| ||||||||||||||||||||||||||||||||||
Скачать ГОСТ Р 52976-2008 Информатизация здоровья. Состав первичных данных медицинской статистики лечебно-профилактического учреждения для электронного обмена этими данными. Общие требованияДата актуализации: 10.08.2017
|
| Обозначение: | ГОСТ Р 52976-2008 |
| Обозначение англ: | GOST R 52976-2008 |
| Статус: | действует |
| Название рус.: | Информатизация здоровья. Состав первичных данных медицинской статистики лечебно-профилактического учреждения для электронного обмена этими данными. Общие требования |
| Название англ.: | Health informatics. First database structure of medical statistics of medical entity for electronic exchange of these data. General requirements |
| Дата добавления в базу: | 01.09.2013 |
| Дата актуализации: | 05.05.2017 |
| Дата введения: | 01.05.2009 |
| Область применения: | Стандарт устанавливает общие требования к составу данных медицинской статистики лечебно-профилактического учреждения для обеспечения электронного обмена этими данными при информационном взаимодействии автоматизированных информационных систем. Стандарт распространяется на автоматизированные информационные системы, формирующие или использующие данные медицинской статистики лечебно-профилактического учреждения. Понятие электронного обмена используется с целью распространения области применения стандарта только на данные медицинской статистики лечебно-профилактического учреждения, используемые для взаимодействия автоматизированных информационных систем. |
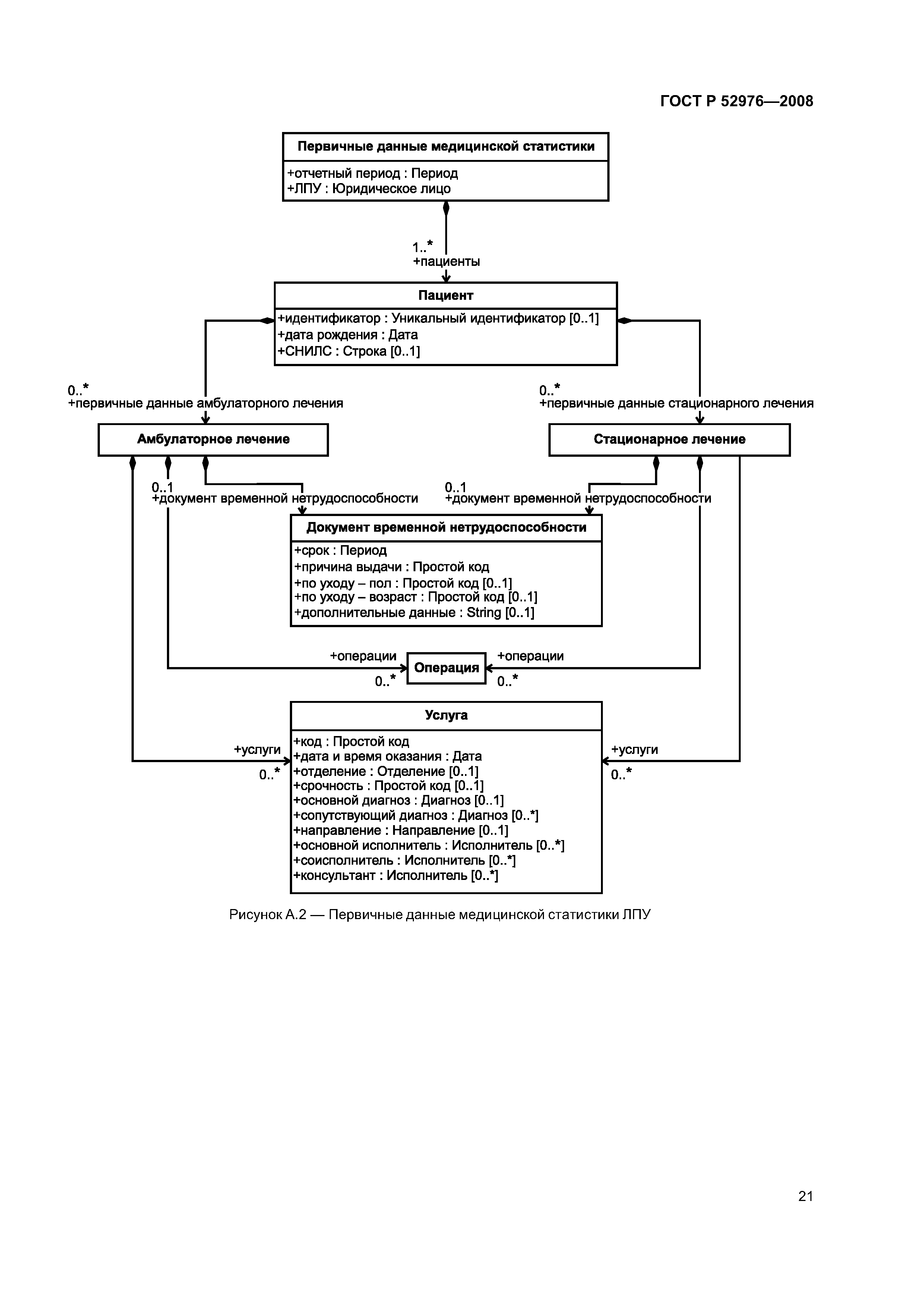
| Оглавление: | 1 Область применения 2 Нормативные ссылки 3 Термины, определения и сокращения 4 Общие требования Приложение А (справочное) Диаграммы классов информационных объектов на унифицированном языке моделирования UML Библиография |
| Разработан: | Некоммерческое партнерство Ассоциация медицинской информатики ФГУ ЦНИИ организации и информатизации здравоохранения Федерального агентства по здравоохранению и социальному развитию |
| Утверждён: | 13.10.2008 Федеральное агентство по техническому регулированию и метрологии (239-ст) |
| Издан: | Стандартинформ (2009 г. ) |
| Расположен в: | |
| Нормативные ссылки: |
|


























