| ||||||||||||||||||||||
Скачать ГЭСН 2001-29 Тоннели и метрополитены (редакция 2008 г.). Тоннели и метрополитены. Государственные элементные сметные нормы на строительные работыДата актуализации: 10.08.2017
|
| Обозначение: | ГЭСН 2001-29 |
| Обозначение англ: | GESN 2001-29 |
| Статус: | не действует |
| Название рус.: | Тоннели и метрополитены (редакция 2008 г.). Тоннели и метрополитены. Государственные элементные сметные нормы на строительные работы |
| Дата добавления в базу: | 01.09.2013 |
| Дата актуализации: | 05.05.2017 |
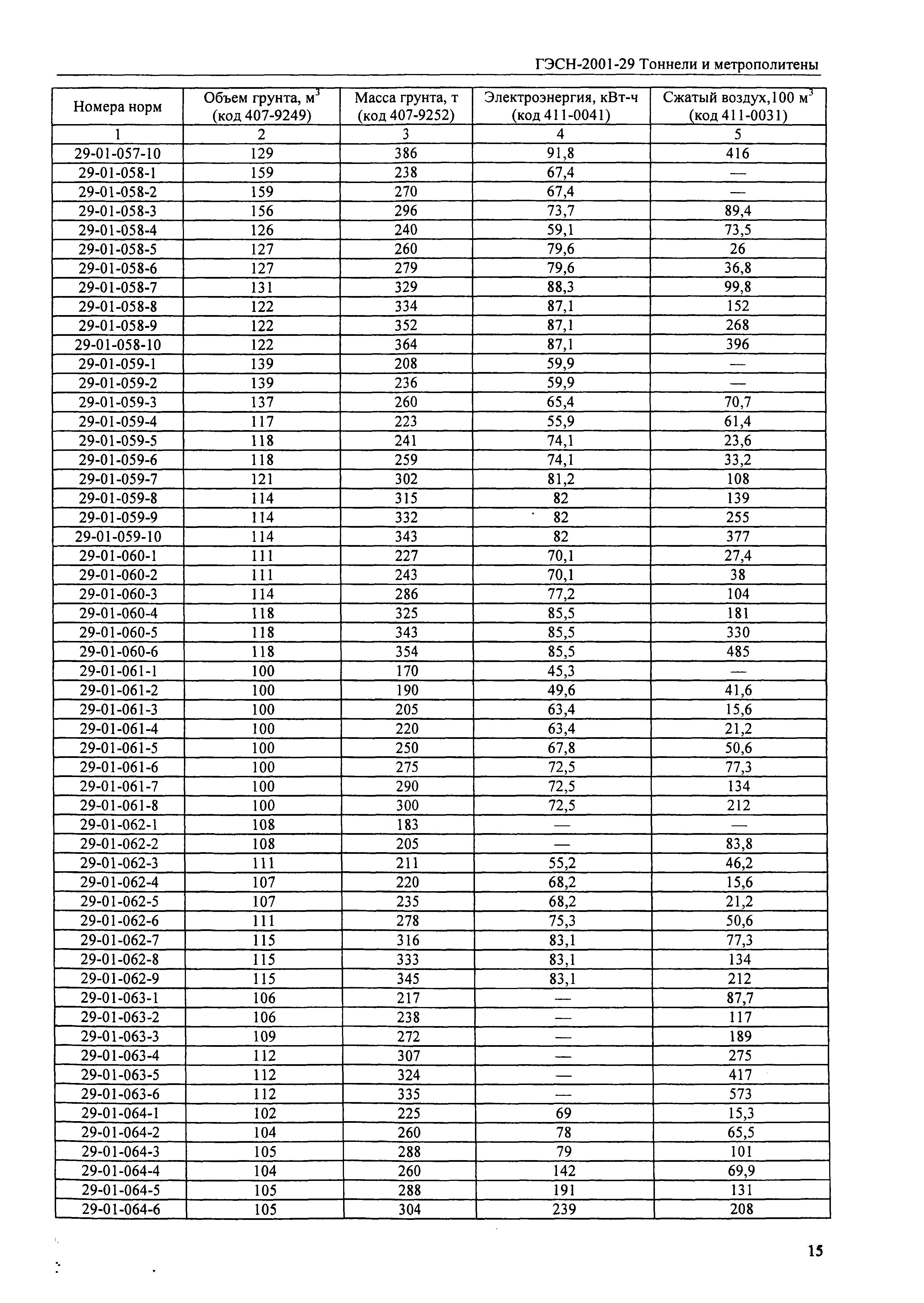
| Оглавление: | Техническая часть Общие положения Классификация грунтов Продолжительность рабочих смен Раздел 1. Закрытый способ работ Техническая часть 1. Общие указания 2. Правила исчисления объемов работ 3. Коэффициенты к сметным нормам Подраздел 1.1. Проходка шахтных стволов Таблица ГЭСН 29-01-001 Проходка шахтных стволов диаметром до 6 м обычным способом без временных крепей Таблица ГЭСН 29-01-002 Проходка шахтных стволов диаметром более 6 до 9,5 м обычным способом без временных крепей Таблица ГЭСН 29-01-003 Расширение шахтных стволов до диаметра 9,5 м без временных крепей с уборкой и выпуском грунта в бункер породоспуска на нижележащий горизонт Таблица ГЭСН 29-01-004 Расширение шахтных стволов до диаметра 9,5 м без временных крепей с уборкой грунта в породоспуск и выпуском его на почву откаточной выработки Таблица ГЭСН 29-01-005 Расширение шахтных стволов до диаметра от 9,5 до 12 м без временных крепей с уборкой грунта в бункер породоспуска на нижележащий горизонт Таблица ГЭСН 29-01-006 Расширение шахтных стволов до диаметра от 9,5 до 12 м без временных крепей с уборкой грунта в породоспуск и выпуском его на почву откаточной выработки Таблица ГЭСН 29-01-007 Расширение шахтных стволов до диаметра более 12 м без временных крепей с уборкой и выпуском грунта в бункер породоспуска на нижележащий горизонт Таблица ГЭСН 29-01-008 Расширение шахтных стволов до диаметра более 12 м без временных крепей с уборкой грунта в породоспуск и выпуском его на почву откаточной выработки Таблица ГЭСН 29-01-009 Проходка шахтных стволов обычным способом с временными деревометаллическими крепями Таблица ГЭСН 29-01-010 Проходка шахтных стволов в замороженных грунтах Таблица ГЭСН 29-01-011 Проходка шахтных стволов опускным колодцем Таблица ГЭСН 29-01-012 Сборка ножей из листовой стали Таблица ГЭСН 29-01-013 Сборка комбинированных ножей из чугунных тюбингов и листовой стали Таблица ГЭСН 29-01-014 Сооружение шахтных стволов методом погружения крепи в тиксотропной рубашке Таблица ГЭСН 29-01-015 Устройство и разборка армировки шахтных стволов диаметром до 6 м при их сооружении Таблица ГЭСН 29-01-016 Устройство армировки шахтных стволов и наклонных выработок на период проходки горизонтальных выработок и разборка ее Таблица ГЭСН 29-01-017 Устройство и разборка армировки шахтных стволов на период сооружения горизонтальных тоннелей малого сечения Подраздел 1.2. Проходка штолен Таблица ГЭСН 29-01-027 Проходка постоянных штолен сечением в свету до 6 м2 с креплением деревянной крепью Таблица ГЭСН 29-01-028 Проходка постоянных штолен сечением в свету более 6 до 10 м2 с креплением деревянной крепью Таблица ГЭСН 29-01-029 Проходка постоянных штолен сечением в свету более 10 до 20 м2 с креплением деревянной крепью Таблица ГЭСН 29-01-030 Проходка постоянных штолен сечением в свету до 6 м2 с креплением деревометаллической крепью Таблица ГЭСН 29-01-031 Проходка постоянных штолен сечением в свету более 6 м2 с креплением деревометаллической крепью Таблица ГЭСН 29-01-032 Проходка постоянных штолен с креплением стальным верхняком и деревянными стойками Таблица ГЭСН 29-01-033 