| ||||||||||||||||||||||||||||||
Скачать ТЕРрр 2001-24 СПб Художественная обработка металлических изделий гальваническим способомДата актуализации: 10.08.2017
|
| Обозначение: | ТЕРрр 2001-24 СПб |
| Обозначение англ: | 2001-24 СПб |
| Статус: | не действует |
| Название рус.: | Художественная обработка металлических изделий гальваническим способом |
| Дата добавления в базу: | 01.09.2013 |
| Дата актуализации: | 05.05.2017 |
| Область применения: | Территориальные единичные расценки для применения в Санкт-Петербурге в базисных ценах на 1 января 2000 года предназначены для определения стоимости прямых затрат при расчете сметной стоимости работ по художественной обработке металлических изделий гальваническим способом в зоне памятника истории и культуры и составления сметных расчетов (смет), а также для расчетов за выполненные ремонтно-реставрационные работы. ТЕРрр отражают средние затраты труда рабочих-реставраторов, строительных машин и механизмов, технологию и организацию по видам реставрационных работ. ТЕРрр обязательны для применения всеми предприятиями и организациями, независимо от их принадлежности и форм собственности, осуществляющими ремонтно-реставрационные работы с привлечением средств государственного бюджета всех уровней и целевых внебюджетных фондов. |
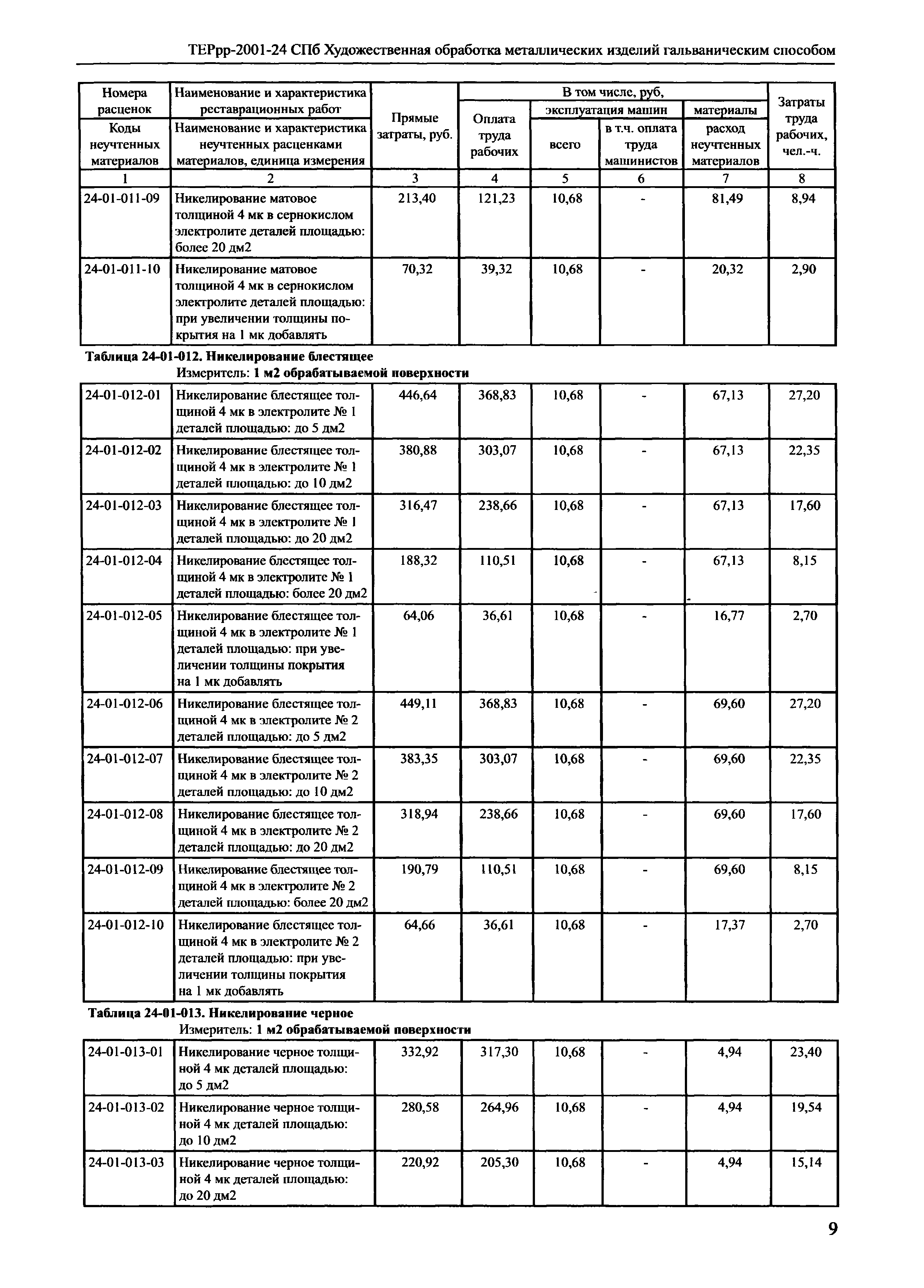
| Оглавление: | Техническая часть 01. Подготовка поверхности основного металла 02. Гальванопокрытия 03. Дополнительная обработка Приложение 1 |
| Разработан: | Государственное учреждение Центр мониторинга и экспертизы цен |
| Утверждён: | 25.04.2003 Комитет экономического развития, промышленной политики и торговли Администрации Санкт-Петербурга (16-р) |
| Издан: | СПб ГУ Центр мониторинга и экспертизы цен (2009 г. ) |
| Расположен в: | |
| Заменяет собой: |
|
























