Информационная система
«Ёшкин Кот»

Скачать базу одним архивом
Скачать обновления
История создания базы
Карта сайта

Скачать ОСТ 1 11303-73 Перемычки металлизации. Конструкция и размеры

Дата актуализации: 10.08.2017

ОСТ 1 11303-73

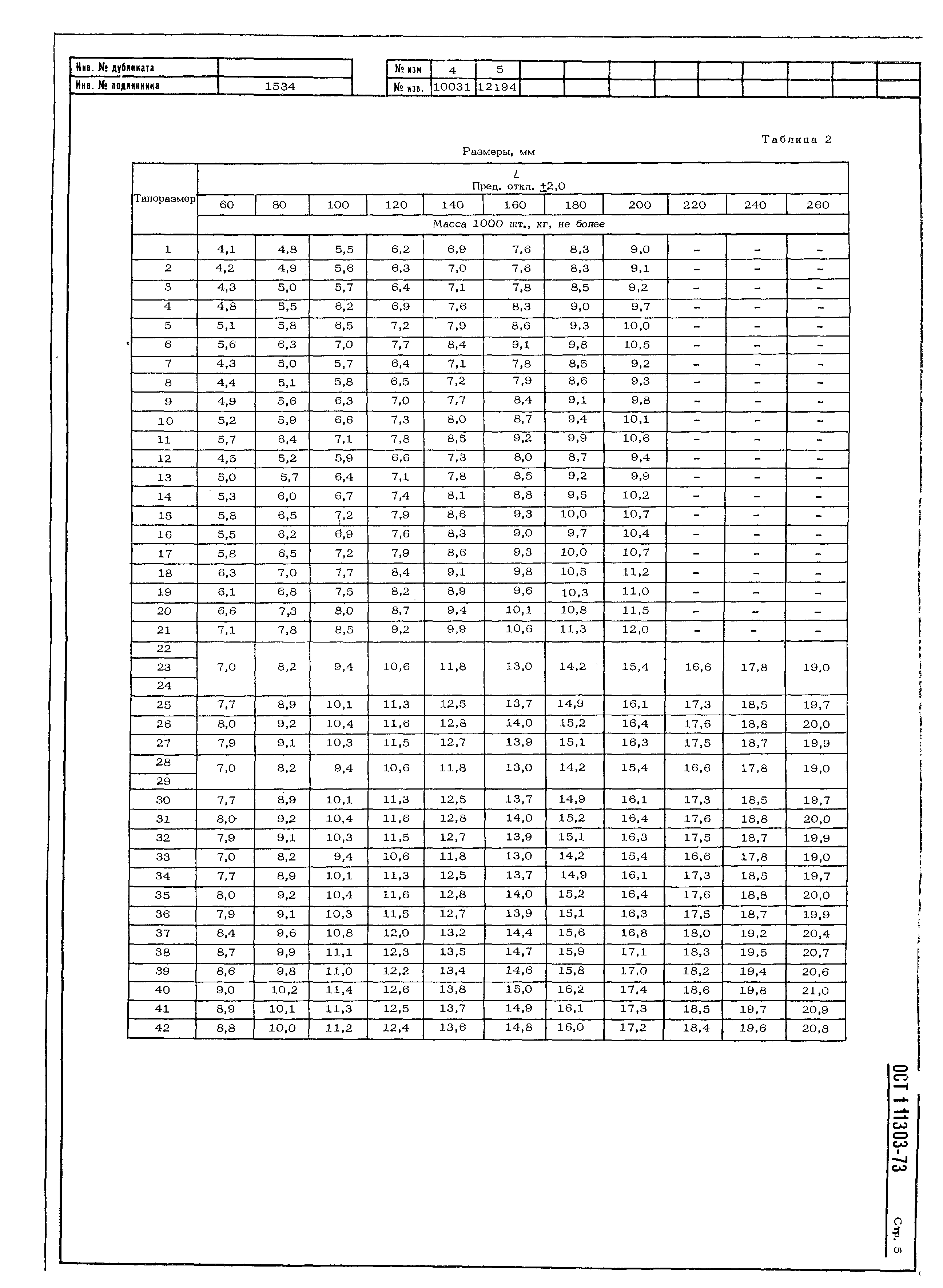
Перемычки металлизации. Конструкция и размеры

Обозначение: ОСТ 1 11303-73
Обозначение англ: 11303-73
Статус:действует
Название рус.:Перемычки металлизации. Конструкция и размеры
Дата добавления в базу:01.09.2013
Дата актуализации:05.05.2017
Дата введения:01.07.1974
Область применения:Стандарт распространяется на перемычки металлизации элементов конструкции и агрегатов летательных аппаратов. Стандарт не распространяется на перемычки металлизации радиоэлектронной аппаратуры.
Оглавление:Конструкции и размеры перемычек металлизации
   Тип 1.
   Тип 2.
   Тип 3.
   Тип 4.
   Тип 5.
   Тип 6.
Утверждён:04.12.1973 Министерство (Ministry 087-16)
Расположен в:Техническая документация
Заменяет собой:
  • 5784А
  • Нормаль 5779А
  • Нормаль 5780А
  • Нормаль 5781А
  • Нормаль 5782А
  • Нормаль 5783А
ОСТ 1 11303-73ОСТ 1 11303-73ОСТ 1 11303-73ОСТ 1 11303-73ОСТ 1 11303-73ОСТ 1 11303-73ОСТ 1 11303-73ОСТ 1 11303-73ОСТ 1 11303-73ОСТ 1 11303-73ОСТ 1 11303-73ОСТ 1 11303-73ОСТ 1 11303-73ОСТ 1 11303-73ОСТ 1 11303-73ОСТ 1 11303-73ОСТ 1 11303-73ОСТ 1 11303-73ОСТ 1 11303-73ОСТ 1 11303-73ОСТ 1 11303-73ОСТ 1 11303-73ОСТ 1 11303-73ОСТ 1 11303-73ОСТ 1 11303-73ОСТ 1 11303-73ОСТ 1 11303-73ОСТ 1 11303-73ОСТ 1 11303-73ОСТ 1 11303-73ОСТ 1 11303-73ОСТ 1 11303-73ОСТ 1 11303-73

© 2013 Ёшкин Кот :-) Карта сайта