| ||||||||||||||||||||||||||||||||
Скачать ФЕР 81-02-Пр(1)-2001 Приложения. Книга 1 (редакция 2008 года). Приложения. Федеральные единичные расценки на строительные работыДата актуализации: 10.08.2017
|
| Обозначение: | ФЕР 81-02-Пр(1)-2001 |
| Обозначение англ: | FER 81-02-Пр(1)-2001 |
| Статус: | утратил силу |
| Название рус.: | Приложения. Книга 1 (редакция 2008 года). Приложения. Федеральные единичные расценки на строительные работы |
| Дата добавления в базу: | 01.09.2013 |
| Дата актуализации: | 05.05.2017 |
| Дата введения: | 11.10.2013 |
| Область применения: | Федеральные единичные расценки на строительные и специальные строительные работы предназначены для определения затрат при выполнении строительных работ и составления на их основе сметных расчетов (смет) на производство указанных работ. |
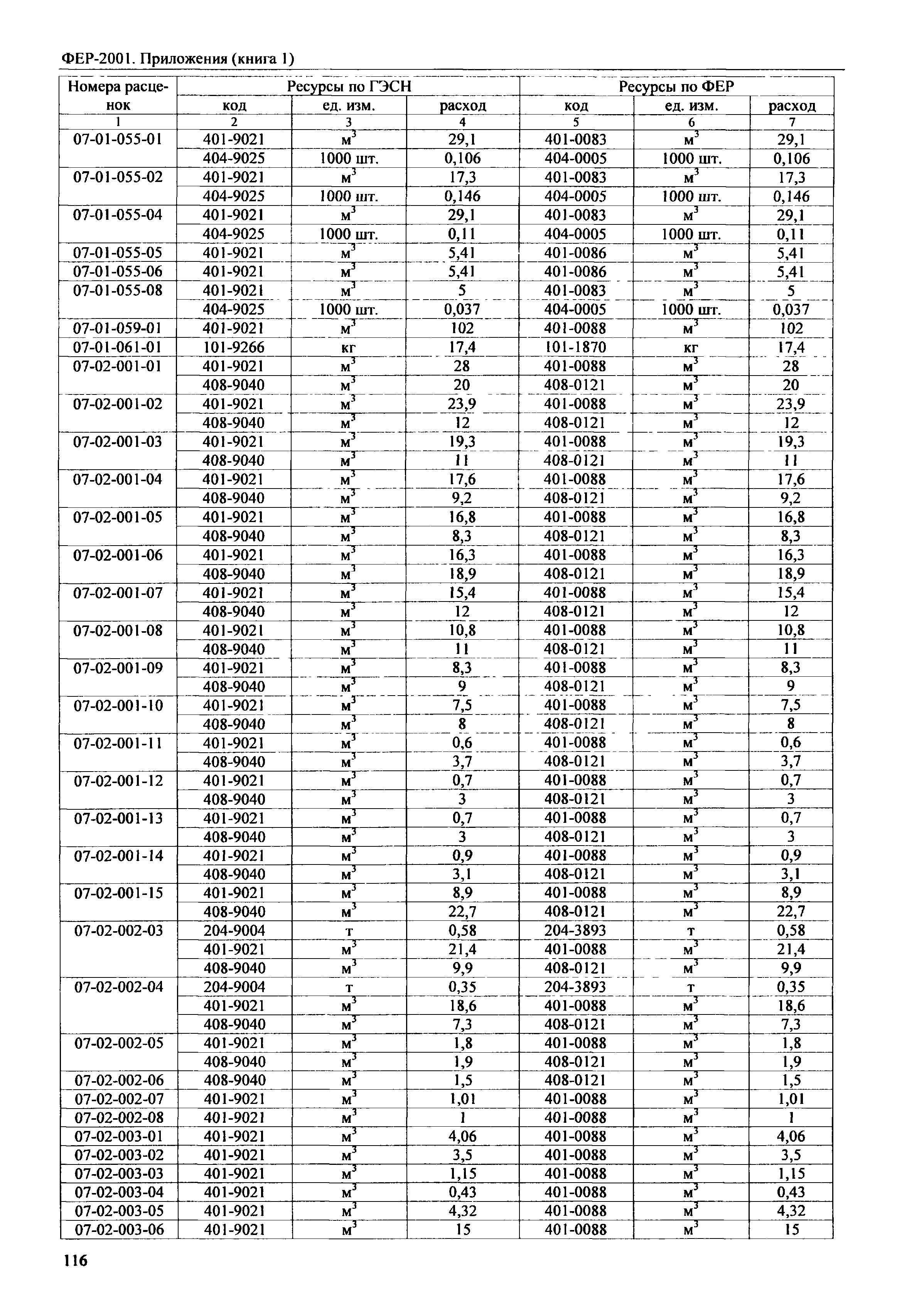
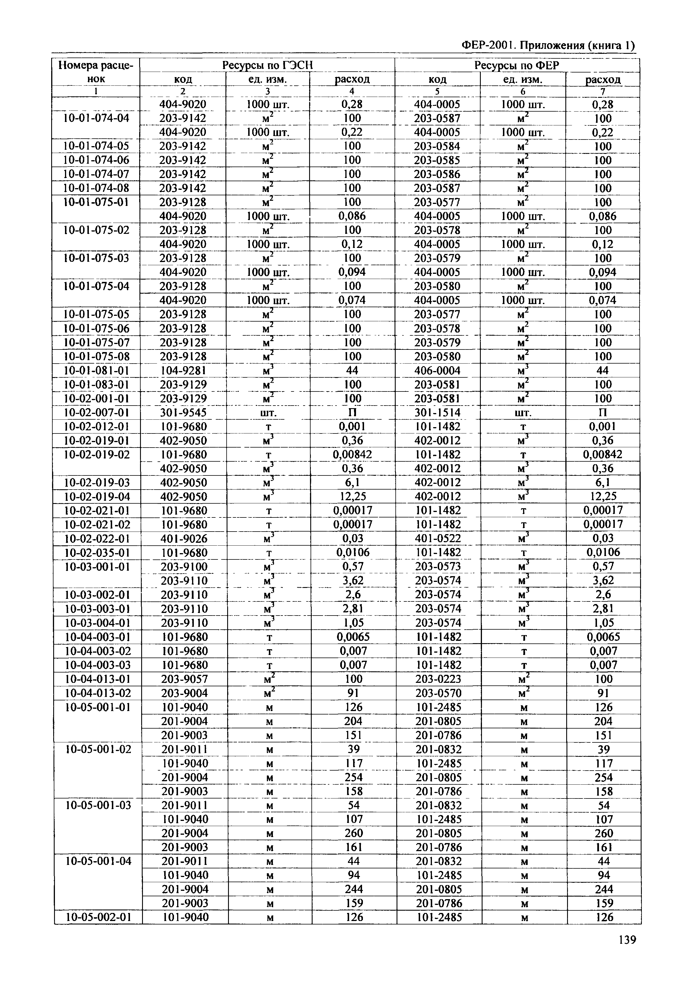
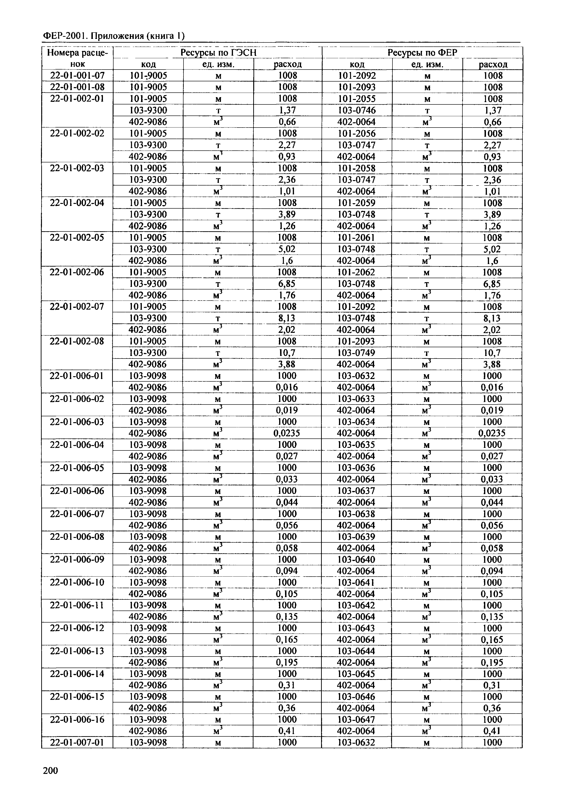
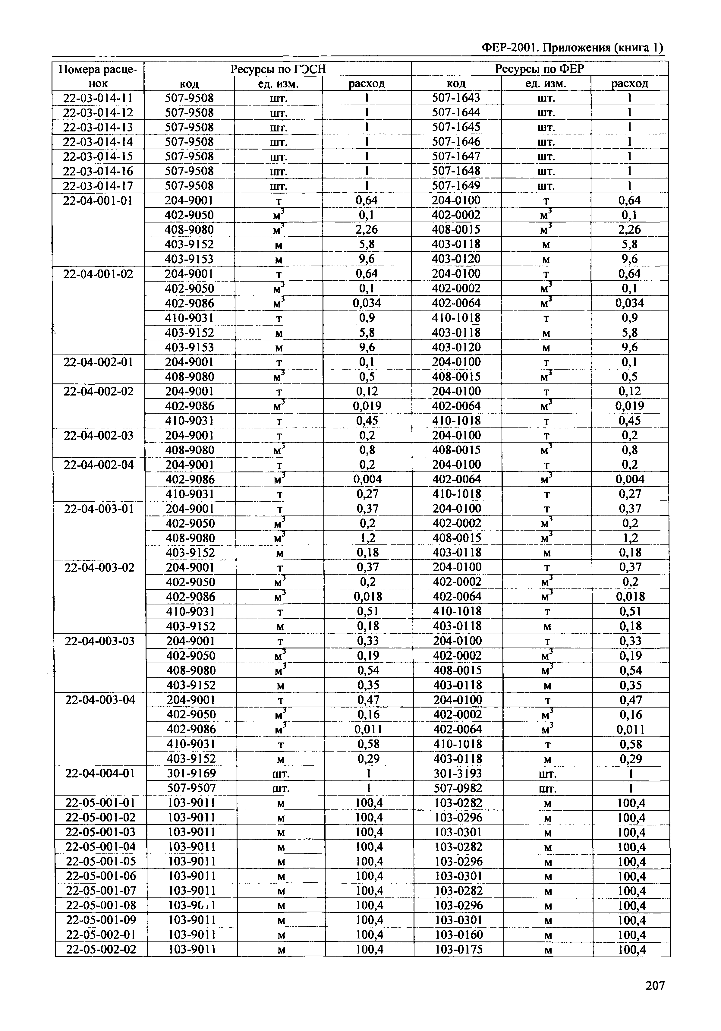
| Оглавление: | Земляные работы Горно-вскрышные работы Буровзрывные работы Скважины Свайные работы, опускные колодцы, закрепление грунтов Бетонные и железобетонные конструкции монолитные Бетонные и железобетонные конструкции сборные Конструкции из кирпича и блоков Строительные металлические конструкции Деревянные конструкции Полы Кровли Защита строительных конструкций и оборудования от коррозии Конструкции в сельском хозяйстве Отделочные работы Трубопроводы внутренние Водопровод и канализация - внутренние устройства Отопление - внутренние устройства Газоснабжение - внутренние устройства Вентиляция и кондиционирование воздуха Временные сборно-разборные здания и сооружения Водопровод - наружные сети Канализация - наружные сети Теплоснабжение и газопроводы - наружные сети Теплоизоляционные работы Автомобильные дороги |
| Разработан: | Федеральный центр ценообразования в строительстве и промышленности строительных материалов |
| Утверждён: | 17.11.2008 Министерство регионального развития Российской Федерации (253) |
| Издан: | ФГУ Федеральный центр ценообразования в строительстве и промышленности строительных материалов (2009 г. ) |
| Расположен в: | |
| Список изменений: |
|































































































































































































































































Текстовое изменение № И6 от 29.12.2011