Проходка постоянных штолен с креплением сборными железобетонными рамами Таблица ГЭСН 29-01-034 Проходка постоянных штолен сечением в свету более 6 м2 с креплением металлическими рамами и затяжкой из армоцементных плит Таблица ГЭСН 29-01-035 Проходка временных штолен сечением в свету до 6 м2 с креплением деревянной крепью Таблица ГЭСН 29-01-036 Проходка временных штолен сечением в свету более 6 до 10 м2 с креплением деревянной крепью Таблица ГЭСН 29-01-037 Проходка временных штолен сечением в свету более 10 до 20 м2 с креплением деревянной крепью Таблица ГЭСН 29-01-038 Проходка временных штолен сечением в свету до 6 м2 с креплением деревометаллической крепью Таблица ГЭСН 29-01-039 Проходка временных штолен сечением в свету более 6 м2 с креплением деревометаллической крепью Таблица ГЭСН 29-01-040 Проходка временных штолен с креплением стальным верхняком и деревянными стойками Таблица ГЭСН 29-01-041 Проходка штолен без крепей Таблица ГЭСН 29-01-042 Устройство пересечений постоянных штолен с расширением выработок Таблица ГЭСН 29-01-043 Устройство пересечений постоянных штолен без расширения выработок Таблица ГЭСН 29-01-044 Устройство пересечений временных штолен с расширением выработок Таблица ГЭСН 29-01-045 Устройство пересечений временных штолен без расширения выработок Таблица ГЭСН 29-01-046 Разборка крепей пересечений штолен с расширением выработок Таблица ГЭСН 29-01-047 Разборка крепей пересечений штолен без расширения выработок Подраздел 1.3. Проходка тоннелей и выработок Таблица ГЭСН 29-01-057 Разработка калотт шириной до 7 м с временными деревянными крепями, прогонами (лонгаринами) при монолитной бетонной обделке тоннеля Таблица ГЭСН 29-01-058 Разработка калотт шириной более 7 до 9 м с временными деревянными крепями, прогонами (лонгаринами) при монолитной бетонной обделке тоннеля Таблица ГЭСН 29-01-059 Разработка калотты шириной более 9 м с временными деревянными крепями, прогонами (лонгаринами) при монолитной бетонной обделке тоннеля Таблица ГЭСН 29-01-060 Разработка калотт сечением до 20 м2 с временной дерево металлической крепью Таблица ГЭСН 29-01-061 Разработка средней штроссы (ядра) Таблица ГЭСН 29-01-062 Разработка боковых штросс с деревянной крепью Таблица ГЭСН 29-01-063 Разработка боковых штросс без крепления Таблица ГЭСН 29-01-064 Послойная разработка ядра камер с перепуском грунта на нижележащий горизонт Таблица ГЭСН 29-01-065 Разработка лотков Таблица ГЭСН 29-01-066 Проходка камер диаметром до 6,5 м для укладки первых трех колец сборной обделки Таблица ГЭСН 29-01-067 Проходка камер диаметром более 6,5 м для укладки первых трех колец сборной обделки Таблица ГЭСН 29-01-068 Проходка нижней части тоннеля с бурением шпуров бурильными молотками при способе нижнего уступа без временных крепей Таблица ГЭСН 29-01-069 Проходка нижней части тоннеля с предварительным отколом с бурением шпуров буровыми машинами при способе нижнего уступа без временных крепей Таблица ГЭСН 29-01-070 Проходка тоннелей некругового сечения до 20 м2 способом сплошного забоя без буровых рам при монолитной обделке без временных крепей Таблица ГЭСН 29-01-071 Проходка тоннелей некругового сечения более 20 м2 способом сплошного забоя без буровых рам при монолитной обделке без временных крепей Таблица ГЭСН 29-01-072 Проходка тоннелей некругового сечения до 20 м2 способом сплошного забоя без буровых рам при монолитной обделке с устройством временной дерево металлической крепи и ее разборкой Таблица ГЭСН 29-01-073 Проходка тоннелей некругового сечения более 20 м2 способом сплошного забоя без буровых рам при монолитной обделке с устройством временной деревометаллической крепи и ее разборкой Таблица ГЭСН 29-01-074 Проходка тоннелей некругового