| ||||||||||||||||||||||
Скачать ФЕР 2001-24 Теплоснабжение и газопроводы - наружные сети (редакция 2008 г.). Теплоснабжение и газопроводы - наружные сети. Федеральные единичные расценки на строительные работыДата актуализации: 10.08.2017
|
| Обозначение: | ФЕР 2001-24 |
| Обозначение англ: | FER 2001-24 |
| Статус: | не действует |
| Название рус.: | Теплоснабжение и газопроводы - наружные сети (редакция 2008 г.). Теплоснабжение и газопроводы - наружные сети. Федеральные единичные расценки на строительные работы |
| Дата добавления в базу: | 01.09.2013 |
| Дата актуализации: | 05.05.2017 |
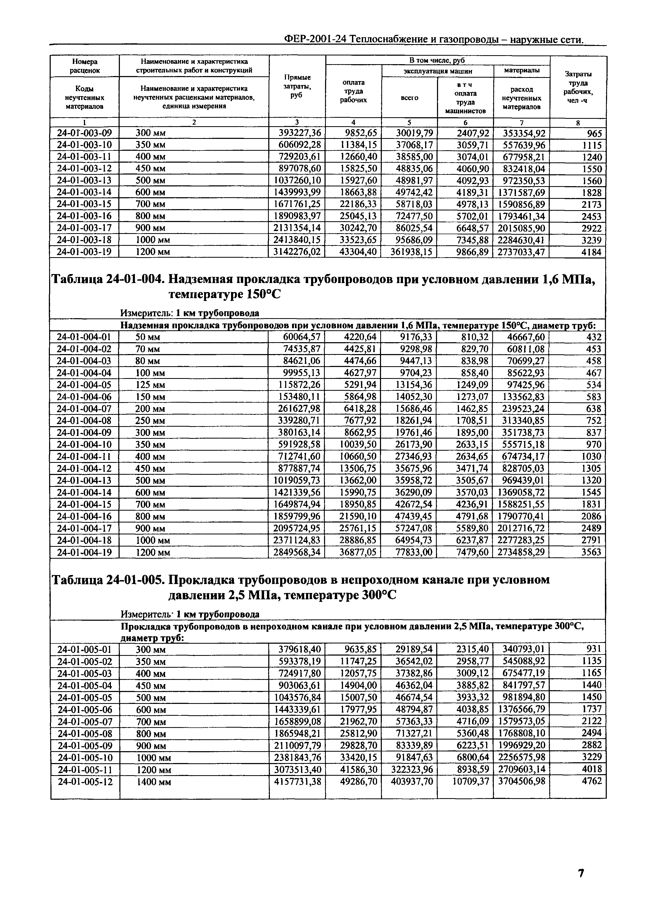
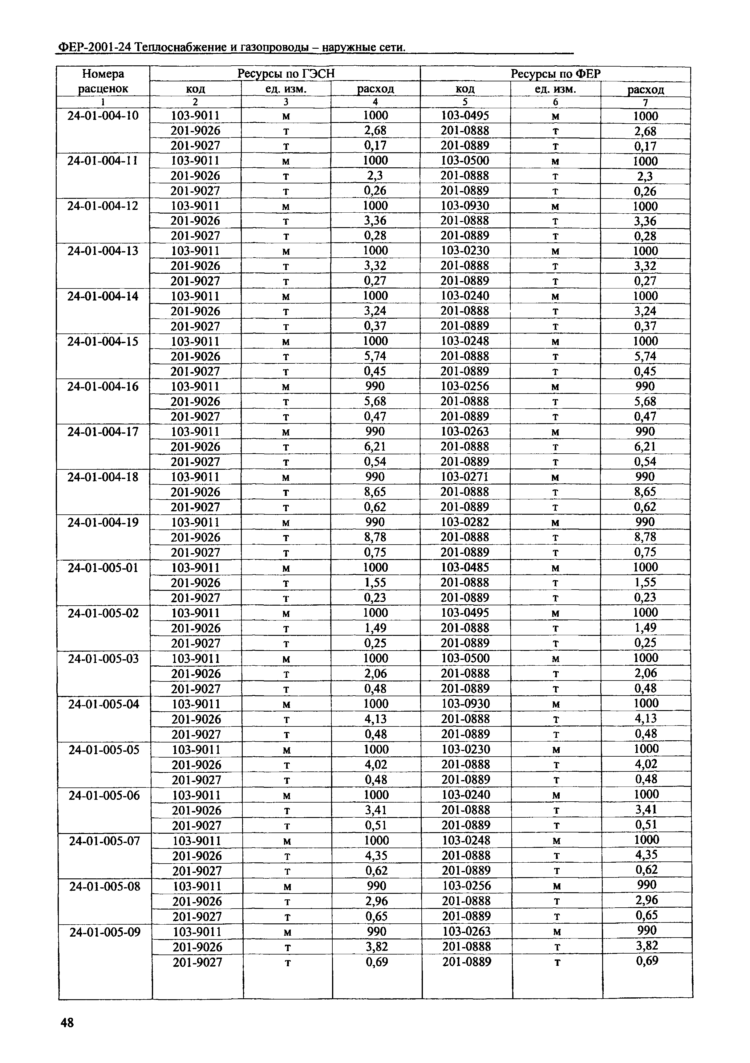
| Оглавление: | Техническая часть Раздел 1. Теплоснабжение-наружные сети Техническая часть Подраздел 1.1 Трубопроводы в каналах и надземные Подраздел 1.2 Бесканальная прокладка трубопроводов Подраздел 1.3 Установка компенсаторов Подраздел 1.4 Установка задвижек или клапанов стальных, вентилей и клапанов обратных муфтовых, грязевиков Раздел 2. Газопроводы городов и поселков Техническая часть Подраздел 2.1 Сборка и сварка газопроводов из полиэтиленовых труб Подраздел 2.2 Противокоррозионная изоляция стальных газопроводов Подраздел 2.3 Подземная укладка трубопроводов Подраздел 2.4 Надземная прокладка стальных газопроводов Подраздел 2.5 Установка стальных кранов и задвижек на газопроводах Подраздел 2.6 Вводы газопровода в здание Подраздел 2.7 Установка сборника конденсата, гидрозатворов и компенсаторов на газопроводах Подраздел 2.8 Прочие устройства на сетях газопроводов Подраздел 2.9 Врезка под газом в действующие стальные газопроводы Подраздел 2.10 Отключение и заглушка под газом действующих газопроводов Подраздел 2.11 Электрохимзащита газопроводов городов и поселков Подраздел 2.12 Очистка полости и испытание трубопроводов Раздел 3. Золошлакопроводы Техническая часть Приложение 1. Показатели часовой оплаты труда рабочих-строителей в зависимости от среднего разряда работ Приложение 2. Сметные расценки на эксплуатацию строительных машин и механизмов Приложение 3. Сметные цены на материалы, изделия и конструкции Приложение 4. Таблица замены ресурсов |
| Расположен в: | |
| Нормативные ссылки: |
|






































































