Информационная система
«Ёшкин Кот»

Скачать базу одним архивом
Скачать обновления
История создания базы
Карта сайта

Скачать ГОСТ Р ИСО 10014-2008 Менеджмент организации. Руководящие указания по достижению экономического эффекта в системе менеджмента качества

Дата актуализации: 10.08.2017

ГОСТ Р ИСО 10014-2008

Менеджмент организации. Руководящие указания по достижению экономического эффекта в системе менеджмента качества

Обозначение: ГОСТ Р ИСО 10014-2008
Обозначение англ: GOST R ISO 10014-2008
Статус:действует
Название рус.:Менеджмент организации. Руководящие указания по достижению экономического эффекта в системе менеджмента качества
Название англ.:Enterprise management. Guidelines for realizing economic benefits by quality management systems
Дата добавления в базу:01.09.2013
Дата актуализации:05.05.2017
Дата введения:01.12.2009
Область применения:Стандарт содержит руководящие указания по достижению экономического эффекта от применения принципов менеджмента качества, установленных ИСО 9000. Стандарт, дополняющий требования ИСО 9004, предназначен для высшего руководства организации. Стандарт содержит примеры достижимых результатов и необходимых для их получения методов и инструментов менеджмента. Стандарт содержит руководящие указания и рекомендации и не предназначен для целей сертификации и/или использования в договорах.
Оглавление:1 Область применения
2 Нормативные ссылки
3 Термины и определения
4 Структура стандарта
5 Применение принципов менеджмента
   5.1 Ориентация на потребителя
   5.2 Лидерство руководителя
   5.3 Вовлечение работников
   5.4 Процессный подход
   5.5 Системный подход
   5.6 Постоянное улучшение
   5.7 Принятие решений, основанное на фактах
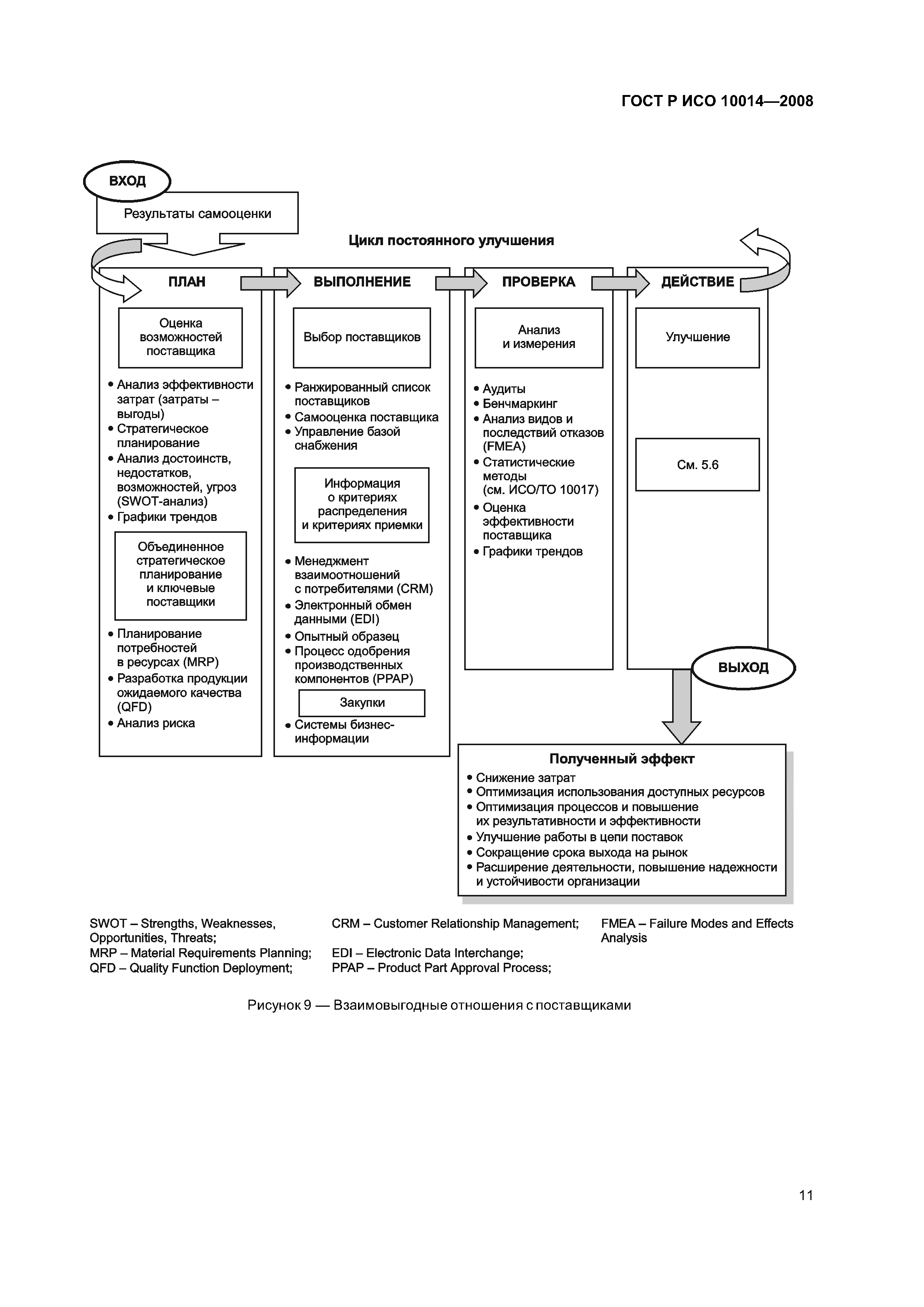
   5.8 Взаимовыгодные отношения с поставщиками
