| ||||||||||||||||||||||||||||||||||||
Скачать ГОСТ Р МЭК 62127-1-2009 Государственная система обеспечения единства измерений. Параметры полей ультразвуковых. Общие требования к методам измерений и способам описания полей в частотном диапазоне от 0,5 до 40 МГцДата актуализации: 10.08.2017
|
| Обозначение: | ГОСТ Р МЭК 62127-1-2009 |
| Обозначение англ: | GOST R IEC 62127-1-2009 |
| Статус: | введен впервые |
| Название рус.: | Государственная система обеспечения единства измерений. Параметры полей ультразвуковых. Общие требования к методам измерений и способам описания полей в частотном диапазоне от 0,5 до 40 МГц |
| Название англ.: | State system for ensuring the uniformity of measurements. Parameters of ultrasonic fields. General requirements to measuring methods and characterization of fields in the frequency range 0,5 to 40 MHz |
| Дата добавления в базу: | 01.09.2013 |
| Дата актуализации: | 05.05.2017 |
| Дата введения: | 01.01.2011 |
| Дата окончания срока действия: | 01.07.2017 |
| Область применения: | Стандарт распространяется на гидрофоны для измерений параметров ультразвукового поля, генерируемого в воде ультразвуковым медицинским оборудованием в диапазоне частот от 0,5 до 40 МГц, и устанавливает: - группу акустических параметров, которые могут быть измерены акустическими методами; - вторую группу параметров, значения которых могут быть вычислены по результатам этих измерений при определенных допущениях и которые называют вычисляемыми параметрами интенсивности; - условия, при которых могут быть измерены акустические параметры с помощью гидрофонов в частотном диапазоне до 40 МГц; - процедуры введения поправок и ограничений, связанных с использованием гидрофонов с ограниченной полосой частот и конечными размерами активного элемента. |
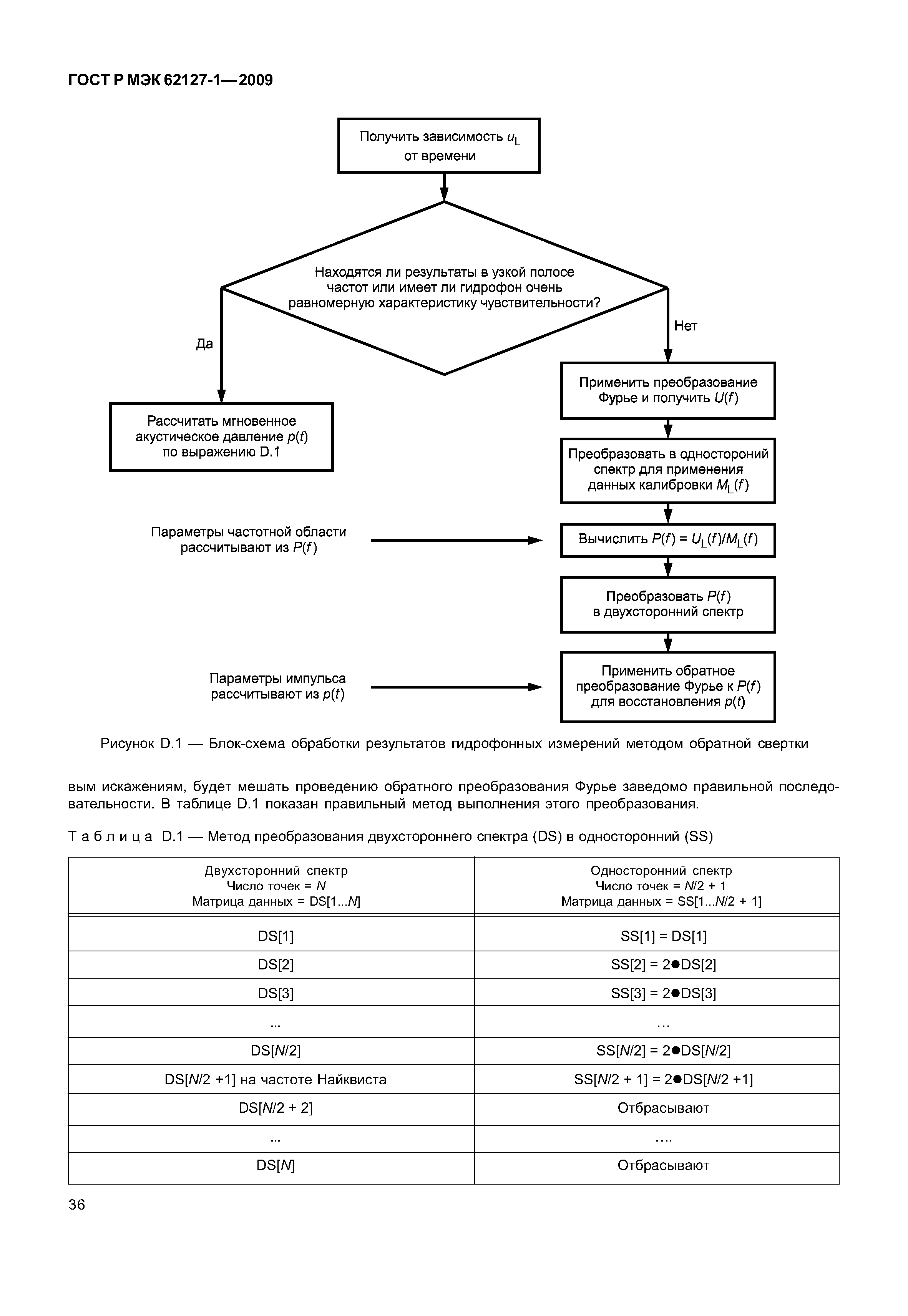
| Оглавление: | 1 Область применения 2 Нормативные ссылки 3 Термины и определения 4 Обозначения 5 Требования к измерениям 6 Проведение измерений 7 Описание пучка 8 Требования к измерениям конкретных ультразвуковых полей 9 Установление соответствия Приложение А (справочное) Обоснование положений настоящего стандарта Приложение В (справочное) Гидрофоны и система позиционирования Приложение С (справочное) Акустическое давление и интенсивность Приложение D (справочное) Преобразование электрического напряжения в давление Приложение Е (справочное) Поправки на пространственное усреднение Приложение F (справочное) Параметры акустического выхода ультразвукового медицинского оборудования, работающего в многомодовом режиме, при отсутствии синхронизации сканирования Приложение G (справочное) Среда распространения и ее дегазирование Приложение Н (справочное) Ультразвуковые поля конкретного назначения Приложение I (справочное) Оценка неопределенности результатов измерений акустических параметров с помощью гидрофонов Приложение J (справочное) Системы позиционирования преобразователя и гидрофона Приложение К (справочное) Метод определения средних точек по ширине пучка Приложение ДА (справочное) Сведения о соответствии ссылочных международных стандартов ссылочным национальным стандартам Российской Федерации (и действующим в этом качестве межгосударственным стандартам) Библиография |
| Разработан: | ВНИИФТРИ |
| Утверждён: | 15.12.2009 Федеральное агентство по техническому регулированию и метрологии (1042-ст) |
| Издан: | Стандартинформ (2010 г. ) |
| Расположен в: | |
| Нормативные ссылки: |
|




























































