| ||||||||||||||||||||||
Скачать ФЕРм 2001-10 Оборудование связи (редакция 2008 г.). Оборудование связи. Федеральные единичные расценки на монтаж оборудованияДата актуализации: 10.08.2017
|
| Обозначение: | ФЕРм 2001-10 |
| Обозначение англ: | FERm 2001-10 |
| Статус: | не действует |
| Название рус.: | Оборудование связи (редакция 2008 г.). Оборудование связи. Федеральные единичные расценки на монтаж оборудования |
| Дата добавления в базу: | 01.09.2013 |
| Дата актуализации: | 05.05.2017 |
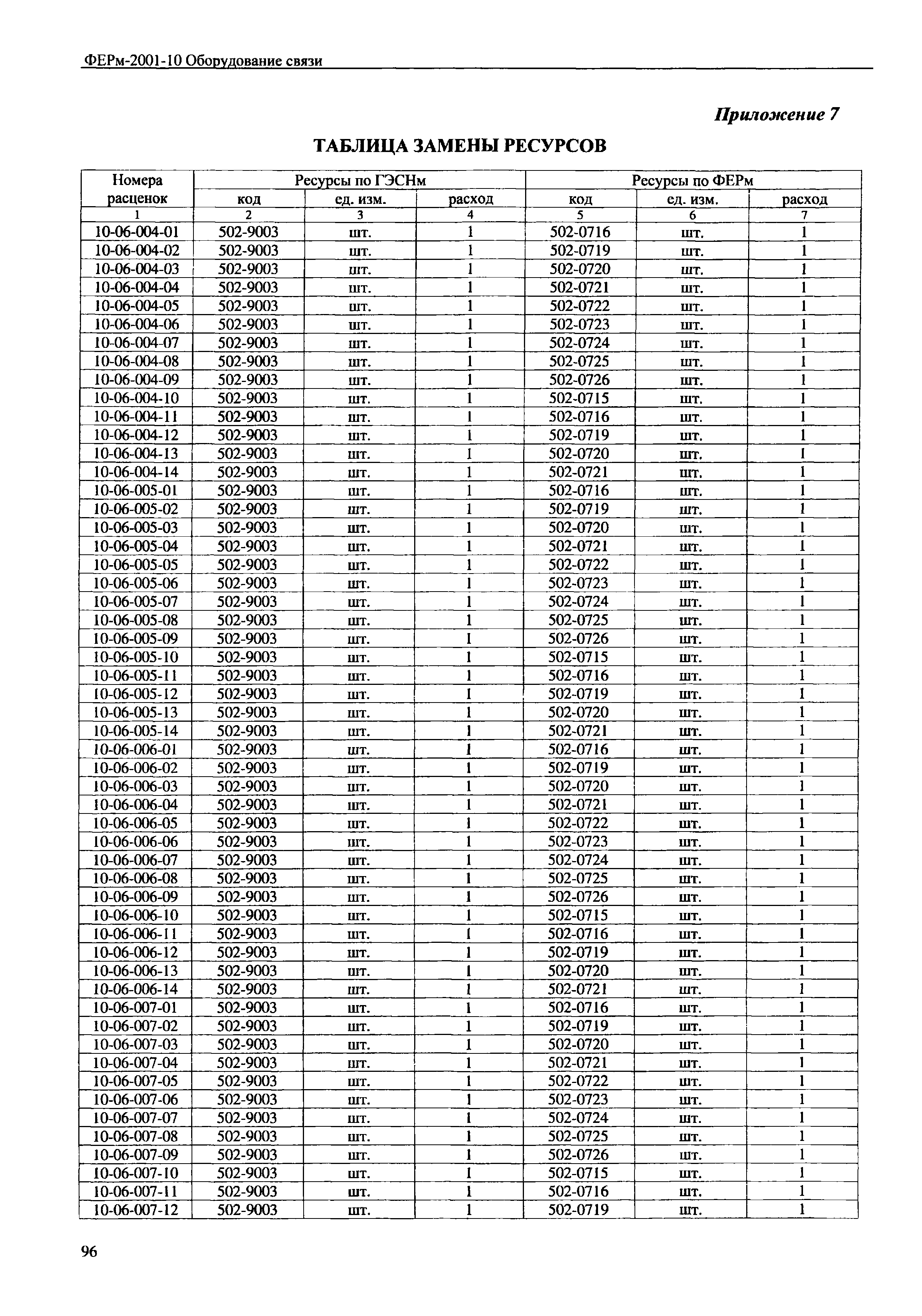
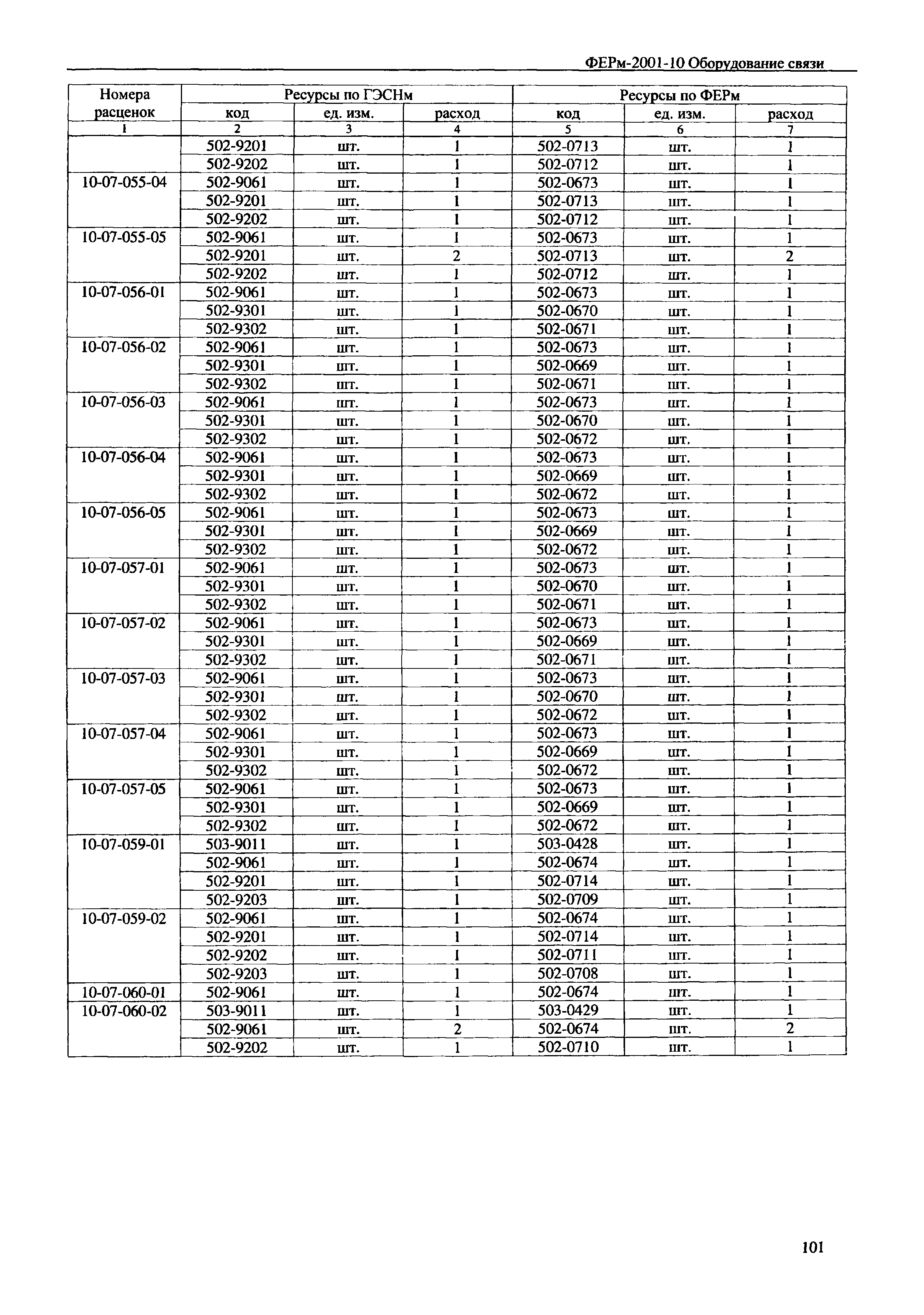
| Оглавление: | Техническая часть Отдел 01. Городская телефонная связь Раздел 1. Станции телефонные автоматические Вводные указания Раздел 2. Кроссы Вводные указания Раздел 3. Аппаратура уплотнения межстанционных связей Вводные указания Раздел 4. Желоба металлические воздушные Вводные указания Раздел 5. Кабели и провода станционные Вводные указания Отдел 02. Местная телефонная связь Раздел 1. Станции телефонные автоматические малой емкости Вводные указания Раздал 2. Оперативно-телефонная связь Вводные указания Раздел 3. Аппараты телефонные Раздел 4. Станции телефонные автоматические квазиэлектронные Вводные указания Раздел 5. Станции телефонные интегральные квазиэлектронные (Вариантов нет) «исток» Вводные указания Отдел 03. Междугородная проводная связь Раздел 1. Линейно-аппаратные цехи Вводные