| ||||||||||||||||||||||
Скачать ФЕРм 2001-06 Теплосиловое оборудование (редакция 2008 г.). Теплосиловое оборудование. Федеральные единичные расценки на монтаж оборудованияДата актуализации: 10.08.2017
|
| Обозначение: | ФЕРм 2001-06 |
| Обозначение англ: | FERm 2001-06 |
| Статус: | не действует |
| Название рус.: | Теплосиловое оборудование (редакция 2008 г.). Теплосиловое оборудование. Федеральные единичные расценки на монтаж оборудования |
| Дата добавления в базу: | 01.09.2013 |
| Дата актуализации: | 05.05.2017 |
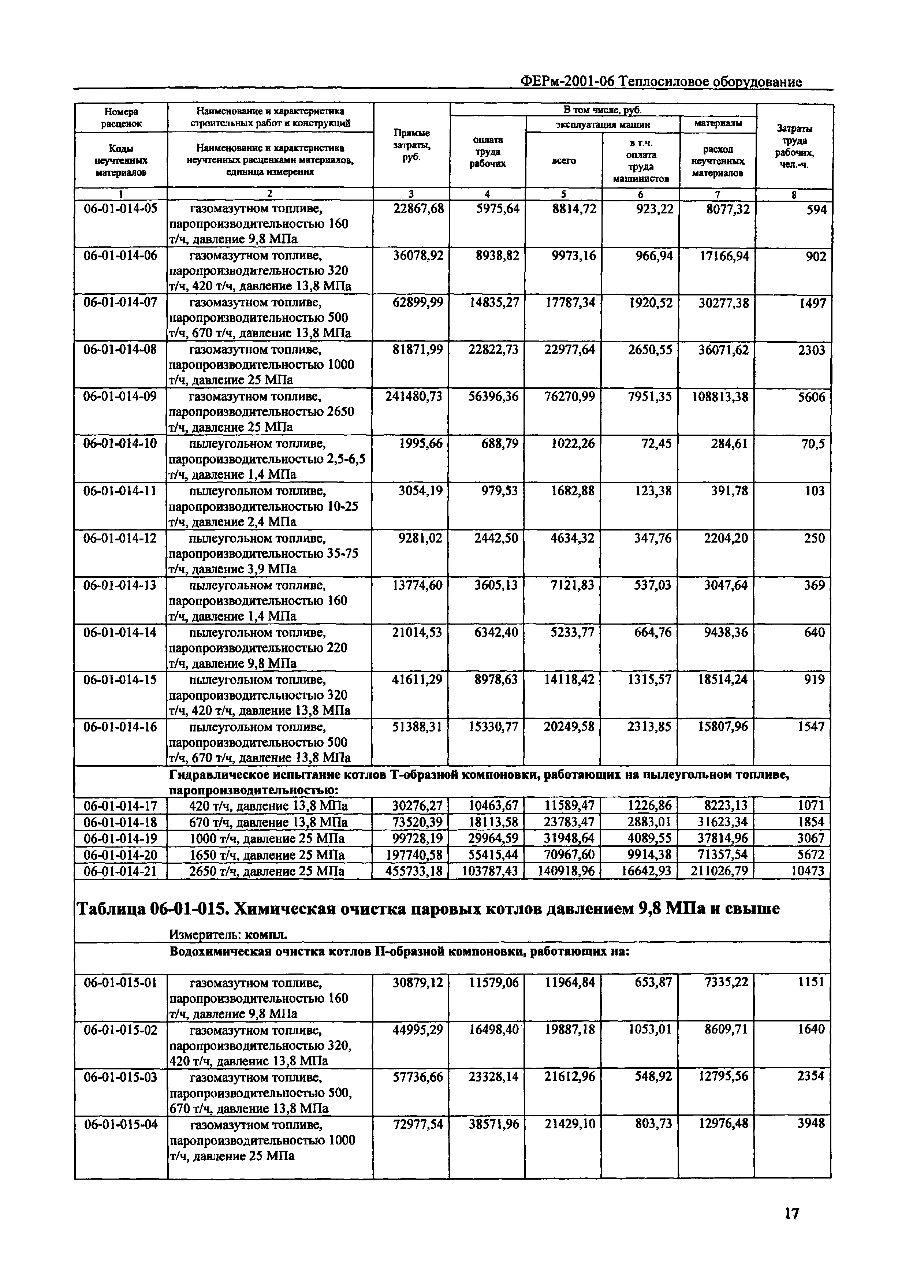
| Оглавление: | Техническая часть Отдел 01. Паровые и водогрейные стационарные котлы Вводные указания Раздел 1. Элементы паровых стационарных котлов Раздел 2. Котлы паровые автоматизированные Раздел 3. Элементы водогрейных котлов Отдел 02. Котельно-вспомогательное оборудование Вводные указания Раздел 1. Топочные устройств а Раздел 2. Оборудование пылеприготовления Отдел 03. Оборудование водоподготовки Вводные указания Раздел 1. Аппаратура для химической очистки воды Раздел 2. Аппаратура для термической обработки воды Раздел 3. Станционные баки Раздел 4. Установки для преобразования пара Отдел 04. Агрегаты паротурбинные и газотурбинные Вводные указания Раздел 1. Турбины паровые стационарные и установки газотурбинные стационарные Раздел 2. Конденсаторы Раздел 3. Турбогенераторы Отдел 05. Турбинное вспомогательное оборудование Вводные указания Приложение 1. Расход материальных ресурсов на сушку обмуровки, щелочение, испытание оборудования (в том числе на газовую и паровую плотность), химическую очистку, промывку и регенерацию Приложение 2. Расход фильтрующих материалов для аппаратуры химводоочистки Приложение 3. Расход материальных ресурсов для заполнения агрегатов паротурбинных и газотурбинных Приложение 4. Показатели часовой оплаты труда рабочих-монтажников в зависимости от среднего разряда работ Приложение 5. Сметные расценки на эксплуатацию строительных машин и механизмов Приложение 6. Сметные цены на материалы, изделия и конструкции |
| Расположен в: | |
| Нормативные ссылки: |
|























































