| ||||||||||||||||||||||
Скачать ФЕРм 2001-03 Подъемно-транспортное оборудование (редакция 2008 г.). Подъемно-транспортное оборудование. Федеральные единичные расценки на монтаж оборудованияДата актуализации: 10.08.2017
|
| Обозначение: | ФЕРм 2001-03 |
| Обозначение англ: | FERm 2001-03 |
| Статус: | не действует |
| Название рус.: | Подъемно-транспортное оборудование (редакция 2008 г.). Подъемно-транспортное оборудование. Федеральные единичные расценки на монтаж оборудования |
| Дата добавления в базу: | 01.09.2013 |
| Дата актуализации: | 05.05.2017 |
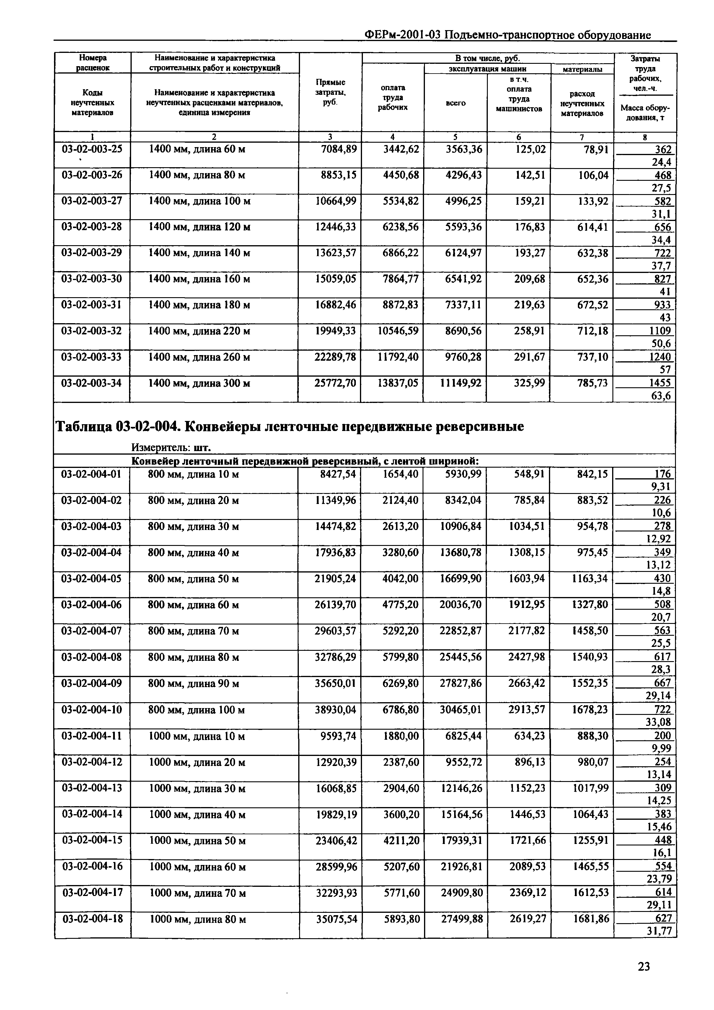
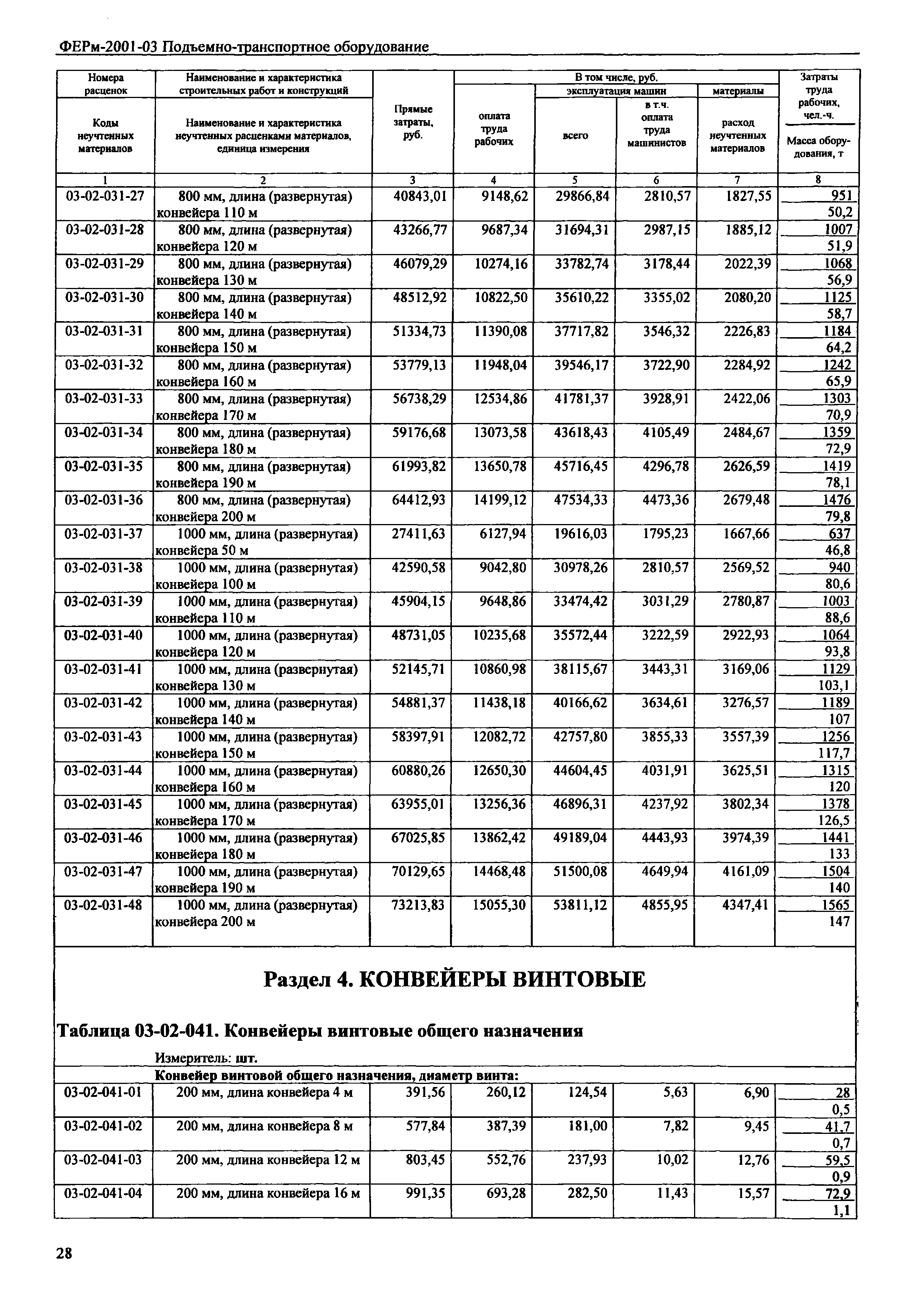
| Оглавление: | Техническая часть Отдел 01. Подъемно-транспортные механизмы прерывного действия Вводные указания Раздел 1. Краны мостовые и консольные общего назначения Раздел 2. Краны специальные мостовые Раздел 3. Краны металлургические мостовые Раздел 4. Краны перегрузочные Раздел 5. Краны портальные Раздел 6. Лебедки Раздел 7. Краны подвесные двухбалочные многопролетные электрические Раздел 8. Краны-штабелеры и стеллажи Раздел 9. Централизованная густая смазка кранов Раздел 10. Подъемные механизмы Раздел 11. Краны козловые Отдел 02. Транспортные механизмы непрерывного действия Вводные указания Раздел 1. Конвейеры ленточные Раздел 2. Конвейеры пластинчатые и цепные Раздел 3. Конвейеры тележечные Раздел 4. Конвейеры винтовые Раздел 5. Элеваторы Раздел 6. Конвейеры