Информационная система
«Ёшкин Кот»

Скачать базу одним архивом
Скачать обновления
История создания базы
Карта сайта

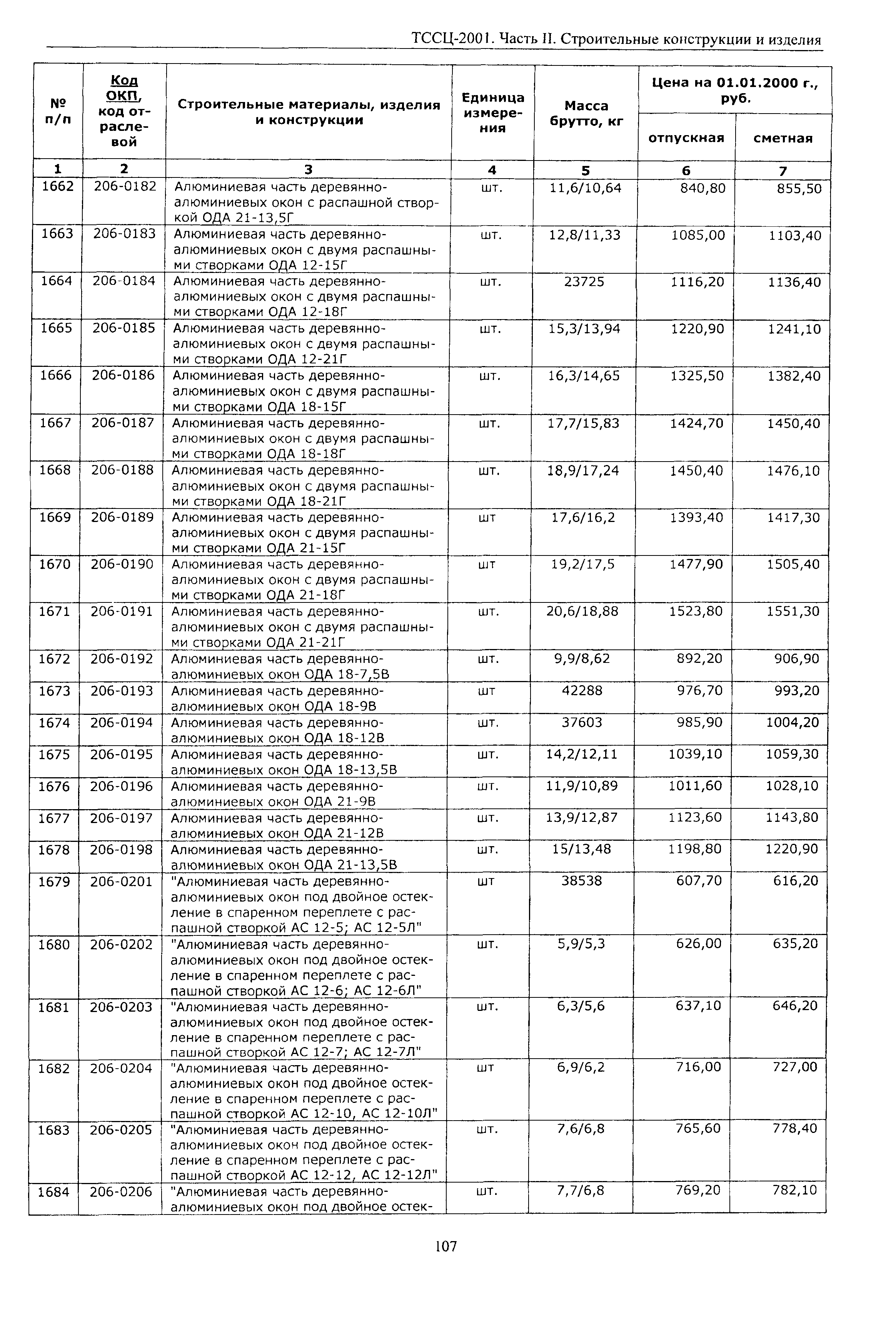
Скачать ТССЦ Воронежской области 2001 Часть II. Строительные конструкции и изделия. Территориальный сборник средних сметных цен на материалы, изделия и конструкции

