| ||||||||||||||||||||||||||
Скачать Прейскурант на строительство инженерных сетей в Ленинградской областиДата актуализации: 10.08.2017 |
| Статус: | действует |
| Название рус.: | Прейскурант на строительство инженерных сетей в Ленинградской области |
| Дата добавления в базу: | 01.09.2013 |
| Дата актуализации: | 05.05.2017 |
| Дата введения: | 01.02.2009 |
| Область применения: | Прейскурант является обязательным для применения всеми организациями, осуществляющими проектирование и строительство подземных инженерных сетей на территории Ленинградской области. |
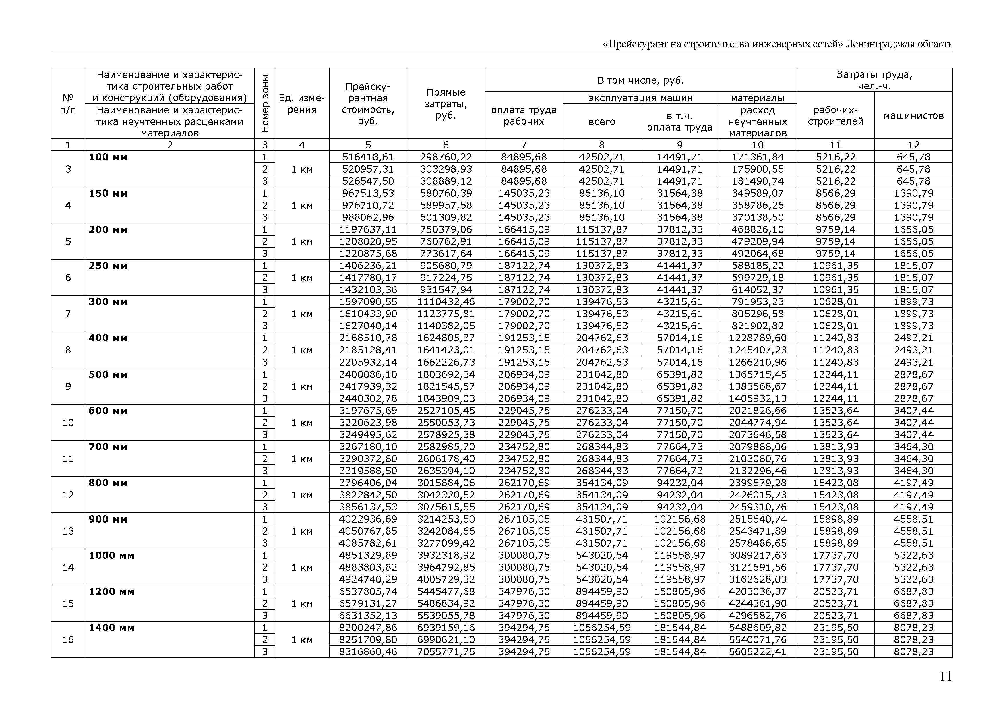
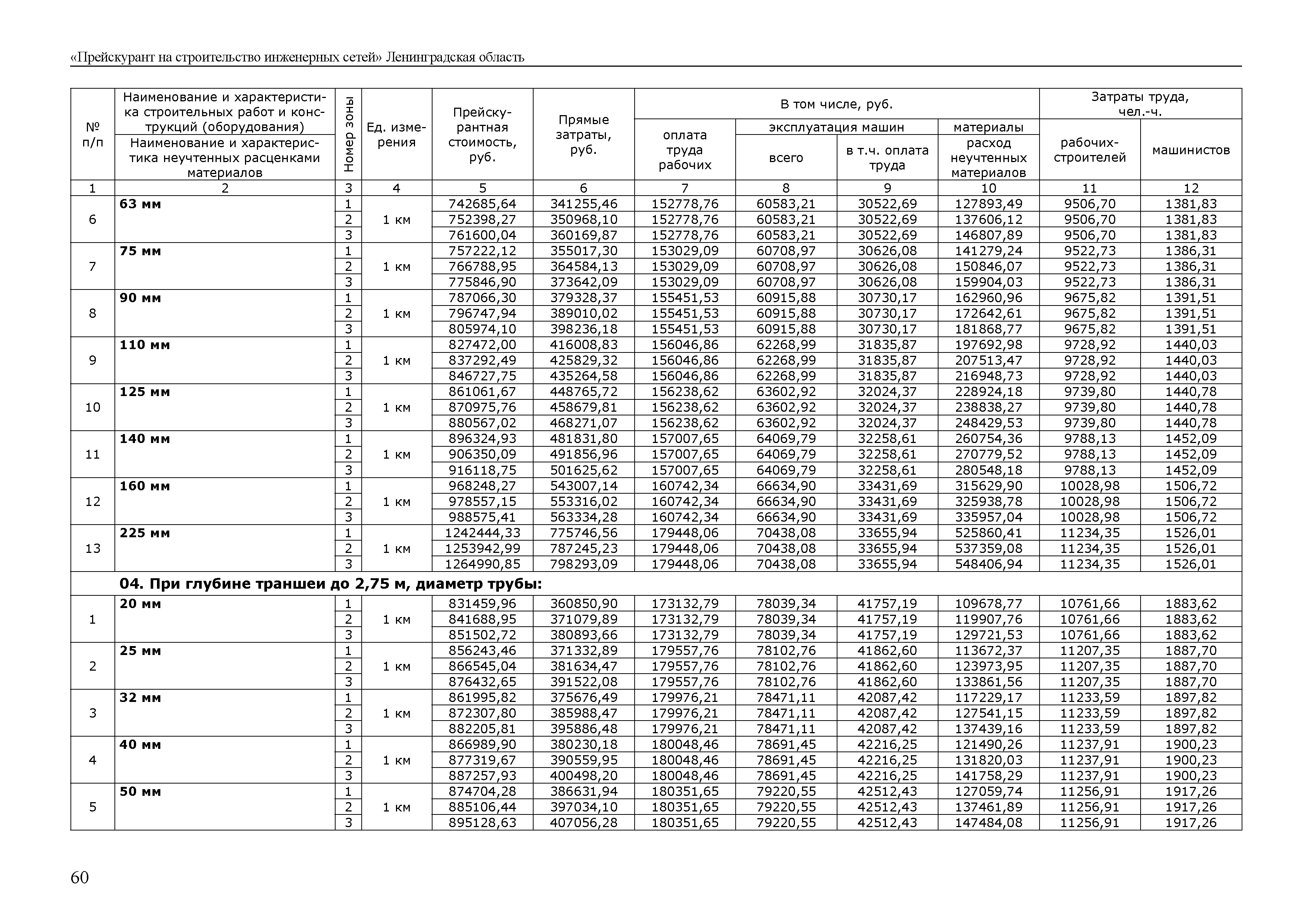
| Оглавление: | Книга 1. Общая часть Приложение к прейскуранту на строительство инженерных сетей Ленинградской области Книга 2. Водопроводные сети Техническая часть Таблица 1. Прейскурантные цены на прокладку магистральных и внутриквартальных водопроводов Таблица 2. Прейскурантные цены на устройство железобетонных колодцев и камер при прокладке магистральных и внутриквартальных водопроводных сетей Приложение Таблица 3. Прейскурантные цены на устройство присоединений Сметные расценки на эксплуатацию строительных машин и механизмов в базисных ценах по состоянию на 01.01.2000 г. Сметные цены на материалы, изделия и конструкции в базисных ценах по состоянию на 01.01.2000 г. Книга 3. Сети канализации Техническая часть Таблица 1. Прейскурантные цены на прокладку магистральных сетей канализации Таблица 2. Прейскурантные цены на прокладку внутриквартальных сетей канализации, канализационных выводов от зданий и присоединение их к магистральным сетям Таблица 3. Прейскурантные цены на установку колодцев из сборного железобетона при прокладке сетей канализации Таблица 4. Поправки к прейскурантным ценам на прокладку