сечения до 20 м2 способом сплошного забоя без буровых рам при монолитной обделке с устройством временной крепи при деревянной или армоцементной затяжке без разборки Таблица ГЭСН 29-01-075 Проходка тоннелей некругового сечения более 20 до 60 м2 способом сплошного забоя без буровых рам при монолитной обделке с устройством временной крепи при деревянной или армоцементной затяжке без разборки Таблица ГЭСН 29-01-076 Проходка тоннелей некругового сечения более 60 м2 способом сплошного забоя без буровых рам при монолитной обделке с устройством временной крепи при деревянной или армоцементной затяжке без разборки Таблица ГЭСН 29-01-077 Проходка тоннелей кругового сечения диаметром до 5 м способом сплошного забоя при сборной обделке без передовой штольни Таблица ГЭСН 29-01-078 Проходка тоннелей кругового сечения диаметром более 5 до 6 м способом сплошного забоя при сборной обделке Таблица ГЭСН 29-01-079 Проходка тоннелей кругового сечения диаметром более 6 м способом сплошного забоя при сборной обделке Таблица ГЭСН 29-01-080 Проходка тоннелей комплексом АБТ-5,5 способом сплошного забоя при сборной обделке Таблица ГЭСН 29-01-081 Вводе забой и вывод из забоя немеханизированного щита Таблица ГЭСН 29-01-082 Проходка тоннелей диаметром более 2 до 4 м немеханизированными щитами без передовой штольни (глухим забоем) Таблица ГЭСН 29-01-083 Проходка тоннелей диаметром более 4 до 6 м немеханизированными щитами без передовой штольни (глухим забоем) Таблица ГЭСН 29-01-084 Проходка тоннелей диаметром более 6 м немеханизированными щитами без передовой штольни (глухим забоем) Таблица ГЭСН 29-01-085 Проходка тоннелей диаметром 5,5 и 8,5 м немеханизированными щитами в замороженных грунтах без передовой штольни (глухим забоем) Таблица ГЭСН 29-01-086 Проходка тоннелей диаметром до 6 м немеханизированными щитами с передовой штольней Таблица ГЭСН 29-01-087 Проходка тоннелей диаметром более 6 м немеханизированными щитами с передовой штольней Таблица ГЭСН 29-01-088 Проходка тоннелей диаметром до 6 м механизированными щитами Таблица ГЭСН 29-01-089 Проходка тоннелей немеханизированными щитами диаметром до 6 м с горизонтальными площадками в грунтах 1 группы Таблица ГЭСН 29-01-090 Проходка тоннелей диаметром 5,2 м проходческим комплексом ТЩБ с возведением монолитно-прессованной обделки Таблица ГЭСН 29-01-091 Расширение сечения тоннеля при проходке методом пилот-тоннеля Подраздел 1.4. Проходка наклонных и восстающих выработок Таблица ГЭСН 29-01-101 Проходка фурнелей с креплением деревянной крепью Таблица ГЭСН 29-01-102 Проходка эскалаторных тоннелей диаметром до 8,5 м при сборной обделке Таблица ГЭСН 29-01-103 Проходка наклонных тоннелей сверху вниз с углом наклона более 13 до 30 град. способом сплошного забоя без временных крепей при монолитной обделке Таблица ГЭСН 29-01-104 Проходка наклонных тоннелей сверху вниз с углом наклона более 31 до 45 град. способом сплошного забоя без временных крепей при монолитной обделке Таблица ГЭСН 29-01-105 Проходка наклонных тоннелей сверху вниз с углом наклона более 45 град, способом сплошного забоя без временных крепей при монолитной обделке Таблица ГЭСН 29-01-106 Проходка наклонных тоннелей сечением до 20 м2 снизу вверх способом сплошного забоя без временных крепей Таблица ГЭСН 29-01-107 Расширение сечения наклонных тоннелей при проходке с передовой выработкой Таблица ГЭСН 29-01-108 Проходка восстающих выработок с углом наклона более 61 до 90 град, комплексом КПВ-1 Таблица ГЭСН 29-01-109 Проходка наклонных выработок с углом наклона более 31 до 45 град, комплексом КПН-1 Таблица ГЭСН 29-01-110 Проходка наклонных выработок с углом наклона более 46 до 60 град, комплексом КПН-1 Подраздел 1.5. Устройство