| ||||||||||||||||||||||||||||||
Скачать СТО 24.09-5821-01-93 Краны грузоподъемные промышленного назначения. Нормы и методы расчета элементов стальных конструкцийДата актуализации: 10.08.2017
|
| Обозначение: | СТО 24.09-5821-01-93 |
| Обозначение англ: | STO 24.09-5821-01-93 |
| Статус: | действует |
| Название рус.: | Краны грузоподъемные промышленного назначения. Нормы и методы расчета элементов стальных конструкций |
| Дата добавления в базу: | 01.09.2013 |
| Дата актуализации: | 05.05.2017 |
| Дата введения: | 25.06.1993 |
| Область применения: | Стандарт регламентирует нормы и методы расчета элементов стальных конструкций грузоподъемных кранов промышленного назначения, эксплуатируемых в диапазоне температур от минус 40 град. С до плюс 40 град. С |
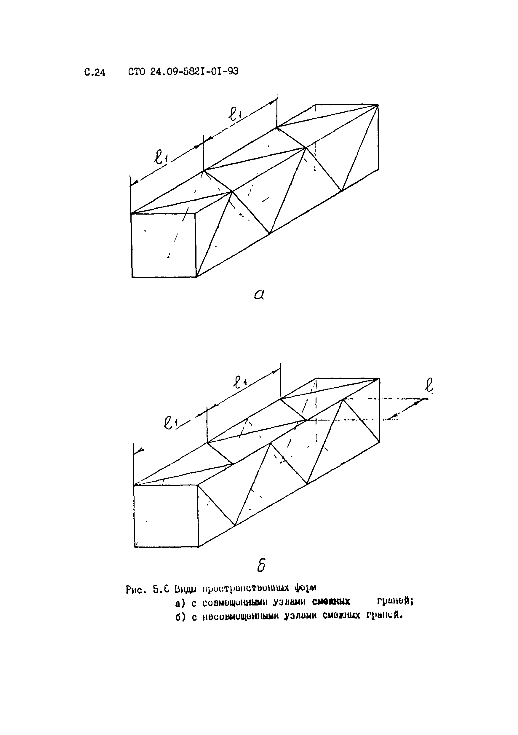
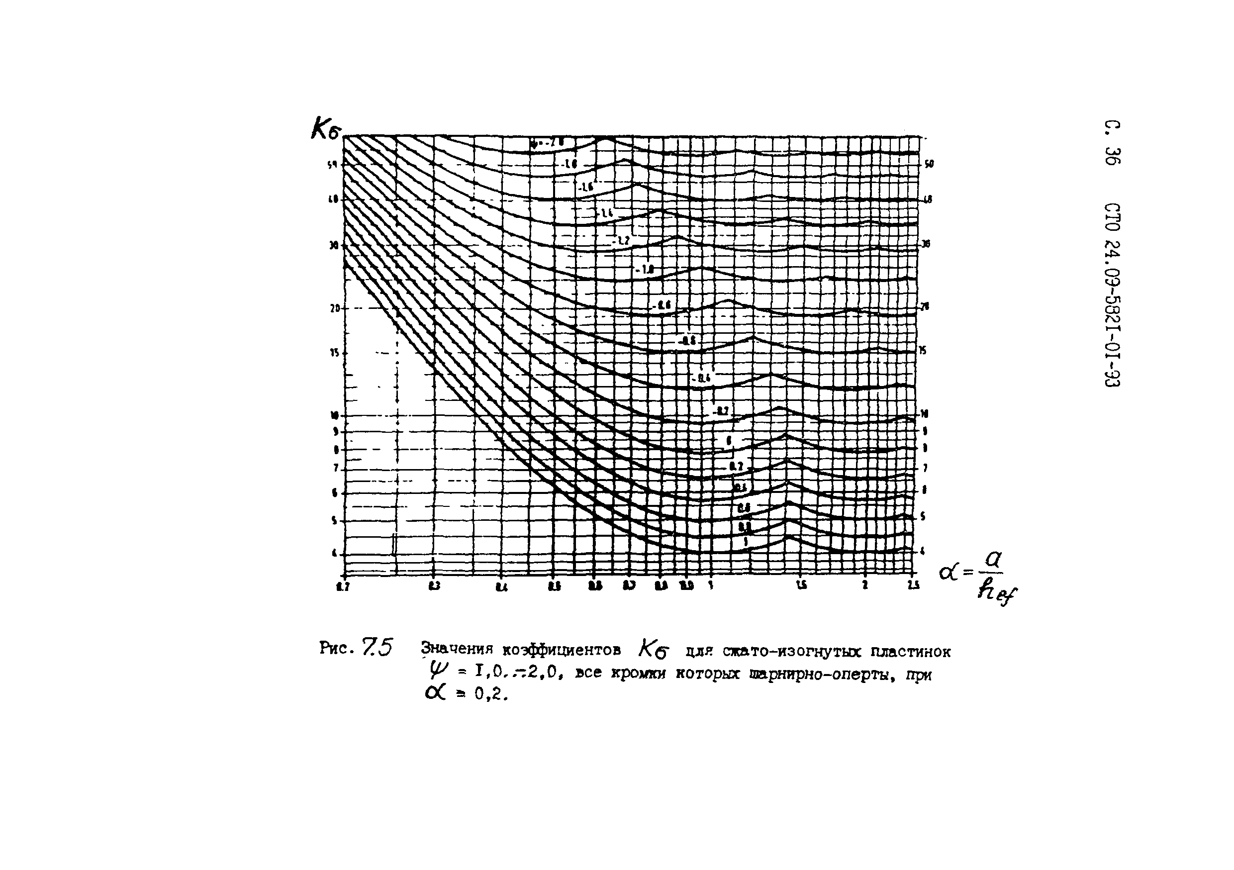
| Оглавление: | 1. Общие указания 2. Требования к материалам 3. Расчетные характеристики материалов и сварных соединений 4. Учет условий работы элементов конструкций 5. Расчет стержней на осевые силы 6. Расчет стержней, подверженных действию осевой силы с изгибом 7. Проверка устойчивости пластинок 8. Проверка общей устойчивости балок 9. Расчет прочности сварных соединений 10. Расчет болтовых соединений 11. Расчет элементов стальных конструкций на сопротивление усталости 12. Расчет полок ездовых профилей на действие местных нагрузок 13. Особенности расчета балок с перфорированной стенкой 14. Расчет подтележечных направляющих (рельсов) Приложение 1. Основные буквенные обозначения величин Приложение 2. Временные указания по расчету стальных конструкций мостовых и козловых кранов |
| Разработан: | ВНИИПТМАШ |
| Утверждён: | 25.06.1993 ВНИИПТМАШ (VNIIPTMASH 11) 15.06.1993 ПОДЪЕМТРАНСТЕХНИКА (36) |
| Расположен в: | |
| Нормативные ссылки: |







































































































































