Информационная система
«Ёшкин Кот»

Скачать базу одним архивом
Скачать обновления
История создания базы
Карта сайта

Скачать ГОСТ Р 53440-2009 Основные нормы взаимозаменяемости. Характеристики изделий геометрические. Нормальные конусности и углы конусов

Дата актуализации: 10.08.2017

ГОСТ Р 53440-2009

Основные нормы взаимозаменяемости. Характеристики изделий геометрические. Нормальные конусности и углы конусов

Обозначение: ГОСТ Р 53440-2009
Обозначение англ: GOST R 53440-2009
Статус:действует
Название рус.:Основные нормы взаимозаменяемости. Характеристики изделий геометрические. Нормальные конусности и углы конусов
Название англ.:Basic norms of interchangeability. Geometrical product specifications. Standard rates of taper and cone angles
Дата добавления в базу:01.09.2013
Дата актуализации:05.05.2017
Дата введения:01.01.2012
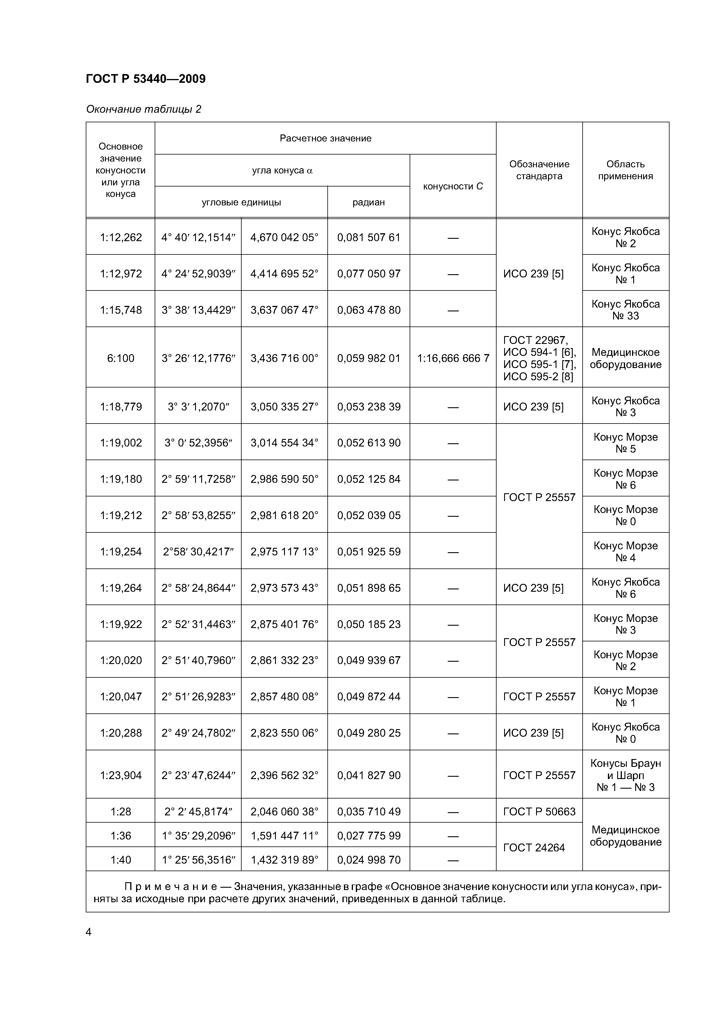
Область применения:Стандарт распространяется на применяемые в машиностроении конусности и углы конусов гладких конических элементов деталей и устанавливает ряды нормальных конусностей от 1:0,289 до 1:500 и углов конусов от 0,114 град. до 120 град. Стандарт не распространяется на конусности и углы конусов, связанные расчетными зависимостями с другими принятыми размерами, негладкие конические элементы деталей (призматические элементы, конические резьбы, конические зубчатые передачи и т.д). Правила указания размеров и допусков конических поверхностей на чертежах согласно ГОСТ 2.320.
Оглавление:1 Область применения
2 Нормативные ссылки
3 Термины и определения
4 Нормальные конусности и углы конусов
Приложение ДА (обязательное)
Приложение А (справочное)
Приложение В (справочное) Библиография
Приложение ДБ (обязательное) Сведения о соответствии национальных и межгосударственных стандартов международным стандартам, использованным в качестве ссылочных в примененном международном стандарте
Библиография
Разработан: ОАО НИИизмерения
Утверждён:04.12.2009 Федеральное агентство по техническому регулированию и метрологии (557-ст)
Издан: Стандартинформ (2010 г. )
Расположен в:Техническая документация Электроэнергия МЕТРОЛОГИЯ И ИЗМЕРЕНИЯ. ФИЗИЧЕСКИЕ ЯВЛЕНИЯ Линейные и угловые измерения Линейные и угловые измерения в целом Экология МЕТРОЛОГИЯ И ИЗМЕРЕНИЯ. ФИЗИЧЕСКИЕ ЯВЛЕНИЯ Линейные и угловые измерения Линейные и угловые измерения в целом
Нормативные ссылки:
ГОСТ Р 53440-2009ГОСТ Р 53440-2009ГОСТ Р 53440-2009ГОСТ Р 53440-2009ГОСТ Р 53440-2009ГОСТ Р 53440-2009ГОСТ Р 53440-2009ГОСТ Р 53440-2009ГОСТ Р 53440-2009ГОСТ Р 53440-2009ГОСТ Р 53440-2009

© 2013 Ёшкин Кот :-) Карта сайта