Дата актуализации: 10.08.2017

ТССЦ Воронежской области 2001

Часть II. Строительные конструкции и изделия. Территориальный сборник средних сметных цен на материалы, изделия и конструкции

Обозначение: ТССЦ Воронежской области 2001
Обозначение англ: 2001
Статус:действует
Название рус.:Часть II. Строительные конструкции и изделия. Территориальный сборник средних сметных цен на материалы, изделия и конструкции
Дата добавления в базу:01.09.2013
Дата актуализации:05.05.2017
Дата введения:22.08.2003
Область применения:Территориальный сборник сметных цен на материалы, изделия и конструкции (далее сборник) предназначен для определения сметной стоимости строительно-монтажных (ремонтно-строительных) работ, а также для разработки Территориальных единичных расценок на строительные, монтажные и ремонтно-строительные работы
Оглавление:Общие положения
Техническая часть
Раздел 2.01. Строительные конструкции промышленных и сельскохозяйственных зданий, сооружений и мостов
Раздел 2.02. Строительные конструкции гидротехнических сооружений
Раздел 2.03. Деревянные конструкции и изделия
Раздел 2.04. Арматура товарная для монолитных и железобетонных конструкций
Раздел 2.05. Литые конструкции промышленных печей и труб
Раздел 2.06. Алюминиевые конструкции
Разработан: Центр по ценообразованию в строительстве (ЦЦС)
Утверждён:22.08.2003 Администрация Воронежской области (674)
Издан: ЦЦС (2004 г. )
Расположен в:Техническая документация Строительство Нормативные документы Нормативные документы субъектов Российской Федерации Нормативные документы Воронежской области Документы Системы нормативных документов в строительстве Нормативные документы по экономике к.81 Ценообразование и сметы Классификатор ISO Нормативные документы по экономике Ценообразование и сметы
Нормативные ссылки:
ТССЦ Воронежской области 2001ТССЦ Воронежской области 2001ТССЦ Воронежской области 2001ТССЦ Воронежской области 2001ТССЦ Воронежской области 2001ТССЦ Воронежской области 2001ТССЦ Воронежской области 2001ТССЦ Воронежской области 2001ТССЦ Воронежской области 2001ТССЦ Воронежской области 2001ТССЦ Воронежской области 2001ТССЦ Воронежской области 2001ТССЦ Воронежской области 2001ТССЦ Воронежской области 2001ТССЦ Воронежской области 2001ТССЦ Воронежской области 2001ТССЦ Воронежской области 2001ТССЦ Воронежской области 2001ТССЦ Воронежской области 2001ТССЦ Воронежской области 2001ТССЦ Воронежской области 2001ТССЦ Воронежской области 2001ТССЦ Воронежской области 2001ТССЦ Воронежской области 2001ТССЦ Воронежской области 2001ТССЦ Воронежской области 2001ТССЦ Воронежской области 2001ТССЦ Воронежской области 2001ТССЦ Воронежской области 2001ТССЦ Воронежской области 2001ТССЦ Воронежской области 2001ТССЦ Воронежской области 2001ТССЦ Воронежской области 2001ТССЦ Воронежской области 2001ТССЦ Воронежской области 2001ТССЦ Воронежской области 2001ТССЦ Воронежской области 2001ТССЦ Воронежской области 2001ТССЦ Воронежской области 2001ТССЦ Воронежской области 2001ТССЦ Воронежской области 2001ТССЦ Воронежской области 2001ТССЦ Воронежской области 2001ТССЦ Воронежской области 2001ТССЦ Воронежской области 2001ТССЦ Воронежской области 2001ТССЦ Воронежской области 2001ТССЦ Воронежской области 2001ТССЦ Воронежской области 2001ТССЦ Воронежской области 2001ТССЦ Воронежской области 2001ТССЦ Воронежской области 2001ТССЦ Воронежской