анкерных крепей Таблица ГЭСН 29-01-120 Установка стальных анкеров длиной 1,5 м при бурении шпуров бурильными молотками Таблица ГЭСН 29-01-121 Установка стальных сеток при анкерном креплении подземных выработок Таблица ГЭСН 29-01-122 Установка стальных подхватов при анкерном креплении подземных выработок Таблица ГЭСН 29-01-123 Добавлять при длине стального анкера более 1,5 м или исключать при длине стального анкера менее 1,5 м на каждые 0,5 м к нормам таблицы 29-01-120 Таблица ГЭСН 29-01-124 Установка железобетонных анкеров длиной 1,5 м при бурении шпуров бурильными молотками Таблица ГЭСН 29-01-125 Добавлять при длине железобетонного анкера более 1,5 м или исключать при длине железобетонного анкера менее 1,5 м на каждые 0,5 м к нормам таблицы 29-01-124 Таблица ГЭСН 29-01-126 Установка стальных и железобетонных анкеров длиной 1,5 м в подземных выработках при бурении шпуров самоходными бурильными установками Таблица ГЭСН 29-01-127 Добавлять при длине анкера более 1,5 м или исключать при длине анкера менее 1,5 м к нормам таблицы 29-01-126 Подраздел 1.6. Устройство обделок Таблица ГЭСН 29-01-137 Устройство монолитной бетонной обделки шахтных стволов диаметром до 12 м Таблица ГЭСН 29-01-138 Устройство монолитной бетонной обделки толщиной до 50 см шахтных стволов диаметром более 12 м Таблица ГЭСН 29-01-139 Устройство монолитной бетонной обделки толщиной более 50 см шахтных стволов диаметром более 12 м Таблица ГЭСН 29-01-140 Устройство монолитных бетонных сводов при толщине в замке до 80 см Таблица ГЭСН 29-01-141 Устройство монолитных бетонных сводов при толщине в замке более 80 см Таблица ГЭСН 29-01-142 Устройство монолитных бетонных лотков (обратных сводов) Таблица ГЭСН 29-01-143 Устройство монолитных бетонных стен толщиной до 100 см Таблица ГЭСН 29-01-144 Устройство монолитных бетонных стен толщиной более 100 см Таблица ГЭСН 29-01-145 Устройство монолитных бетонных обделок подземных помещений ГЭС Таблица ГЭСН 29-01-146 Устройство монолитной бетонной обделки свода и стен тоннелей, разработанных на полный профиль, с передвижной металлической опалубкой Таблица ГЭСН 29-01-147 Устройство монолитных бетонных обделок свода и стен тоннелей, разработанных на полный профиль, с переставной металлической опалубкой Таблица ГЭСН 29-01-148 Устройство монолитной железобетонной обделки ходков и станционных проемов Таблица ГЭСН 29-01-149 Устройство монолитной бетонной обделки штолен Таблица ГЭСН 29-01-150 Устройство монолитно-прессованной обделки тоннелей Таблица ГЭСН 29-01-151 Устройство набрызг-бетонной обделки Таблица ГЭСН 29-01-152 Установка арматуры и каркасов арматурных при устройстве монолитных железобетонных обделок Таблица ГЭСН 29-01-153 Устройство обделки шахтных стволов диаметром более 4 м из железобетонных тюбингов Таблица ГЭСН 29-01-154 Устройство обделки шахтных стволов диаметром более 4 м из чугунных тюбингов Таблица ГЭСН 29-01-155 Устройство сборной железобетонной обделки тоннелей с помощью механических укладчиков или лебедок Таблица ГЭСН 29-01-156 Устройство сборной железобетонной обделки дренажных лотков Таблица ГЭСН 29-01-157 Укладка сборной чугунной обделки из тюбингов с помощью механических укладчиков или лебедок с применением болтов со сферическими шайбами Таблица ГЭСН 29-01-158 Укладка сборной чугунной обделки тоннелей из тюбингов с помощью механических укладчиков или лебедок с применением болтов с плоскими шайбами Таблица ГЭСН 29-01-159 Сборка обделки из керамических блоков в тоннелях диаметром 2 м Таблица ГЭСН 29-01-160 Разборка сборной обделки Таблица ГЭСН 29-01-161 Разборка лебедками сборной железобетонной обделки при устройстве проемов в перегонных тоннелях Таблица ГЭСН 29-01-162 Торкретирование