| ||||||||||||||||||||||||||||
Скачать ФЕРр 2001-59 Лестницы, крыльца (редакция 2000 г.). Лестницы, крыльца. Федеральные единичные расценки на ремонтно-строительные работыДата актуализации: 10.08.2017
|
| Обозначение: | ФЕРр 2001-59 |
| Обозначение англ: | FERr 2001-59 |
| Статус: | действует |
| Название рус.: | Лестницы, крыльца (редакция 2000 г.). Лестницы, крыльца. Федеральные единичные расценки на ремонтно-строительные работы |
| Дата добавления в базу: | 01.09.2013 |
| Дата актуализации: | 05.05.2017 |
| Область применения: | Документ предназначен для определения прямых затрат в сметной стоимости ремонтно-строительных работ по разборке, демонтажу, ремонту, усилению и замене строительных конструкций, инженерного оборудования и восстановлению отделочных покрытий в условиях организации рабочих мест и внутрипостроечного перемещения строительных материалов, деталей и конструкций на объектах ремонта и реконструкций зданий и сооружений, а также для расчетов за выполненные ремонтно-строительные работы. Сборники ФЕРр-2001 разработаны в уровне цен базового района (Московская область) по состоянию на 1 января 2000 года. |
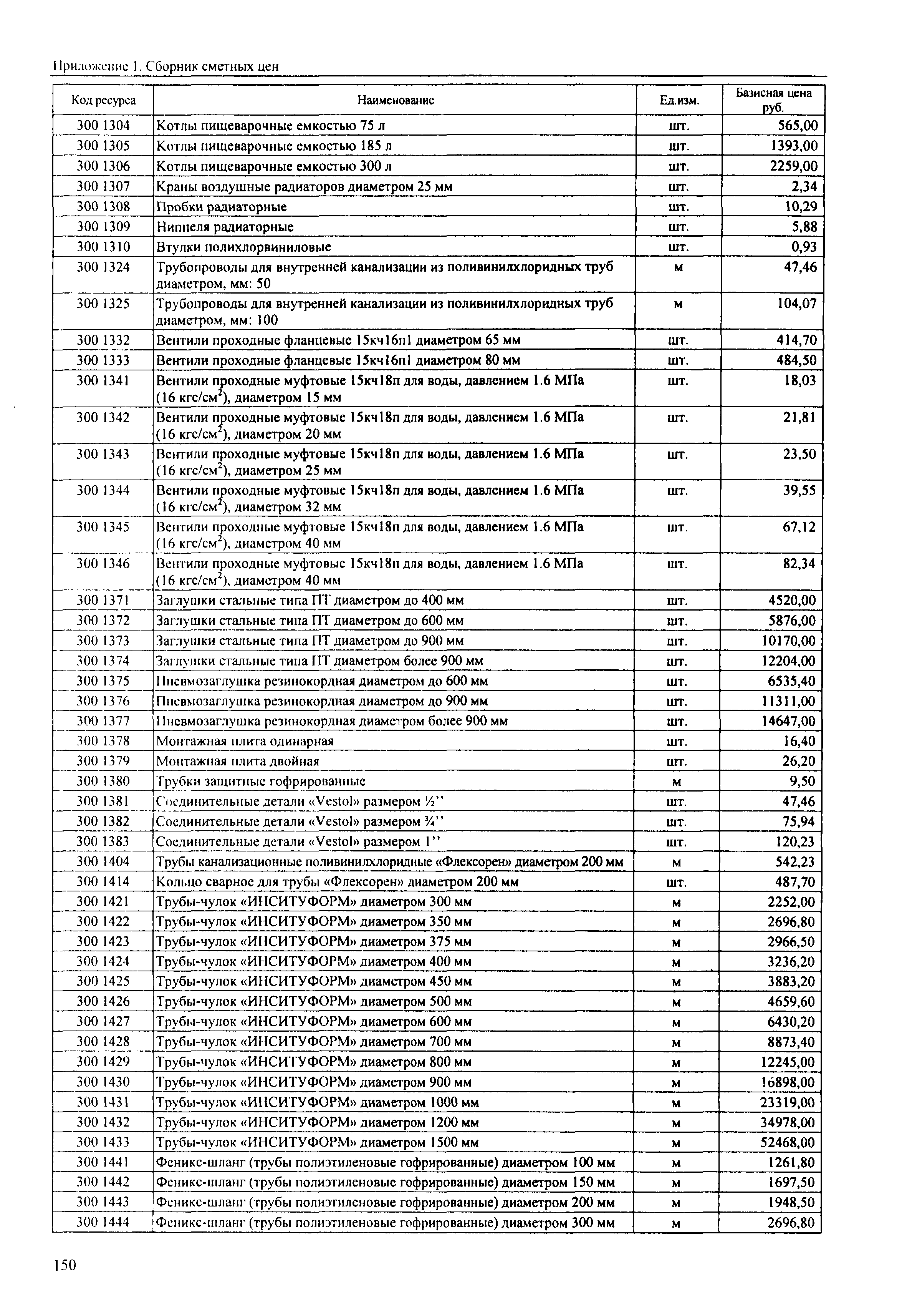
| Оглавление: | Общие указания по применению Федеральных единичных расценок на ремонтно-строительные работы ФЕРр-2001 1. Общие положения 2. Средние сметные цены 3. Затраты труда и заработная плата 4. Применение Единичных расценок Сборник № 59 Лестницы, крыльца Техническая часть 1. Общие указания 2. Правила определения объемов работ Таблица 59-1. Разборка деревянных лестниц и крылец Таблица 59-2. Разборка деревянных чердачных лестниц Таблица 59-3. Разборка металлических лестничных решеток Таблица 59-4. Разборка поручней Таблица 59-5. Ремонт ступеней Таблица 59-6. Устройство вставок в каменных ступенях Таблица 59-7. Ремонт деревянного поручня Таблица 59-8. Укрепление стоек металлических решеток ограждений Таблица 59-9. Ремонт металлических лестничных решеток Таблица 59-10. Смена отдельных каменных и железобетонных ступеней Приложение № 1 Сборник сметных расценок на эксплуатацию строительных машин и автотранспортных средств Сборник сметных цен на материалы, изделия и конструкции, применяемые при ремонтно-строительных работах в базисных ценах Московской области по состоянию на 01.01.2000 |
| Разработан: | Лицензионно-экспертное управление Администрации Московской области МЦЦС Госстроя России 31 ГПИ специального строительства Минобороны РЦЦС СПб |
| Утверждён: | 17.10.2000 Госстрой России (Russian Federation Gosstroy 104) |
| Издан: | Госстрой России (2000 г. ) |
| Расположен в: |








































