| ||||||||||||||||||||||
Скачать ФЕР 2001-27 Автомобильные дороги (редакция 2008 г.). Автомобильные дороги. Федеральные единичные расценки на строительные работыДата актуализации: 10.08.2017
|
| Обозначение: | ФЕР 2001-27 |
| Обозначение англ: | FER 2001-27 |
| Статус: | не действует |
| Название рус.: | Автомобильные дороги (редакция 2008 г.). Автомобильные дороги. Федеральные единичные расценки на строительные работы |
| Дата добавления в базу: | 01.09.2013 |
| Дата актуализации: | 05.05.2017 |
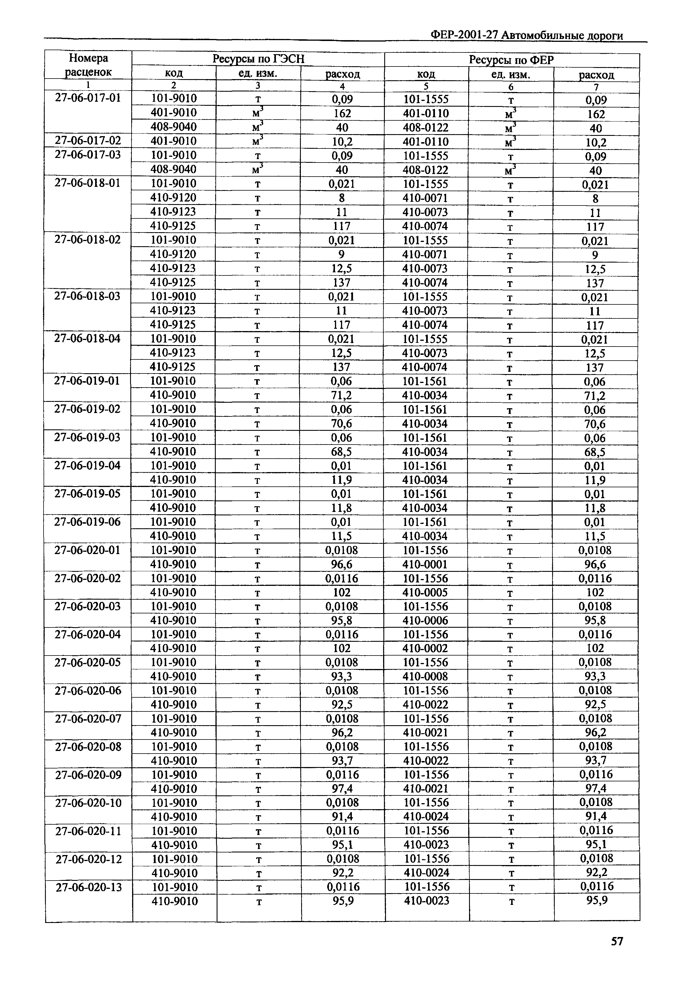
| Оглавление: | Техническая часть Раздел 1. Основания и покрытия из грунтов, укрепляемых вяжущими материалами Подраздел 1.1 Основания и покрытия из грунтов, укрепляемых органическими вяжущими материалами Подраздел 1.2 Основания и покрытия из грунтов, укрепляемых неорганическими вяжущими материалами Раздел 2. Дренажные и водосбросные устройства Раздел 3. Подготовка существующих оснований и покрытий под черные щебеночные (гравийные) и асфальтобетонные покрытия (при реконструкции) Подраздел 3.1 Исправление профиля оснований Подраздел 3.2 Разборка существующих сооружений Раздел 4. Подстилающие, выравнивающие слои основания и покрытия Подраздел 4.1 Подстилающие и выравнивающие слои основания Подраздел 4.2 Основания и покрытия из гравийных, песчано-гравийных и щебеночно-песчаных смесей Подраздел 4.3 Основания и покрытия из щебеночных материалов Подраздел 4.4 Основания и покрытия, устраиваемые на крутых склонах Раздел 5. Устройство мостовых и подзоров Подраздел 5.1 Устройство мостовых Подраздел 5.2 Мощеные подзоры и отмостки Раздел 6. Устройство оснований и покрытий Подраздел 6.1 Жесткие дорожные одежды Подраздел 6.2 Нежесткие дорожные одежды Раздел 7. Дорожки и тротуары Раздел 8. Укрепительные полосы у краев дорожных покрытий и укрепление обочин Раздел 9. Обустройство дорог Подраздел 9.1 Защитные ограждения дорог Подраздел 9.2 Дорожные знаки Подраздел 9.3 Разметка Раздел 10. Приготовление материалов Раздел 11. Дороги, колесопроводы, эстакады, слани и разъезды на болотах Раздел 12. Устройство временных дорог Подраздел 12.1 Устройство временных грунтовых и лежневых дорог Подраздел 12.2 Дороги колейные из сборных железобетонных плит Приложение 1. Показатели часовой оплаты труда рабочих-строителей в зависимости от среднего разряда работ Приложение 2. Сметные расценки на эксплуатацию строительных машин и механизмов Приложение 3. Сметные цены на материалы, изделия и конструкции Приложение 4. Таблица замены ресурсов |
| Расположен в: | |
| Нормативные ссылки: |
|




































