указания Раздел 2. Станции телефонные междугородные ручные и полуавтоматические Вводные указания Раздел 3. Станции телефонные междугородные автоматические и электронные Вводные указания Раздел 4. Станции телеграфные Вводные указания Раздел 5. Настройка каналов связи Вводные указания Отдел 04. Радиосвязь, радиовещание, радиофикация и телевидение Раздел 1. Передатчики мощностью до 2000 кВт Вводные указания Раздел 2. Детали мощных передатчиков Раздел 3. Передатчики ультракоротковолновые и станции телевизионные Вводные указания Раздел 4. Фидеры высокочастотные Вводные указания Раздел 5. Аппаратура УБС антенной коммутации и антенных устройств передающих радиостанций Вводные указания Раздел 6. Заземление высокочастотное Вводные указания Раздел 7. Охлаждение передатчиков Вводные указания Раздел 8. Аппаратно-студийное оборудование телевизионных центров и радио домов Вводные указания Раздел 9. Радиорелейные линии связи Вводные указания Раздел 10. Радиосвязь с подвижными объектами Вводные указания Раздел 11. Радиотрансляционные узлы Вводные указания Раздел 12. Оборудование звукотехнических установок театрально-зрелищных предприятий Вводные указания Отдел 05. Антенны, волноводы, фидеры и сигнальное освещение мачт и башен Раздел 1. Антенны приемные коллективного пользования Отдел 06. Линии связи Вводные указания Раздел 1. Линии связи кабельные междугородные Вводные указания Раздел 