| ||||||||||||||||||||||
Скачать ФЕРм 2001-37 Оборудование общего назначения (редакция 2008 г.). Оборудование общего назначения. Федеральные единичные расценки на монтаж оборудованияДата актуализации: 10.08.2017
|
| Обозначение: | ФЕРм 2001-37 |
| Обозначение англ: | FERm 2001-37 |
| Статус: | не действует |
| Название рус.: | Оборудование общего назначения (редакция 2008 г.). Оборудование общего назначения. Федеральные единичные расценки на монтаж оборудования |
| Дата добавления в базу: | 01.09.2013 |
| Дата актуализации: | 05.05.2017 |
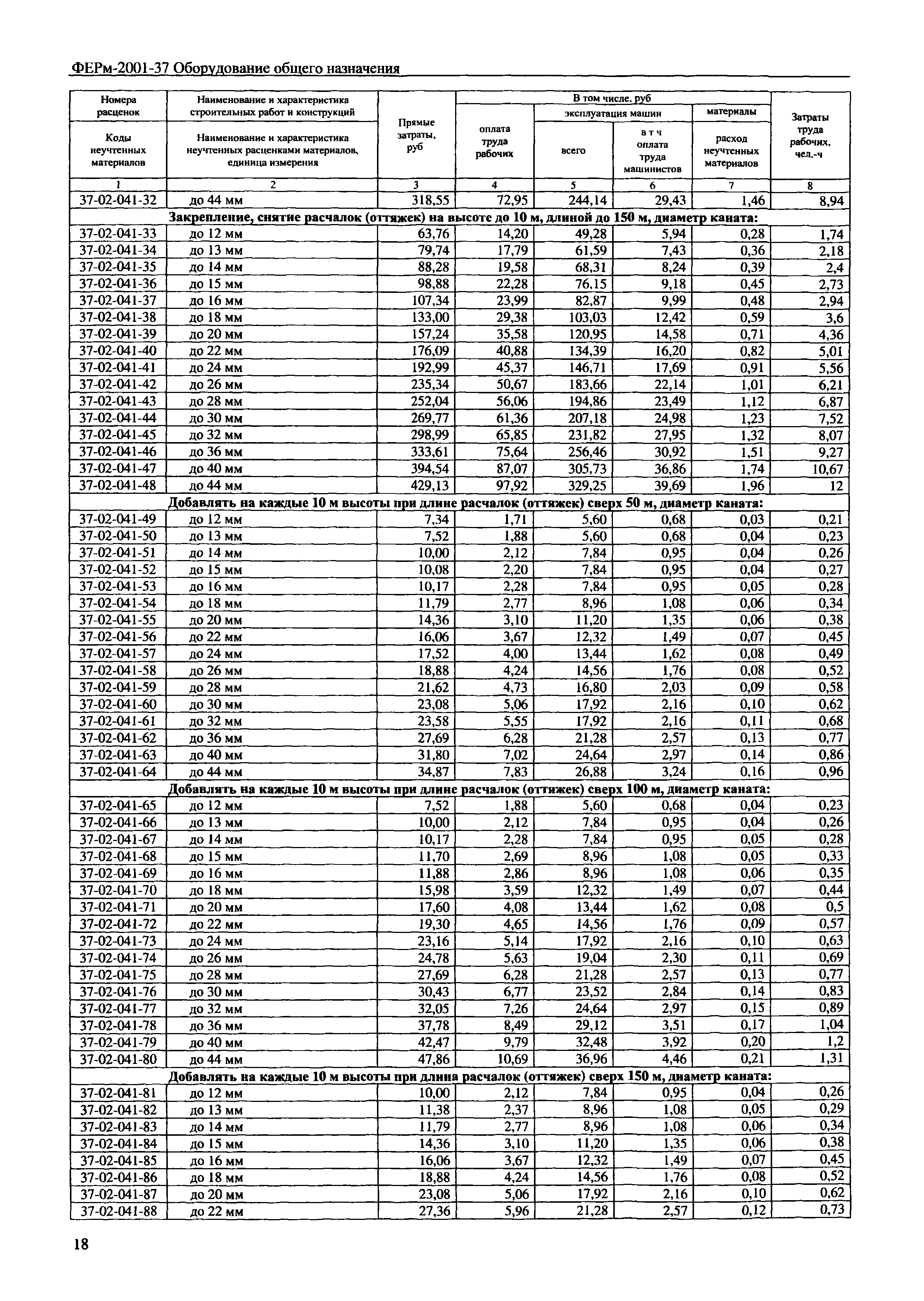
| Оглавление: | Техническая часть Отдел 01. Монтаж оборудования Вводные указания Раздел 1. Сосуды и аппараты без механизмов Раздел 2. Машины и механизмы Раздел 3. Гидравлическое испытание сосудов и аппаратов Вводные указания Раздел 4. Испытание машин и механизмов с электроприводом на холостом ходу Отдел 02. Такелажные работы Раздел 1. Устройство и разборка якорей Раздел 2. Установка и снятие талей и лебедок без устройства якорей Раздел 3. Установка и снятие монтажных блоков и полиспастов Раздел 4. Закрепление и снятие расчалок (оттяжек) Вводные указания Раздел 5. Установка и снятие треноги и опорной стойки Раздел 6. Устройство, разборка и передвижка рельсовых путей Приложение 1. Показатели часовой оплаты труда рабочих-монтажников в зависимости от среднего разряда работ Приложение 2. Сметные расценки на эксплуатацию строительных машин и механизмов Приложение 3. Сметные цены на материалы, изделия и конструкции |
| Расположен в: | |
| Нормативные ссылки: |
|



