специальные Отдел 03. Узлы подъемно-транспортного оборудования Вводные указания Раздел 1. Узлы конвейеров и рольгангов Отдел 04. Подвесные канатные дороги Вводные указания Раздел 1. Двухканатные подвесные грузовые кольцевые и маятниковые дороги Раздел 2. Пассажирские подвесные канатные дороги Отдел 05. Подъемники Вводные указания Раздел 1. Пассажирские, больничные и грузовые лифты Отдел 06. Шахтное подъемно-транспортное оборудование Вводные указания Раздел 1. Лебедки и навеска канатов Отдел 07. Лесотранспортное оборудование Отдел 08. Оборудование систем трубопроводного контейнерного пневмотранспорта Раздел 1. Составы контейнеров Раздел 2. Оборудование линейное Раздел 3. Оборудование погрузочно-разгрузочное Раздел 4. Оборудование гидравлическое и пневматическое Раздел 5. Оборудование воздуходувных станций Раздел 6. Устройства технического обслуживания Приложение 1. Перечень материальных ресурсов, не учтенных в расценках на монтаж оборудования Приложение 2. Расход материальных ресурсов, необходимых для индивидуального испытания оборудования Приложение 3. Показатели часовой оплаты труда рабочих-монтажников в зависимости от среднего разряда работ Приложение 4. Сметные расценки на эксплуатацию строительных машин и механизмов Приложение 5. Сметные цены на материалы, изделия и конструкции |
| Расположен в: | |
| Нормативные ссылки: |
|
































































