| ||||||||||||||||||||||||||||||||||
Скачать СНиП II-А.6-72 Строительная климатология и геофизикаДата актуализации: 10.08.2017
|
| Обозначение: | СНиП II-А.6-72 |
| Обозначение англ: | SNIP II-А.6-72 |
| Статус: | заменен |
| Название рус.: | Строительная климатология и геофизика |
| Дата добавления в базу: | 01.09.2013 |
| Дата актуализации: | 05.05.2017 |
| Дата введения: | 01.01.1984 |
| Область применения: | В данной главе СНиП приведены основные климатические и геофизические показатели (температура и влажность наружного воздуха, повторяемость и скорость ветра, солнечная радиация, световой климат, районы распространения вечномерзлых и просадочных грунтов и т.п.), которые следует принимать при составлении схем и проектов районной планировки, проектов групп предприятий (промышленных узлов), проектов планировки и застройки населенных пунктов, при проектировании генеральных планов промышленных предприятий, при технических изысканиях, составлении паспортов площадок для строительства, а также при проектировании вновь строящихся и реконструируемых предприятий, зданий и сооружений различного назначения. |
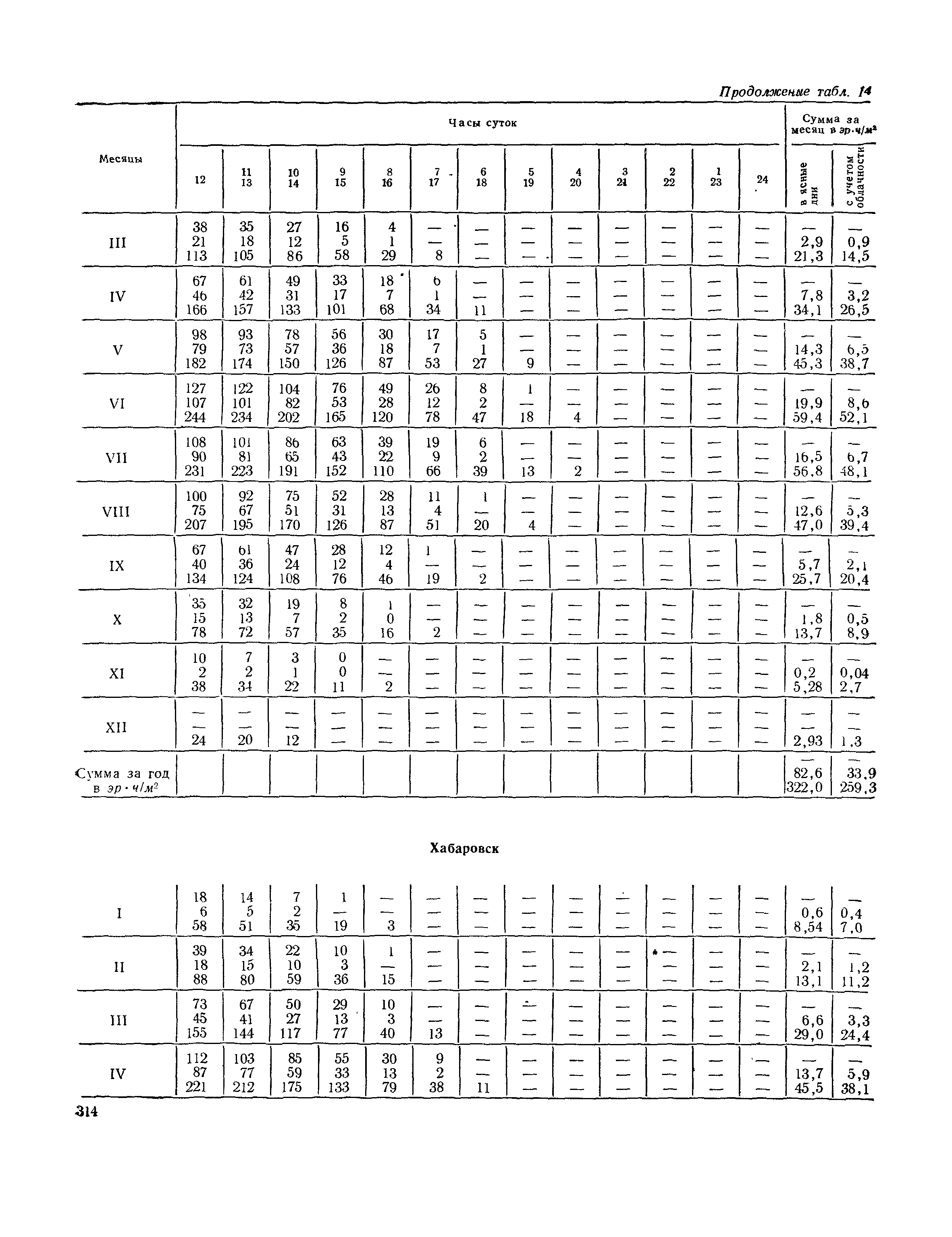
| Оглавление: | 1 Общие положения 2 Климатические показатели Температура наружного воздуха Влажность наружного воздуха Атмосферные осадки, снежный покров и глубина промерзания грунтов Повторяемость и скорость ветра Солнечная радиация Световой климат Ультрафиолетовый климат 3 Геофизические показатели Вечномерзлые и просадочные (лессовые) грунты, карсты, лавины, сели и оползни 4 Климатическое районирование территории СССР для строительства Таблица 1 Температура наружного воздуха, наличие вечномерзлого грунта Таблица 2 Средние и максимальные амплитуды суточных колебаний температуры наружного воздуха Таблица 3 Повторяемость температур наружного воздуха в часах Таблица 4 Влажность наружного воздуха Таблица 5 Атмосферные осадки и снежный покров Таблица 6 Повторяемость скорости ветра Таблица 7 Средние наибольшие и наименьшие скорости ветра Таблица 8 Количество тепла, поступающего в июле от солнечной радиации (прямой/рассеянной) на горизонтальную поверхность Таблица 9 Количество тепла, поступающего в июле от солнечной радиации (прямой/рассеянной) на вертикальные поверхности различной ориентации Таблица 10 Количество тепла, поступающего от суммарной солнечной радиации по месяцам Таблица 11 Высота солнца над горизонтом Таблица 12 Суточный ход (рассеянной/суммарной) освещенности горизонтальной поверхности Таблица 13 Относительная яркость ясного неба Таблица 14 Интенсивность ультрафиолетовой (эритемной) облученности на 15-е число Таблица 15 Продолжительность использования естественной эритемной облученности в помещении |
| Разработан: | НИИСФ (Научно-исследовательский институт строительной физики) ЦНИИпромзданий ПНИИИС ГПИ-1 Минлегпрома СССР НИИОСП Госстроя СССР |
| Утверждён: | 10.03.1972 Госстрой СССР (Государственный комитет Совета Министров СССР по делам строительства) (USSR Gosstroy ) |
| Издан: | Стройиздат (1973 г. ) |
| Расположен в: | |
| Заменяет собой: | |
| Чем заменён: |
































































































































































































































































































