Таблица ГЭСН 29-01-163 Чеканка расширяющимся цементом швов сборной обделки Таблица ГЭСН 29-01-164 Чеканка свинцовой проволокой швов сборной обделки из чугунных тюбингов Таблица ГЭСН 29-01-165 Заделка цементом швов сборной железобетонной обделки в тоннелях диаметром до 4 м Таблица ГЭСН 29-01-166 Заделка цементом швов сборной керамической обделки в тоннелях диаметром до 2 м Подраздел 1.7. Устройство гидроизоляции Таблица ГЭСН 29-01-176 Укладка бетона за металлическую гидроизоляцию тоннелей Таблица ГЭСН 29-01-177 Железобетонные гидроизоляционные обоймы (рубашки). Бетонное заполнение в подземных сооружениях Таблица ГЭСН 29-01-178 Оклеечная гидроизоляция Таблица ГЭСН 29-01-179 Соединение оклеечной гидроизоляции с тюбинговой обделкой. Гидроизоляционные работы при укладке опорных тюбингов на бетонное основание Таблица ГЭСН 29-01-180 Устройство зонтов Таблица ГЭСН 29-01-181 Устройство металлической гидроизоляции Таблица ГЭСН 29-01-182 Испытание металлической гидроизоляции Таблица ГЭСН 29-01-183 Устройство обмазочной гидроизоляции железобетонных и керамических блоков Подраздел 1.8. Нагнетание раствора за обделки Таблица ГЭСН 29-01-193 Первичное нагнетание раствора за монолитную бетонную и железобетонную обделки тоннелей и шахтных стволов Таблица ГЭСН 29-01-194 Первичное нагнетание раствора за сборную обделку шахтных стволов Таблица ГЭСН 29-01-195 Первичное нагнетание раствора за сборную обделку тоннелей, сооружаемых без щита, при притоке воды в забое до 5 м3/ч Таблица ГЭСН 29-01-196 Первичное нагнетание раствора за сборную обделку тоннелей, сооружаемых без щита, при притоке воды в забое более 5 м3/ч Таблица ГЭСН 29-01-197 Первичное нагнетание раствора за сборную обделку тоннелей, сооружаемых щитами, при необводненных забоях или при притоке воды в забое до 5 м3/ч Таблица ГЭСН 29-01-198 Первичное нагнетание раствора за сборную обделку тоннелей, сооружаемых щитами, при притоке воды в забое более 5 м3/ч Таблица ГЭСН 29-01-199 Контрольное нагнетание для всех видов обделки Подраздел 1.9. Устройство внутренних конструкций Таблица ГЭСН 29-01-209 Устройство из монолитного железобетона платформ, перекрытий и упоров Таблица ГЭСН 29-01-210 Устройство из сборного железобетона платформ, перекрытий. Покрытие водоотводных канав железобетонными плитами Таблица ГЭСН 29-01-211 Устройство перекрытий из асбестоцементных плит на стальном каркасе Таблица ГЭСН 29-01-212 Устройство путевых стен из кабельных блоков Таблица ГЭСН 29-01-213 Устройство монолитных железобетонных перегородок, перемычек, фундаментов Таблица ГЭСН 29-01-214 Устройство из сборного железобетона цоколя путевой стены станции, ступеней и фундаментов Таблица ГЭСН 29-01-215 Устройство перегородок из асбестоцементных плит по металлическому каркасу из угловой стали Таблица ГЭСН 29-01-216 Устройство монолитных лестниц и площадок Таблица ГЭСН 29-01-217 Устройство бетонных лестниц на стальных косоурах Таблица ГЭСН 29-01-218 Устройство стальных лестниц в тоннелях Таблица ГЭСН 29-01-219 Укладка асбестоцементных труб Таблица ГЭСН 29-01-220 Затирка бетонных поверхностей Подраздел 1.10. Прочие работы Таблица ГЭСН 29-01-230 Установка и разборка промежуточных деревянных рам Таблица ГЭСН 29-01-231 Установка и разборка промежуточных металлических рам Таблица ГЭСН 29-01-232 Установка и разборка забивного посада при проходке тоннелей в неустойчивых грунтах Таблица ГЭСН 29-01-233 Устройство водоотводных канав без крепей Таблица ГЭСН 29-01-234 Устройство водоотводных канав с крепями Таблица ГЭСН 29-01-235 Установка промежуточных металлических арок при деревянной затяжке Таблица ГЭСН 29-01-236 Проходка проемов станционных тоннелей Таблица ГЭСН 29-01-237 Прием и выгрузка грунта на эстакаде