| ||||||||||||||||||||||
Скачать ФЕР 2001-21 Временные сборно-разборные здания и сооружения (редакция 2008 г.). Временные сборно-разборные здания и сооружения. Федеральные единичные расценки на строительные работыДата актуализации: 10.08.2017
|
| Обозначение: | ФЕР 2001-21 |
| Обозначение англ: | FER 2001-21 |
| Статус: | не действует |
| Название рус.: | Временные сборно-разборные здания и сооружения (редакция 2008 г.). Временные сборно-разборные здания и сооружения. Федеральные единичные расценки на строительные работы |
| Дата добавления в базу: | 01.09.2013 |
| Дата актуализации: | 05.05.2017 |
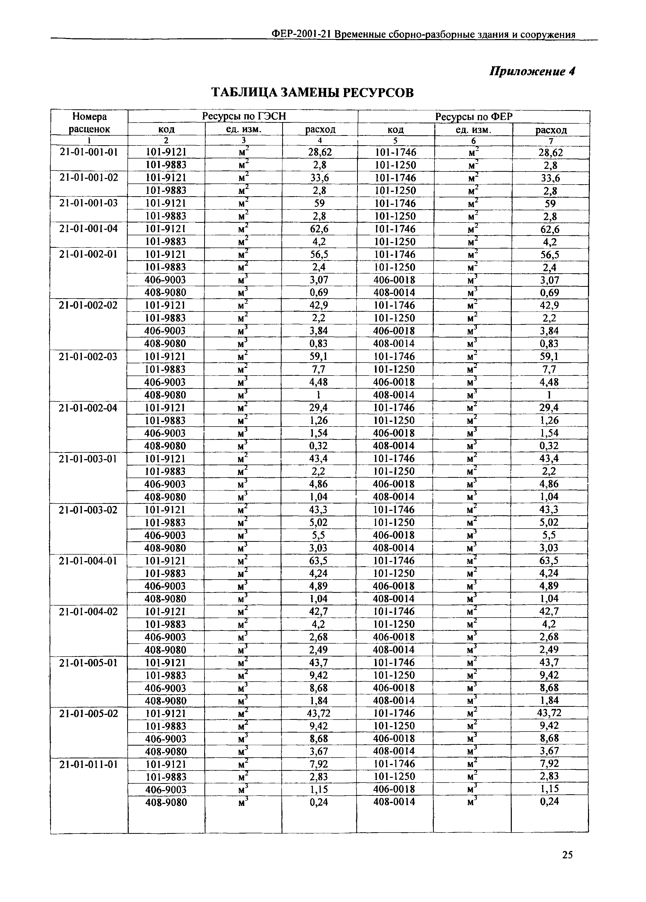
| Оглавление: | Техническая часть Раздел 1. Временные инвентарные здания из сборно-разборных конструкций Раздел 2. Устройство внутренних инженерных сетей временных зданий и сооружений Раздел 3. Подкрановые пути для башенных кранов Приложение 1. Показатели часовой оплаты труда рабочих-строителей в зависимости от среднего разряда работ Приложение 2. Сметные расценки на эксплуатацию строительных машин и механизмов Приложение 3. Сметные цены на материалы, изделия и конструкции Приложение 4. Таблица замены ресурсов |
| Расположен в: | |
| Нормативные ссылки: |
|
































