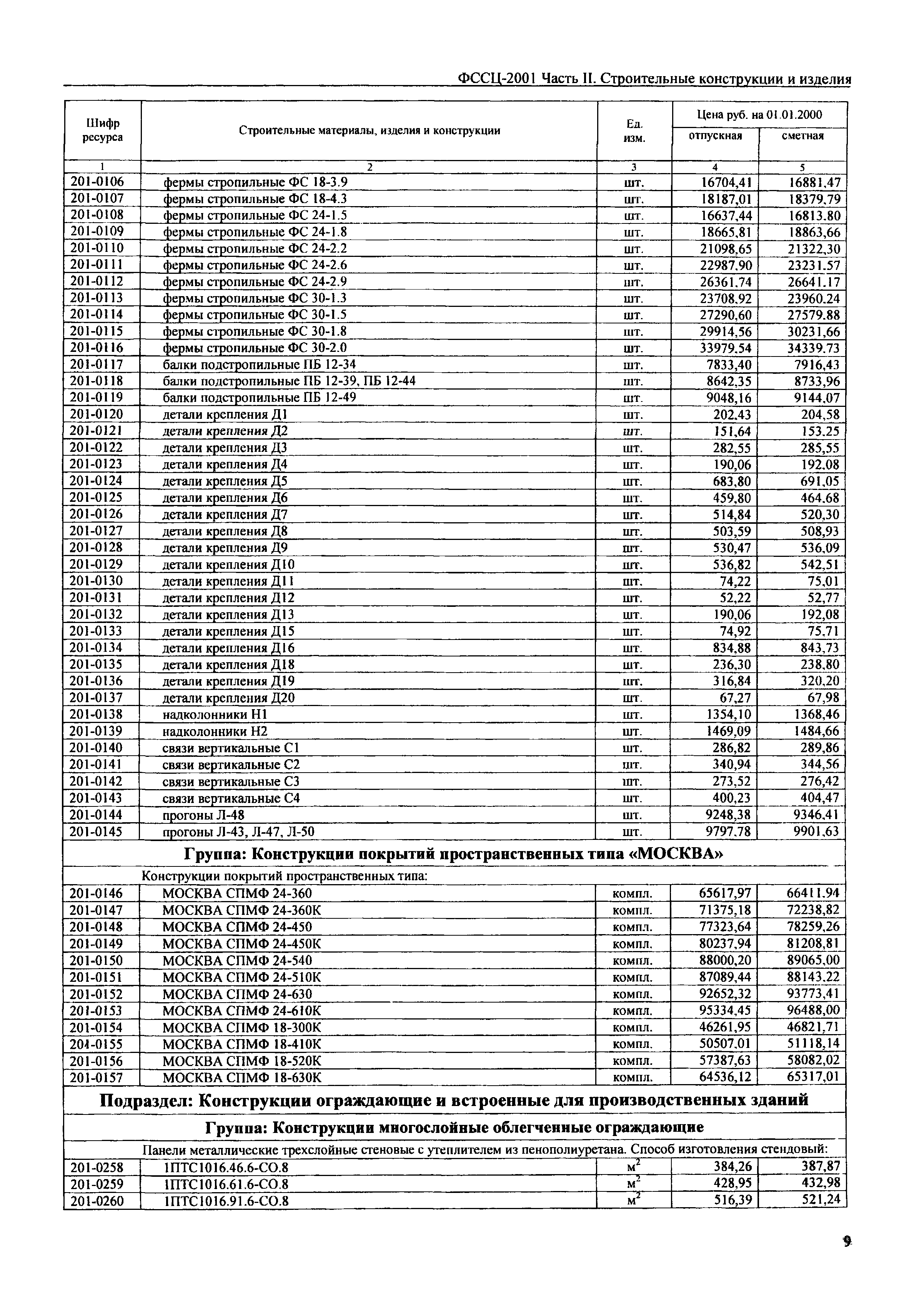
Часть II. Строительные конструкции и изделия (редакция 2008 года). Строительные конструкции и изделия. Федеральный сборник сметных цен на материалы, изделия и конструкции, применяемые в строительствеОбозначение: | ФССЦ 2001 | Обозначение англ: | FSSTs 2001 | Статус: | не действует | Название рус.: | Часть II. Строительные конструкции и изделия (редакция 2008 года). Строительные конструкции и изделия. Федеральный сборник сметных цен на материалы, изделия и конструкции, применяемые в строительстве | Дата добавления в базу: | 01.09.2013 | Дата актуализации: | 05.05.2017 | Область применения: | Федеральные сметные цены на материалы, изделия и конструкции, применяемые в строительстве (ФССЦ) предназначены для определения сметной стоимости строительно-монтажных (ремонтно-строительных) работ, а также при разработке Федеральных единичных расценок на строительные, монтажные и ремонтно-строительные работы | Оглавление: | Общие положения Техническая часть Раздел 2.01 Строительные конструкции промышленных и сельскохозяйственных зданий, сооружений и мостов Конструкции легкие металлические Конструкции ограждающие и встроенные для производственных зданий Резервуарные, рулонированные емкости Строительные стальные конструкции, изготавливаемые по индивидуальным проектам (чертежам КМ) для зданий одноэтажных производственных Конструкции разных сооружений Галереи и эстакады различного назначения Радио и телевизионные мачты, башни, антенные устройства Конструкции, заказываемые и поставляемые для комплектации объектов в виде отдельных сборочных единиц Раздел 2.02 Строительные конструкции гидротехнических сооружений Раздел 2.03 Деревянные конструкции и изделия Блоки оконные Блоки балконные дверные деревянные для жилых и общественных зданий Блоки дверные деревянные для жилых, общественных и производственных зданий Сборочные элементы оконных блоков Сборочные элементы дверных блоков Коробки оконные и дверные Детали профильные из древесных материалов для строительства Ворота деревянные распашные для производственных зданий и сооружений с полотнами из деревянных каркасов, с металлическими навесами и накладками, нижняя часть ворот защищена полосами из оцинкованной стали Конструкции деревянные клееные без металлических изделий Балки перекрытий деревянные, предназначенные для устройства чердачных, междуэтажных и цокольных перекрытий в одно- двухэтажных жилых и одноэтажных общественных зданиях Элементы и детали встроенных и антресольных шкафов каркасной конструкции для жилых зданий Разные изделия и конструкции Раздел 2.04 Арматура товарная для монолитных железобетонных конструкций Раздел 2.05 Литые конструкции промышленных печей и труб Раздел 2.06 Алюминиевые конструкции Окна и двери балконные из алюминиевых сплавов для общественных зданий Двери из алюминиевых сплавов для общественных зданий Витражи, витрины Тамбуры Панели Перегородки Потолки подвесные Ограждения балконов, лоджий, лестниц Конструкции декоративно-облицовочные Конструкции и изделия прочие Алфавитный указатель | Разработан: | Федеральный центр ценообразования в строительстве и промышленности строительных материалов
| Утверждён: | 25.12.2002 Госстрой России (Russian Federation Gosstroy 165) 08.08.2007 Росстрой (СК-2919/02)
| Издан: | Росстрой (2008 г. )
| Расположен в: |
| Нормативные ссылки: | |
                                                                                                                             
|