Таблица ГЭСН 29-01-238 Сооружение и разломка кессонного перекрытия из монолитного железобетона при проходке шахтных стволов Таблица ГЭСН 29-01-239 Устройство железобетонного днища в шахтных стволах Таблица ГЭСН 29-01-240 Устройство железобетонных сопряжений колодца с коллектором Таблица ГЭСН 29-01-241 Установка опорных металлических башмаков, стальных колонн, устройство металлического обрамления проходов Таблица ГЭСН 29-01-242 Устройство цементной стяжки толщиной 20 мм по изоляции сводов для тоннелей малого диаметра Таблица ГЭСН 29-01-243 Закладка выработок бутовым камнем Таблица ГЭСН 29-01-244 Пробивка в бетоне гнезд Таблица ГЭСН 29-01-245 Устройство бетонной пробки в гидротехнических тоннелях Таблица ГЭСН 29-01-246 Укладка в тоннелях малого диаметра железобетонных раструбных труб Таблица ГЭСН 29-01-247 Укладка в тоннелях малого диаметра чугунных труб Таблица ГЭСН 29-01-248 Укладка в тоннелях малого диаметра стальных труб Таблица ГЭСН 29-01-249 Укладка в тоннелях малого диаметра асбестоцементных безнапорных труб Таблица ГЭСН 29-01-250 Укладка в тоннелях малого диаметра керамических труб Таблица ГЭСН 29-01-251 Устройство бетонного основания под трубопроводы в тоннелях Таблица ГЭСН 29-01-252 Заполнение пространства между тоннелем и трубопроводом Таблица ГЭСН 29-01-253 Установка гильз из стальных труб Таблица ГЭСН 29-01-254 Установка металлических закладных деталей Таблица ГЭСН 29-01-255 Укладка и разборка монтажных балок в щитовых камерах Таблица ГЭСН 29-01-256 Устройство и разборка стяжек в тоннелях Таблица ГЭСН 29-01-257 Разломка стен и массивов из монолитного бетона и железобетона в подземных сооружениях Таблица ГЭСН 29-01-258 Разломка массивов из бутового камня и кирпича в подземных сооружениях Таблица ГЭСН 29-01-259 Засыпка шахтных стволов Таблица ГЭСН 29-01-260 Засыпка фунтом пазух шахтных стволов Раздел 2. Открытый способ работ Техническая часть 1. Общие указания 2. Правила исчисления объемов работ Подраздел 2.1. Крепление котлованов Таблица ГЭСН 29-02-001 Погружение и извлечение одиночных свай для крепления котлована Таблица ГЭСН 29-02-002 Установка стальных расстрелов Таблица ГЭСН 29-02-003 Установка стальных продольных связей Таблица ГЭСН 29-02-004 Установка деревянных расстрелов Таблица ГЭСН 29-02-005 Устройство забирки Таблица ГЭСН 29-02-006 Снятие стальных расстрелов Таблица ГЭСН 29-02-007 Снятие продольных связей Таблица ГЭСН 29-02-008 Снятие деревянных расстрелов и элементов крепления Таблица ГЭСН 29-02-010 Сооружение пионерной траншеи с использованием стальной опалубки Подраздел 2.2. Земляные работы Таблица ГЭСН 29-02-018 Разработка грунта в котлованах со свайным креплением Таблица ГЭСН 29-02-019 Разработка грунта в котлованах с откосами Таблица ГЭСН 29-02-020 Разработка грунта на временном отвале для обратной засыпки Таблица ГЭСН 29-02-021 Разработка грунта, находящегося на расстоянии до 5 м от подвешенных коммуникаций Таблица ГЭСН 29-02-022 Разработка грунта в котлованах при сооружении камер со свайным креплением глубиной до 18-20 м Таблица ГЭСН 29-02-023 Разработка грунта в торцах котлована со свайным креплением стен Таблица ГЭСН 29-02-024 Разработка котлованов под перекрытия тоннелей Таблица ГЭСН 29-02-025 Разработка ранее замороженного грунта при проходке наклонного тоннеля Таблица ГЭСН 29-02-026 Обратная засыпка котлована Таблица ГЭСН 29-02-027 Разбивка железобетонных конструкций экскаватором с гидромолотом с погрузкой в автомобили-самосвалы Подраздел 2.3. Монолитные бетонные и железобетонные конструкции Таблица ГЭСН 29-02-034 Монолитные бетонные и железобетонные прогоны, плиты и лотки тоннелей и фундаменты под оборудование Таблица ГЭСН 29-02-035 Монолитные, бетонные и железобетонные