| ||||||||||||||||||||||||||||||||
Скачать ФЕРм 2001-08 Часть 8. Электротехнические установки (редакция 2009 г.). Электротехнические установки. Федеральные единичные расценки на монтаж оборудованияДата актуализации: 10.08.2017
|
| Обозначение: | ФЕРм 2001-08 |
| Обозначение англ: | FERm 2001-08 |
| Статус: | утратил силу |
| Название рус.: | Часть 8. Электротехнические установки (редакция 2009 г.). Электротехнические установки. Федеральные единичные расценки на монтаж оборудования |
| Дата добавления в базу: | 01.09.2013 |
| Дата актуализации: | 05.05.2017 |
| Дата введения: | 11.10.2013 |
| Область применения: | Федеральные единичные расценки на монтаж оборудования предназначены для определения затрат при выполнении работ по монтажу оборудования и составления на их основе сметных расчетов (смет) на производство указанных работ. |
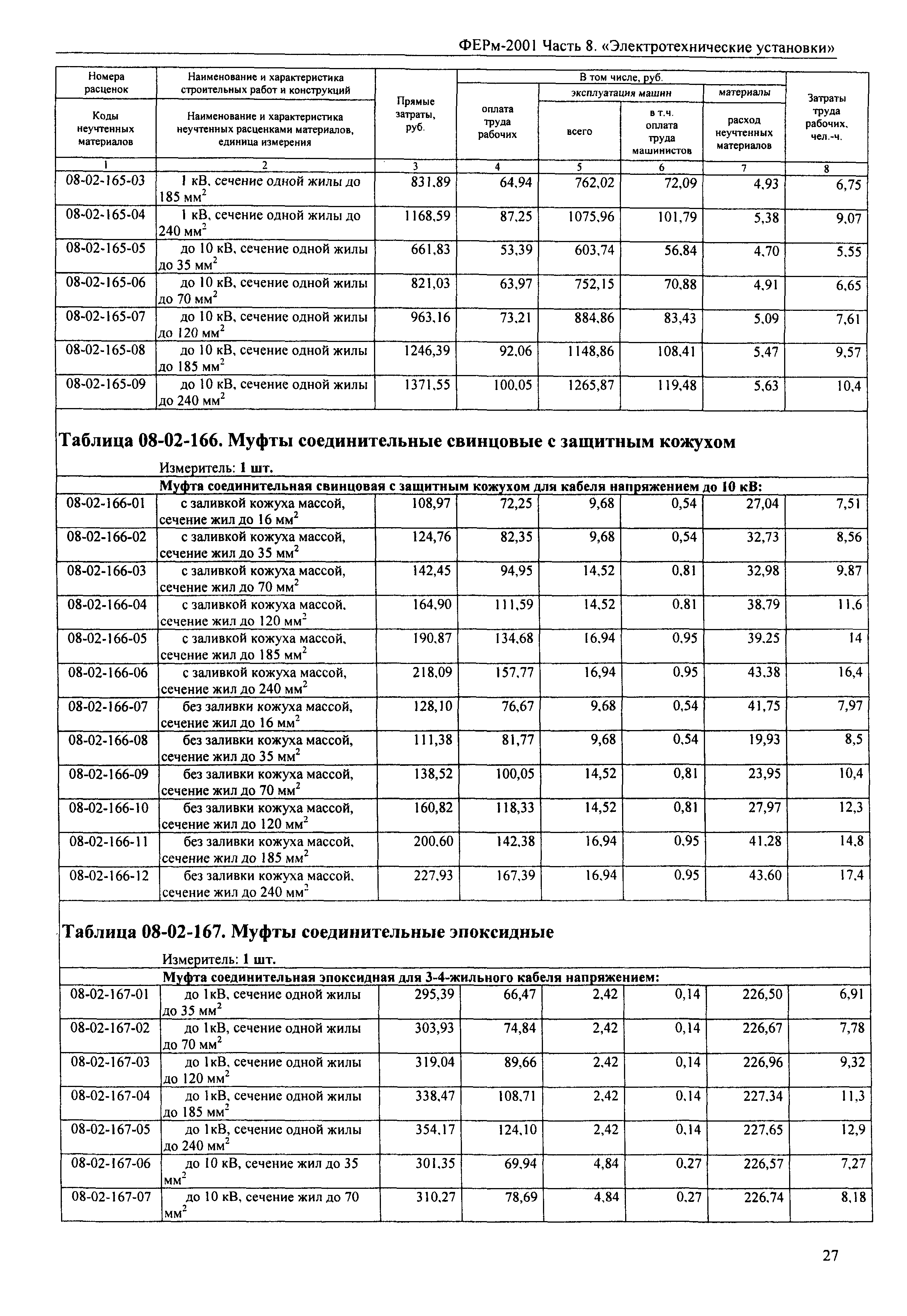
| Оглавление: | Отдел 01. Распределительные устройства и подстанции Раздел 1. Распределительные устройства открытые 6-750 кв. Раздел 2. Распределительные устройства закрытые 35-220 кв. Раздел 3. Распределительные устройства закрытые 3-20 кв. Раздел 4. Преобразовательные устройства Раздел 5. Аккумуляторные установки Отдел 02. Канализация электроэнергии и электрические сети Раздел 1. Кабельные линии до 500 кв. Раздел 2. Сети контактные городского транспорта Раздел 3. Сети контактные метрополитена Раздел 4. Сети контактные промышленного транспорта Раздел 5. Электроосвещение наружное Раздел 6. Сети проводок в зданиях и сооружениях Раздел 7. Шины тяжелые Раздел 8. Сети заземления электротехнических установок Отдел 03. Электросиловые и электроосветительные установки Раздел 1. Электрические машины Раздел 2. Токопровод к подъемно-транспортным установкам Раздел 3. Устройства пускорегулирующие Раздел 4. Низковольтные комплектные устройства Раздел 5. Приборы осветительные, нагревательные, щитки и счетчики Раздел 6. Установки театрально-зрелищных предприятий Отдел 04. Кабельные линии и электрооборудование специальных установок Раздел 1. Кабельные линии и электрооборудование ядерных энергоустановок и спецкорпусов АЭС Раздел 2. Электрооборудование в горнорудных выработках |
| Разработан: | Федеральный центр ценообразования в строительстве и промышленности строительных материалов |
| Утверждён: | 04.08.2009 Министерство регионального развития Российской Федерации (321) |
| Издан: | ФГУ Федеральный центр ценообразования в строительстве и промышленности строительных материалов (2009 г. ) |
| Расположен в: | |
| Список изменений: |
|



























































































Текстовое изменение № И1 от 04.03.2010










Текстовое изменение № И2 от 21.12.2010













Текстовое изменение № И3 от 25.07.2011







Текстовое изменение № И4 от 29.01.2012





Текстовое изменение № И5 от 29.06.2012





