Скачать ТЕРрр 2001-17 СПб Чеканные, выколотые и давильные работыДата актуализации: 10.08.2017 ТЕРрр 2001-17 СПб
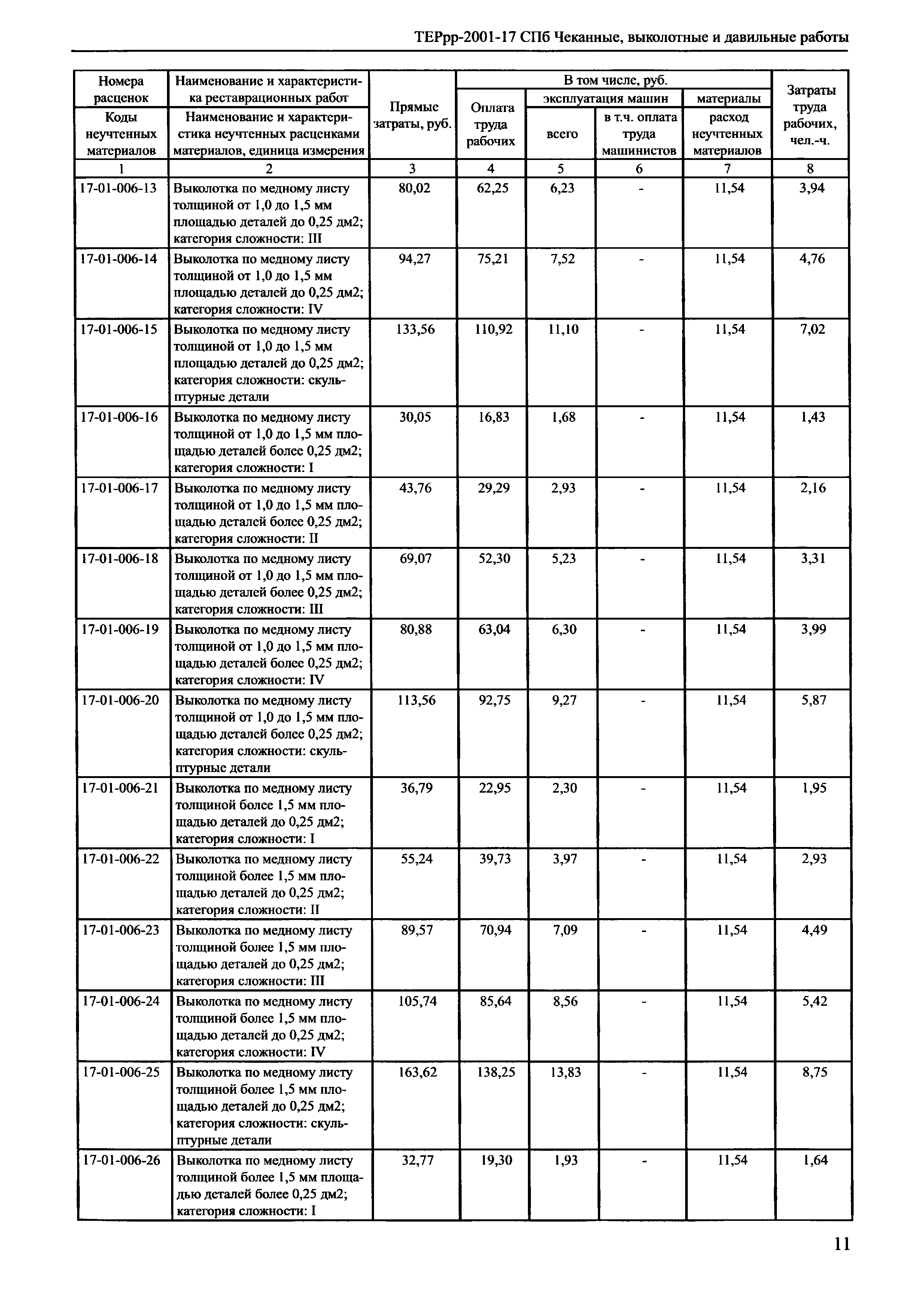
Чеканные, выколотые и давильные работы| Обозначение: | ТЕРрр 2001-17 СПб | | Обозначение англ: | 2001-17 СПб | | Статус: | не действует | | Название рус.: | Чеканные, выколотые и давильные работы | | Дата добавления в базу: | 01.09.2013 | | Дата актуализации: | 05.05.2017 | | Область применения: | Территориальные единичные расценки для применения в Санкт-Петербурге в базисных ценах на 1 января 2000 года предназначены для определения стоимости прямых затрат при расчете сметной стоимости работ на чеканные, выколотые и давильные работы в зоне памятника истории и культуры и составления сметных расчетов (смет), а также для расчетов за выполненные ремонтно-реставрационные работы. ТЕРрр отражают средние затраты труда рабочих-реставраторов, строительных машин и механизмов, технологию и организацию по видам реставрационных работ. ТЕРрр обязательны для применения всеми предприятиями и организациями, независимо от их принадлежности и форм собственности, осуществляющими ремонтно-реставрационные работы с привлечением средств государственного бюджета всех уровней и целевых внебюджетных фондов. | | Оглавление: | Техническая часть Приложение 1 | | Разработан: | Государственное учреждение Центр мониторинга и экспертизы цен
| | Утверждён: | 25.04.2003 Комитет экономического развития, промышленной политики и торговли Администрации Санкт-Петербурга (16-р)
| | Издан: | СПб ГУ Центр мониторинга и экспертизы цен (2009 г. )
| | Расположен в: |
| | Заменяет собой: | - ТЕРрр 2001 «Территориальные единичные расценки на ремонтно-реставрационные работы» (Администрация Санкт-Петербурга/Санкт-Петербург, 2001 г.)
|
                           
|