боковые стены Таблица ГЭСН 29-02-036 Монолитные бетонные и железобетонные средние стены Таблица ГЭСН 29-02-037 Монолитные перекрытия тоннелей Таблица ГЭСН 29-02-038 Устройство монолитных железобетонных платформ Таблица ГЭСН 29-02-044 Бетонирование разрывов между блоками в лотке Таблица ГЭСН 29-02-045 Устройство армокирпичных перегородок Подраздел 2.4. Сборные железобетонные конструкции Таблица ГЭСН 29-02-050 Сборные конструкции тоннелей и станций, сооружаемых открытым способом Подраздел 2.5. Гидроизоляционные работы Таблица ГЭСН 29-02-053 Устройство наружной оклеенной гидроизоляции стен Таблица ГЭСН 29-02-054 Устройство наружной оклеенной гидроизоляции перекрытий Таблица ГЭСН 29-02-055 Устройство наружной оклеенной гидроизоляции лотков Таблица ГЭСН 29-02-056 Устройство наружной гидроизоляции стен из наплавляемых материалов Таблица ГЭСН 29-02-057 Устройство наружной гидроизоляции перекрытий из наплавляемых материалов Таблица ГЭСН 29-02-058 Устройство наружной гидроизоляции лотков из наплавляемых материалов Таблица ГЭСН 29-02-059 Устройство обмазочной гидроизоляции Таблица ГЭСН 29-02-060 Устройство теплоизоляции перекрытий тоннелей мелкого заложения Подраздел 2.6. Прочие работы Таблица ГЭСН 29-02-065 Устройство путевой стены из кабельных блоков Таблица ГЭСН 29-02-066 Заливка вручную цементным раствором 1:3 зазора между стеновыми блоками и гидроизоляцией Таблица ГЭСН 29-02-067 Чеканка фибробетоном стыков между колоннами и прогонами Раздел 3. Устройство пути Техническая часть 1. Общие указания 2. Правила исчисления объемов работ Подраздел 3.1. Устройство пути в тоннеле Таблица ГЭСН 29-03-001 Укладка пути в тоннелях и на смотровых канавах Таблица ГЭСН 29-03-002 Подъем, рихтовка, раскрепление пути в тоннеле Таблица ГЭСН 29-03-003 Бетонирование пути в тоннеле Таблица ГЭСН 29-03-004 Балластировка пути в тоннеле Таблица ГЭСН 29-03-005 Укладка и балластировка стрелочных переводов в тоннеле Таблица ГЭСН 29-03-006 Укладка и балластировка перекрестного съезда в тоннеле Таблица ГЭСН 29-03-007 Устройство рельсовых упоров в тоннеле Таблица ГЭСН 29-03-008 Отделка пути в тоннеле Таблица ГЭСН 29-03-009 Отделка стрелочных переводов М1:9 в тоннеле Таблица ГЭСН 29-03-010 Отделка перекрестных съездов М2:9 в тоннеле Таблица ГЭСН 29-03-011 Послеосадочный ремонт пути в тоннеле Таблица ГЭСН 29-03-012 Послеосадочный ремонт стрелочных переводов М1:9 в тоннеле Таблица ГЭСН 29-03-013 Послеосадочный ремонт перекрестных съездов М2:9 в тоннеле Таблица ГЭСН 29-03-014 Устройство специальных конструкций пути в тоннеле Таблица ГЭСН 29-03-015 Устройство изолируемых стыков на накладках АпАТэК при устройстве пути в тоннеле Таблица ГЭСН 29-03-016 Установка дополнительных кронштейнов контактного рельса в местах температурных стыков при устройстве пути в тоннеле Таблица ГЭСН 29-03-017 Устройство уплотнения рельсов в тоннеле Таблица ГЭСН 29-03-018 Вырезка средней части шпалы постоянных путей в тоннеле Таблица ГЭСН 29-03-019 Приварка стыков электросоединителей при устройстве пути в тоннеле Таблица ГЭСН 29-03-020 Установка путевых, сигнальных знаков и реперных табличек в тоннеле Таблица ГЭСН 29-03-021 Установка реперов в тоннеле Таблица ГЭСН 29-03-022 Установка контактного рельса сварными плетями в тоннеле Таблица ГЭСН 29-03-023 Установка концевых отводов при устройстве пути в тоннеле Таблица ГЭСН 29-03-024 Отделка контактного рельса в тоннеле Таблица ГЭСН 29-03-025 Отделка концевых отводов при устройстве пути в тоннеле Таблица ГЭСН 29-03-026 Покилометровый запас укладочных материалов и деталей при устройстве пути в тоннеле Таблица ГЭСН 29-03-027 Покилометровый запас укладочных материалов и деталей стрелочного перевода М1:9 при устройстве пути в тоннеле