Скачать ГЭСН 2001-04 Скважины (редакция 2008 г.). Скважины. Государственные элементные сметные нормы на строительные работыДата актуализации: 10.08.2017 ГЭСН 2001-04
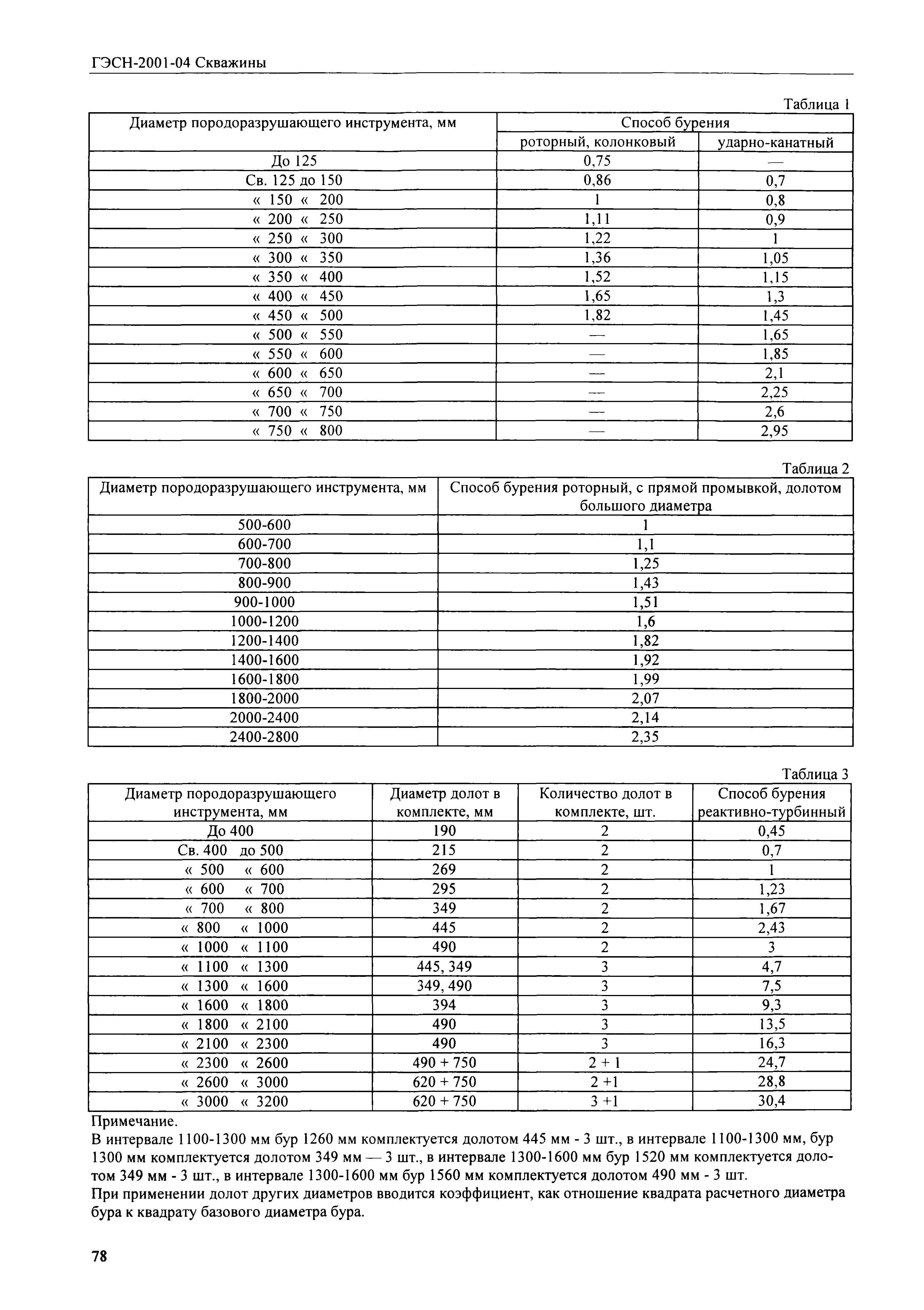
Скважины (редакция 2008 г.). Скважины. Государственные элементные сметные нормы на строительные работыОбозначение: | ГЭСН 2001-04 | Обозначение англ: | GESN 2001-04 | Статус: | не действует | Название рус.: | Скважины (редакция 2008 г.). Скважины. Государственные элементные сметные нормы на строительные работы | Дата добавления в базу: | 01.09.2013 | Дата актуализации: | 05.05.2017 | Оглавление: | Техническая часть Таблица ГЭСН 04-00-001 Нормы расхода глины и воды на 100 м бурения скважины Таблица ГЭСН 04-00-002 Нормы расхода бентонитовой глины на 100 м бурения скважины Таблица ГЭСН 04-00-003 Расход тампонажного цемента и воды при цементировании затрубного пространства скважин Таблица ГЭСН 04-00-004 Расход цемента, воды и глины при подбашмачном тампонаже скважин Таблица ГЭСН 04-00-005 Расход прочих материалов при роторном бурении скважин с прямой и обратной промывкой Таблица ГЭСН 04-00-006 Расход прочих материалов при ударно-канатном бурении скважин Таблица ГЭСН 04-00-007 Расход прочих материалов при колонковом бурении скважин станками с электродвигателем Раздел 1. Бурение скважин Подраздел 1.1 Роторное бурение Подраздел 1.2 Ударно-канатное бурение Подраздел 1.3 Колонковое бурение Подраздел 1.4 шнековое бурение Подраздел 1.5 Ударно-вращательное бурение Подраздел 1.6 Перфораторное бурение Подраздел 1.7 Прочие виды бурения Раздел 2. Крепление скважин трубами, извлечение труб, свободный спуск или подъем труб из скважины Раздел 3. Тампонажные работы Раздел 4. Установка фильтров и откачка воды из скважины Раздел 5. Сооружение шахтных колодцев Раздел 6. Прочие и специальные работы Приложение. Производственные нормы расхода материалов | Разработан: | 31 ГПИ специального строительства Минобороны ОАО Промбурвод Федеральный центр ценообразования в строительстве и промышленности строительных материалов ГП СНЦ Госэкомелиовод ИНПЦ по водному хозяйству, мелиорации и экологии Союзводпроект
| Утверждён: | 12.01.2001 Госстрой России (Russian Federation Gosstroy 7)
| Издан: | Росстрой (2008 г. )
| Расположен в: |
| Нормативные ссылки: |  Письмо СК-5236/02 «О разработке сборника "Изменения и дополнения к государственным элементным сметным нормам на строительные работы. Выпуск 3"» Письмо СК-2919/02 «Перечень сборников изменений к ГЭСН-2001, ГЭСНр-2001, ГЭСНм-2001, ГЭСНп-2001, ГЭСНмр-2001, ФЕР-2001, ФЕРр-2001, ФЕРм-2001, ФЕРп-2001, ФЕРмр-2001, ФССЦ-2001 и ФСЭМ-2001» ГЭСНм 2001-07 «Компрессорные установки, насосы и вентиляторы. Государственные элементные сметные нормы на монтаж оборудования»  СНиП 2.04.02-84* «Водоснабжение. Наружные сети и сооружения»  СНиП 3.05.04-85* «Наружные сети и сооружения водоснабжения и канализации»
|
                                                                                                   
|