области 2001ТССЦ Воронежской области 2001ТССЦ Воронежской области 2001ТССЦ Воронежской области 2001ТССЦ Воронежской области 2001ТССЦ Воронежской области 2001ТССЦ Воронежской области 2001ТССЦ Воронежской области 2001ТССЦ Воронежской области 2001ТССЦ Воронежской области 2001ТССЦ Воронежской области 2001ТССЦ Воронежской области 2001ТССЦ Воронежской области 2001ТССЦ Воронежской области 2001ТССЦ Воронежской области 2001ТССЦ Воронежской области 2001ТССЦ Воронежской области 2001ТССЦ Воронежской области 2001ТССЦ Воронежской области 2001ТССЦ Воронежской области 2001ТССЦ Воронежской области 2001ТССЦ Воронежской области 2001ТССЦ Воронежской области 2001ТССЦ Воронежской области 2001ТССЦ Воронежской области 2001ТССЦ Воронежской области 2001ТССЦ Воронежской области 2001ТССЦ Воронежской области 2001ТССЦ Воронежской области 2001ТССЦ Воронежской области 2001ТССЦ Воронежской области 2001ТССЦ Воронежской области 2001ТССЦ Воронежской области 2001ТССЦ Воронежской области 2001ТССЦ Воронежской области 2001ТССЦ Воронежской области 2001ТССЦ Воронежской области 2001ТССЦ Воронежской области 2001ТССЦ Воронежской области 2001ТССЦ Воронежской области 2001ТССЦ Воронежской области 2001ТССЦ Воронежской области 2001ТССЦ Воронежской области 2001ТССЦ Воронежской области 2001ТССЦ Воронежской области 2001ТССЦ Воронежской области 2001ТССЦ Воронежской области 2001ТССЦ Воронежской области 2001ТССЦ Воронежской области 2001ТССЦ Воронежской области 2001ТССЦ Воронежской области 2001ТССЦ Воронежской области 2001ТССЦ Воронежской области 2001ТССЦ Воронежской области 2001ТССЦ Воронежской области 2001ТССЦ Воронежской области 2001ТССЦ Воронежской области 2001ТССЦ Воронежской области 2001ТССЦ Воронежской области 2001ТССЦ Воронежской области 2001ТССЦ Воронежской области 2001ТССЦ Воронежской области 2001ТССЦ Воронежской области 2001ТССЦ Воронежской области 2001ТССЦ Воронежской области 2001ТССЦ Воронежской области 2001ТССЦ Воронежской области 2001ТССЦ Воронежской области 2001ТССЦ Воронежской области 2001ТССЦ Воронежской области 2001ТССЦ Воронежской области 2001ТССЦ Воронежской области 2001ТССЦ Воронежской области 2001ТССЦ Воронежской области 2001ТССЦ Воронежской области 2001ТССЦ Воронежской области 2001ТССЦ Воронежской области 2001ТССЦ Воронежской области 2001ТССЦ Воронежской области 2001ТССЦ Воронежской области 2001ТССЦ Воронежской области 2001ТССЦ Воронежской области 2001ТССЦ Воронежской области 2001ТССЦ Воронежской области 2001ТССЦ Воронежской области 2001ТССЦ Воронежской области 2001ТССЦ Воронежской области 2001ТССЦ Воронежской области 2001ТССЦ Воронежской области 2001ТССЦ Воронежской области 2001ТССЦ Воронежской области 2001ТССЦ Воронежской области 2001ТССЦ Воронежской области 2001ТССЦ Воронежской области 2001ТССЦ Воронежской области 2001ТССЦ Воронежской области 2001ТССЦ Воронежской области 2001ТССЦ Воронежской области 2001ТССЦ Воронежской области 2001ТССЦ Воронежской области 2001ТССЦ Воронежской области 2001ТССЦ Воронежской области 2001ТССЦ Воронежской области 2001ТССЦ Воронежской области 2001ТССЦ Воронежской области 2001ТССЦ Воронежской области 2001ТССЦ Воронежской области 2001ТССЦ Воронежской области 2001ТССЦ Воронежской области 2001ТССЦ Воронежской области 2001ТССЦ Воронежской области 2001ТССЦ Воронежской области 2001ТССЦ Воронежской области 2001

© 2013 Ёшкин Кот :-) Карта сайта