Таблица ГЭСН 29-03-028 Покилометровый запас укладочных материалов и деталей перекрестного съезда М2:9 при устройстве пути в тоннеле Подраздел 3.2 Устройство пути на поверхности Таблица ГЭСН 29-03-040 Укладка путей наземной линии в парке и на смотровых канавах в депо Таблица ГЭСН 29-03-041 Укладка и балластировка стрелочных переводов на поверхности Таблица ГЭСН 29-03-042 Укладка и балластировка перекрестных съездов на поверхности Таблица ГЭСН 29-03-043 Устройство рельсовых упоров паркового типа Таблица ГЭСН 29-03-044 Отделка пути на поверхности Таблица ГЭСН 29-03-045 Отделка стрелочных переводов на поверхности Таблица ГЭСН 29-03-046 Отделка перекрестных съездов М2:9 на поверхности Таблица ГЭСН 29-03-047 Послеосадочный ремонт пути на поверхности Таблица ГЭСН 29-03-048 Послеосадочный ремонт стрелочных переводов на поверхности Таблица ГЭСН 29-03-049 Послеосадочный ремонт перекрестных съездов М2:9 на поверхности Таблица ГЭСН 29-03-050 Устройство изолирующих стыков рельсов на поверхности Таблица ГЭСН 29-03-051 Приварка стыковых электросоединителей при устройстве пути на поверхности Таблица ГЭСН 29-03-052 Установка реперов, металлических табличек, путевых и сигнальных знаков на поверхности Таблица ГЭСН 29-03-053 Установка дополнительных кронштейнов в местах температурных стыков при устройстве пути на поверхности Таблица ГЭСН 29-03-054 Установка контактного рельса сварными плетями на главных путях наземных линий и в парке Таблица ГЭСН 29-03-055 Установка концевых отводов на главных путях наземных линий и в парке Таблица ГЭСН 29-03-056 Отделка контактного рельса на наземных линиях и парковых путях Таблица ГЭСН 29-03-057 Отделка концевых отводов на наземных линиях и парковых путях Таблица ГЭСН 29-03-059 Покилометровый запас укладочных материалов и деталей стрелочного перевода на поверхности Таблица ГЭСН 29-03-060 покилометровый запас укладочных материалов и деталей перекрестного съезда М2:9 на поверхности Раздел 4. Обслуживающие процессы Техническая часть 1. Общие указания 2. Сроки начала и конца выполнения обслуживающих процессов. Расчетное число смен 3. Коэффициенты к сметным нормам Подраздел 4.1. Подъем Таблица ГЭСН 29-04-001 Подъем шахтный клетьевой механизированный Таблица ГЭСН 29-04-002 Подъем шахтный краном Таблица ГЭСН 29-04-003 Подъем при проходке ствола Таблица ГЭСН 29-04-004 Подъем при сооружении наклонного хода Таблица ГЭСН 29-04-005 Подъем междуэтажный Таблица ГЭСН 29-04-006 Лесоспуск Таблица ГЭСН 29-04-007 Лебедки электроприводные для подвешивания полков в стволах Таблица ГЭСН 29-04-008 Толкатель вагонеток Подраздел 4.2. Водоотлив Таблица ГЭСН 29-04-012 Центральный водоотлив Таблица ГЭСН 29-04-013 Местный или промежуточный водоотлив Подраздел 4.4. Подземная механическая откатка Таблица ГЭСН 29-04-019 Подземная механическая откатка Подраздел 4.5. Освещение подземных выработок Таблица ГЭСН 29-04-022 Освещение подземных выработок Подраздел 4.6. Обслуживание тоннельных работ дежурными рабочими Таблица ГЭСН 29-04-024 Обслуживание шлюзовой перегородки при избыточном давлении Таблица ГЭСН 29-04-025 Дежурство рабочих Таблица ГЭСН 29-04-026 Содержание и обслуживание работ Подраздел 4.7. Очистка водоотводных канав и водосборника Таблица ГЭСН 29-04-029 Очистка водоотводных канав в штольнях Таблица ГЭСН 29-04-030 Очистка водосборника центральной водоотливной установки |
| Расположен в: | |
| Нормативные ссылки: |
|












































































































































































































































































