2. Линии связи кабельные городские Вводные указания Раздел 3. Линии связи кабельные волоконно-оптические Вводные указания Раздел 4. Настройка синхронных цифровых систем передачи Вводные указания Раздел 5. Измерение воздушных линий связи Вводные указания Отдел 07. Связь служебная на железнодорожном транспорте Раздел 1. Радиосвязь Вводные указания Раздел 2. Проводная связь Вводные указания Раздел 3. Кабельные магистральные линии связи Вводные указания Отдел 08. Электрическая тревожная, пожарная, вызывная и дистанционная сигнализация Раздел 1. Электрическая тревожная и пожарная сигнализация Вводные указания Раздел 2. Электрочасофикация Вводные указания Отдел 09. Промышленные телевизионные установки Вводные указания Приложение 1. Перечень материальных ресурсов, не учтенных в нормах сборника Приложение 2. Условные (сокращенные) обозначения наименований оборудования и видов работ Приложение 3. Показатели часовой оплаты труда рабочих-монтажников в зависимости от среднего разряда работ Приложение 4. Показатели часовой оплаты труда специалистов Приложение 5. Сметные расценки на эксплуатацию строительных машин и механизмов Приложение 6. Сметные цены на материалы, изделия и конструкции Приложение 7. Таблица замены ресурсов |
| Расположен в: | |
| Нормативные ссылки: |
|












































































