магистральных и внутренних канализационных сетей Сметные расценки на эксплуатацию строительных машин и механизмов в базисных ценах по состоянию на 01.01.2000 г. Сметные цены на материалы, изделия и конструкции в базисных ценах по состоянию на 01.01.2000 г. Приложение к разделу "Сети канализации" Книга 4. Газопроводные сети Техническая часть Таблица 1. Прейскурантные цены на прокладку магистральных и внутренних газопроводных сетей из полиэтиленовых труб Сметные расценки на эксплуатацию строительных машин и механизмов в базисных ценах по состоянию на 01.01.2000 г. Сметные цены на материалы, изделия и конструкции в базисных ценах по состоянию на 01.01.2000 г. Книга 5. Тепловые сети Техническая часть Таблица 1. Прейскурантные цены на прокладку магистральных и внутриквартальных тепловых сетей Таблица 2. Поправки к прейскурантным ценам на прокладку магистральных и внутриквартальных тепловых сетей Таблица 3. Прейскурантные цены на прокладку стальных труб в камерах при строительстве тепловых сетей Таблица 4. Прейскурантные цены на устройство сборных железобетонных камер прямоугольного сечения при прокладке Таблица 5. Устройство стальных каркасов в железобетонных камерах Сметные расценки на эксплуатацию строительных машин и механизмов в базисных ценах по состоянию на 01.01.2000 г. Сметные цены на материалы, изделия и конструкции в базисных ценах по состоянию на 01.01.2000 г. Приложение |
| Разработан: | ЗАО ИНиК Ленинградский областной региональный центр по ценообразованию в строительстве |
| Утверждён: | 24.02.2009 Комитет по строительству Ленинградской области (10) |
| Издан: | ЗАО ИНиК (2009 г. ) |
| Расположен в: |





























































































