Приложение А (справочное) Самооценка внедрения принципов менеджмента
Приложение В (справочное) Краткий обзор методов раздела 5
Приложение С (справочное) Сведения о соответствии национальных стандартов Российской Федерации ссылочным международным стандартам
Библиография
Разработан: АНО НИЦ КД
Утверждён:18.12.2008 Федеральное агентство по техническому регулированию и метрологии (472-ст)
Издан: Стандартинформ (2009 г. )
Расположен в:Техническая документация Электроэнергия СОЦИОЛОГИЯ. УСЛУГИ. ОРГАНИЗАЦИЯ ФИРМ И УПРАВЛЕНИЕ ИМИ. АДМИНИСТРАЦИЯ. ТРАНСПОРТ Качество Управление качеством и обеспечение качества Организация фирм и управление ими Управление трудовыми ресурсами Экология СОЦИОЛОГИЯ. УСЛУГИ. ОРГАНИЗАЦИЯ ФИРМ И УПРАВЛЕНИЕ ИМИ. АДМИНИСТРАЦИЯ. ТРАНСПОРТ Качество Управление качеством и обеспечение качества Организация фирм и управление ими Управление трудовыми ресурсами Строительство Стандарты Другие государственные стандарты, применяемые в строительстве Социология. Услуги. Организация фирм и управление ими. Администрация. Транспорт
Заменяет собой:
Нормативные ссылки:
ГОСТ Р ИСО 10014-2008ГОСТ Р ИСО 10014-2008ГОСТ Р ИСО 10014-2008ГОСТ Р ИСО 10014-2008ГОСТ Р ИСО 10014-2008ГОСТ Р ИСО 10014-2008ГОСТ Р ИСО 10014-2008ГОСТ Р ИСО 10014-2008ГОСТ Р ИСО 10014-2008ГОСТ Р ИСО 10014-2008ГОСТ Р ИСО 10014-2008ГОСТ Р ИСО 10014-2008ГОСТ Р ИСО 10014-2008ГОСТ Р ИСО 10014-2008ГОСТ Р ИСО 10014-2008ГОСТ Р ИСО 10014-2008ГОСТ Р ИСО 10014-2008ГОСТ Р ИСО 10014-2008ГОСТ Р ИСО 10014-2008ГОСТ Р ИСО 10014-2008ГОСТ Р ИСО 10014-2008ГОСТ Р ИСО 10014-2008ГОСТ Р ИСО 10014-2008ГОСТ Р ИСО 10014-2008ГОСТ Р ИСО 10014-2008ГОСТ Р ИСО 10014-2008ГОСТ Р ИСО 10014-2008ГОСТ Р ИСО 10014-2008ГОСТ Р ИСО 10014-2008ГОСТ Р ИСО 10014-2008ГОСТ Р ИСО 10014-2008

© 2013 Ёшкин Кот :-) Карта сайта