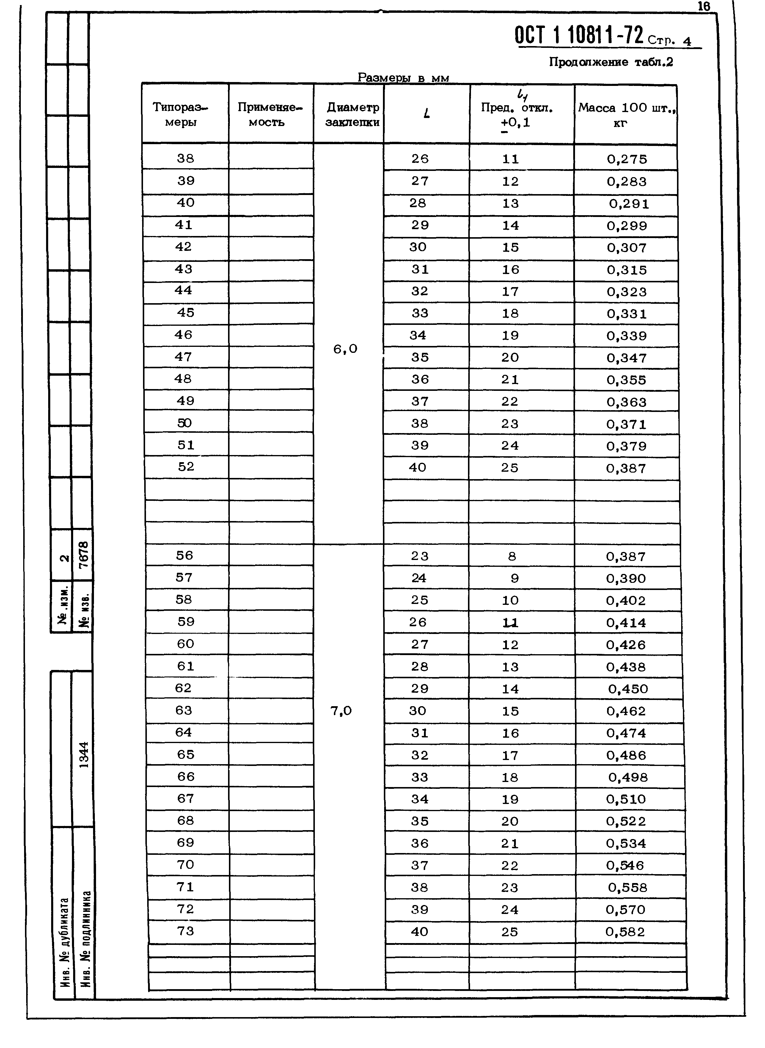
Скачать ОСТ 1 10811-72 Винты заклепок высокого сопротивления срезу. Конструкция и размерыДата актуализации: 10.08.2017 ОСТ 1 10811-72
Винты заклепок высокого сопротивления срезу. Конструкция и размерыОбозначение: | ОСТ 1 10811-72 | Обозначение англ: | 10811-72 | Статус: | действует | Название рус.: | Винты заклепок высокого сопротивления срезу. Конструкция и размеры | Дата добавления в базу: | 01.09.2013 | Дата актуализации: | 05.05.2017 | Дата введения: | 01.01.1974 | Оглавление: | Приложение Код ОКП 75 9321 3ХХХ КЧ | Утверждён: | 03.07.1973 Министерство (Ministry 087-16)
| Расположен в: |
|
      
|