| ||||||||||||||||||||||||||||||||
Скачать ФЕРм 2001-39 Часть 39. Контроль монтажных сварных соединений (редакция 2009 г.). Контроль монтажных сварных соединений. Федеральные единичные расценки на монтаж оборудованияДата актуализации: 10.08.2017
|
| Обозначение: | ФЕРм 2001-39 |
| Обозначение англ: | FERm 2001-39 |
| Статус: | утратил силу |
| Название рус.: | Часть 39. Контроль монтажных сварных соединений (редакция 2009 г.). Контроль монтажных сварных соединений. Федеральные единичные расценки на монтаж оборудования |
| Дата добавления в базу: | 01.09.2013 |
| Дата актуализации: | 05.05.2017 |
| Дата введения: | 11.10.2013 |
| Область применения: | Федеральные единичные расценки на монтаж оборудования предназначены для определения затрат при выполнении работ по монтажу оборудования и составления на их основе сметных расчетов (смет) на производство указанных работ. |
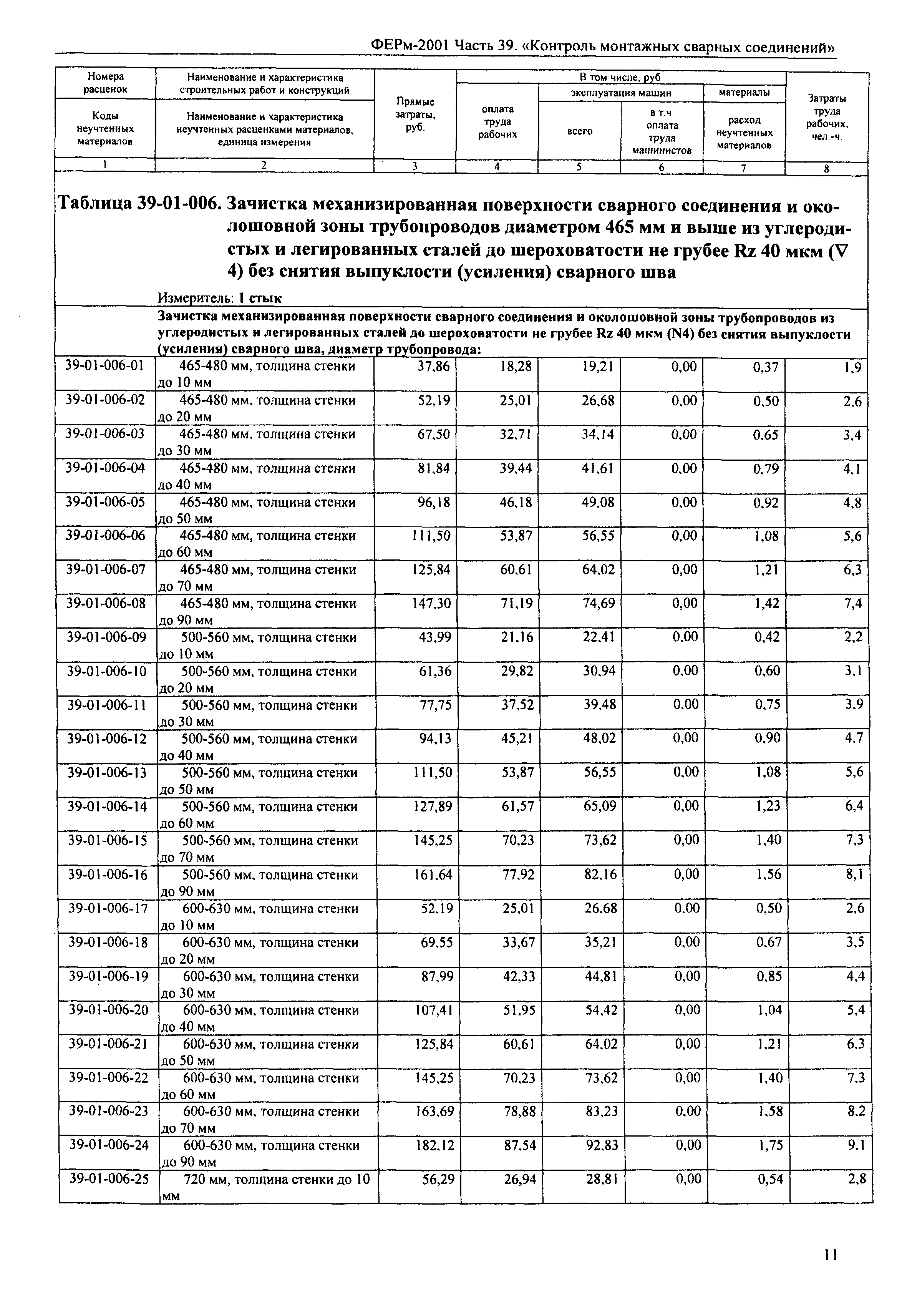
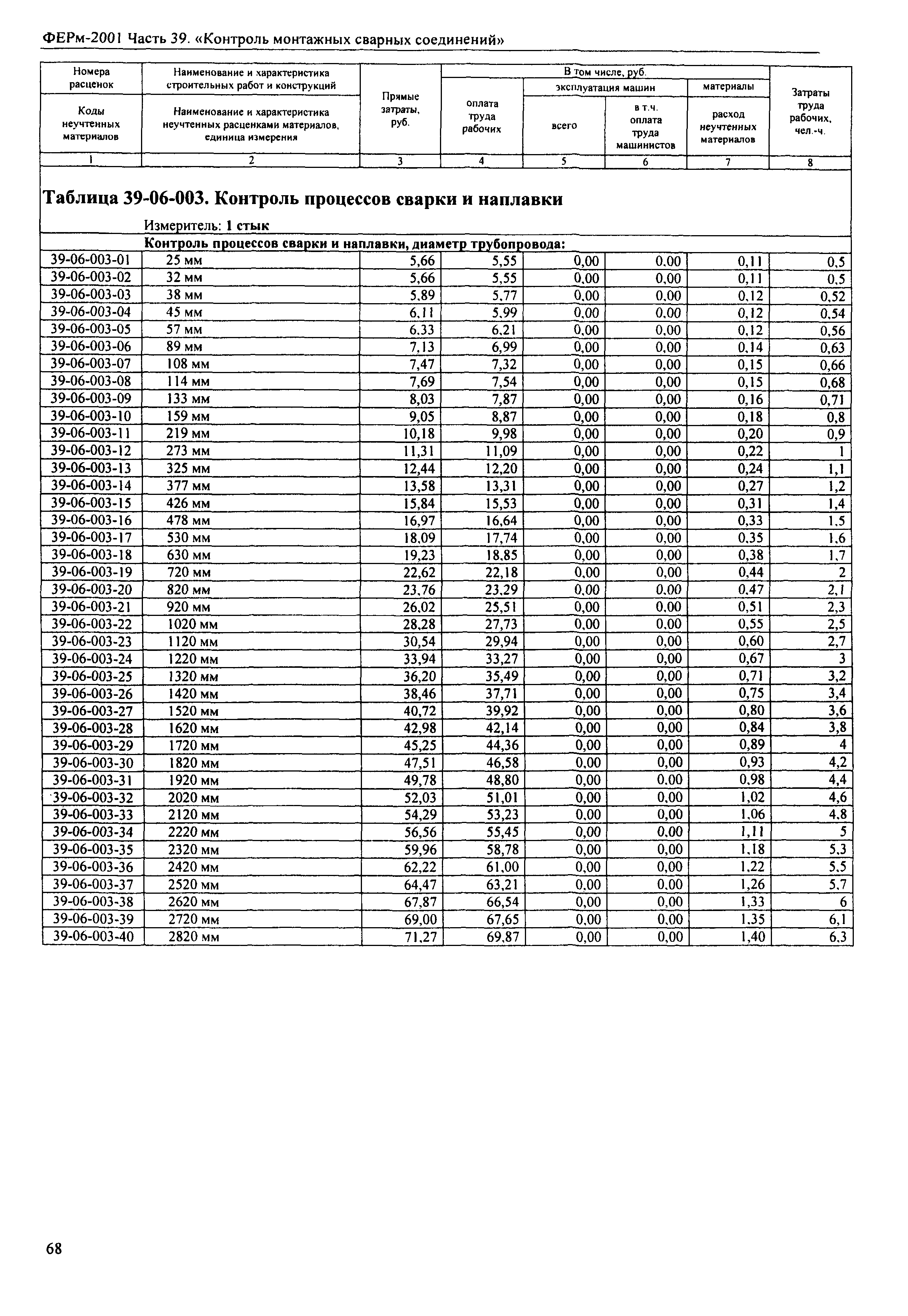
| Оглавление: | Отдел 01. Подготовка к контролю поверхности монтажных сварных соединений и околошовной зон Отдел 02. Контроль монтажных сварных соединений неразрушающими методами Отдел 03. Контроль монтажных сварных соединений разрушающими методами Отдел 04. Изготовление образцов для испытания монтажных сварных соединений Отдел 05. Предварительный контроль Отдел 06. Операционный контроль |
| Разработан: | Федеральный центр ценообразования в строительстве и промышленности строительных материалов |
| Утверждён: | 04.08.2009 Министерство регионального развития Российской Федерации (321) |
| Издан: | ФГУ Федеральный центр ценообразования в строительстве и промышленности строительных материалов (2009 г. ) |
| Расположен в: | |
| Список изменений: |
|









































































Текстовое изменение № И3 от 25.07.2011





