| ||||||||||||||||||||||||||||||||
Скачать Шифр М24.26/06 Строительные рулонные изоляционные материалы СТРОИЗОЛ в многослойных стенах и покрытиях с теплоизоляцией из минерало- и стекловатных плит и матов. Материалы для проектирования и рабочие чертежи узловДата актуализации: 10.08.2017
|
| Обозначение: | Шифр М24.26/06 |
| Обозначение англ: | М24.26/06 |
| Статус: | не определен законодательством |
| Название рус.: | Строительные рулонные изоляционные материалы "СТРОИЗОЛ" в многослойных стенах и покрытиях с теплоизоляцией из минерало- и стекловатных плит и матов. Материалы для проектирования и рабочие чертежи узлов |
| Дата добавления в базу: | 01.09.2013 |
| Дата актуализации: | 05.05.2017 |
| Дата введения: | 25.09.2006 |
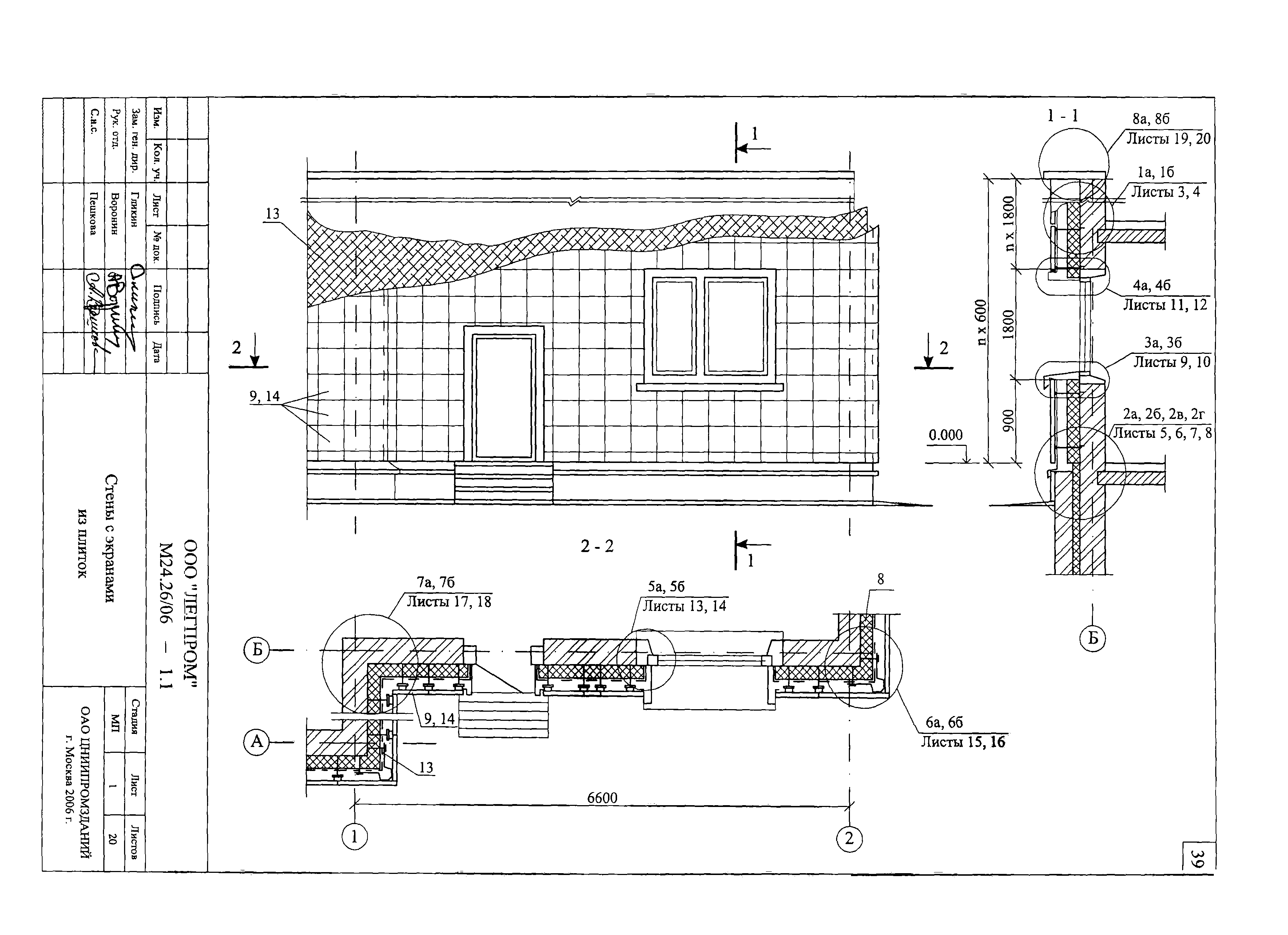
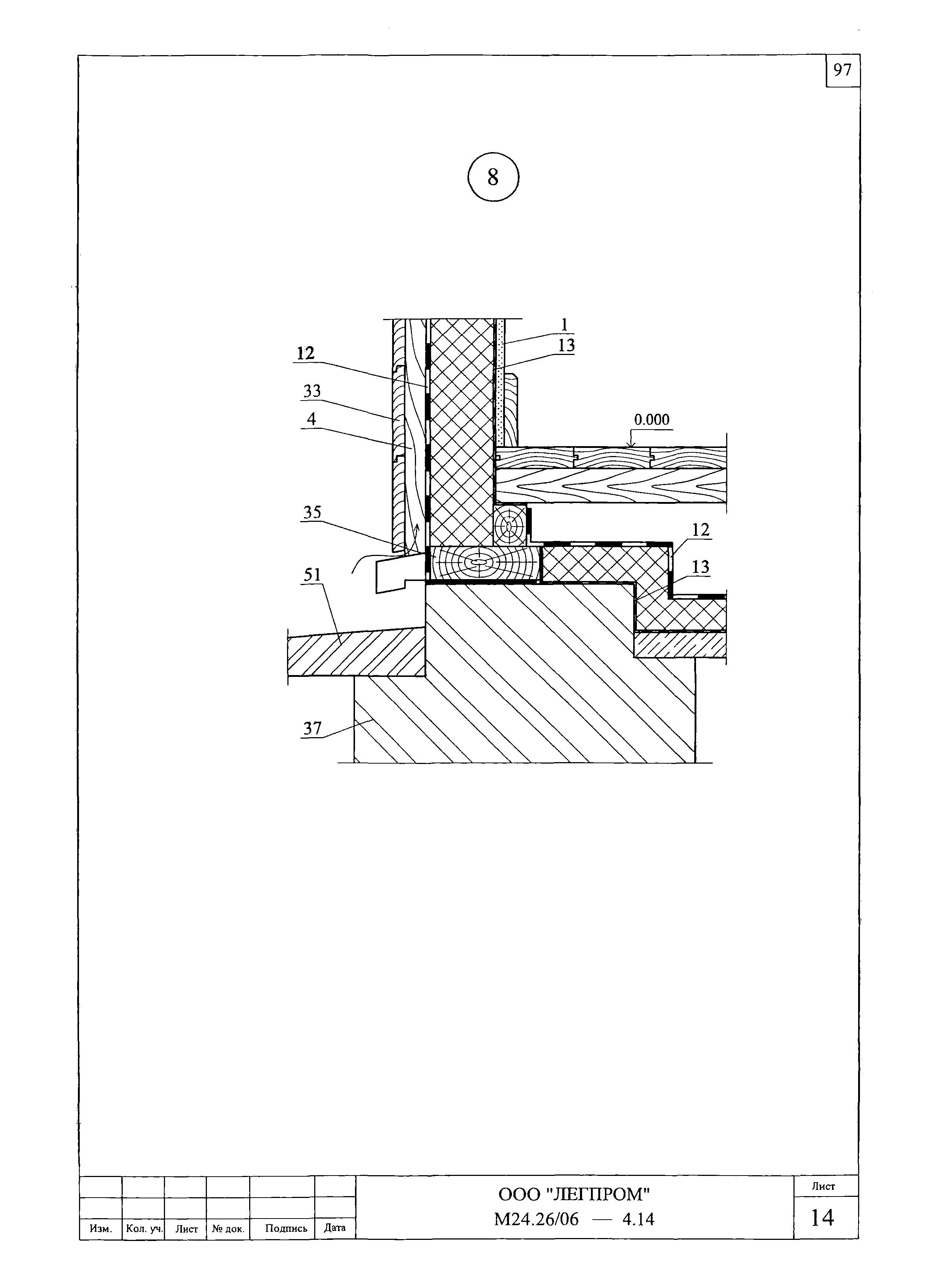
| Область применения: | Альбом содержит материалы для проектирования и рабочие чертежи узлов с применением ветро-, гидрозащитных и пароизоляционных материалов "СТРОИЗОЛ" в многослойных стенах и покрытиях зданий различного назначения с минерало- или стекловолокнистой теплоизоляцией. Материалы "СТРОИЗОЛ" представляют собой нетканые и тканые полипропиленовые материалы, ламинированные полипропиленом и неламинированные с определенными добавками, некоторые марки включают вспененный полиэтилен соединены с композитом из БОПП - пленки, металлизированной внутри и соединительных лент. Материалы "СТРОИЗОЛ" изготовляются ООО "ЛЕГПРОМ" (Россия). Материалы разработаны для следующих условий: здания одно- и многоэтажные, II-V степени огнестойкости с сухим, нормальным, влажным и мокрым температурно-влажностным режимом для строительства на всей территории страны; стены - несущие, санонесущие или навесные из кирпича или других каменных материалов, бетона, дерева, металла, с вентиляционным каналом над теплоизоляционным слоем из минерало- и стекловатных плит и матов, а также других типов теплоизоляции и защитно-декоративным наружным слоем из профилдированного металлического листа или других листовых или штучных материалов; покрытия - совмещенные или чердачные вентилируемые с указанной выше теплоизоляцией и кровлей из мелкоштучныхз, волнистых и профилированных листовых материалов, оцинкованной стали и меди; температура холодной пятидневки обеспеченностью 0,92 - до минус 55 град. Цельсия. |
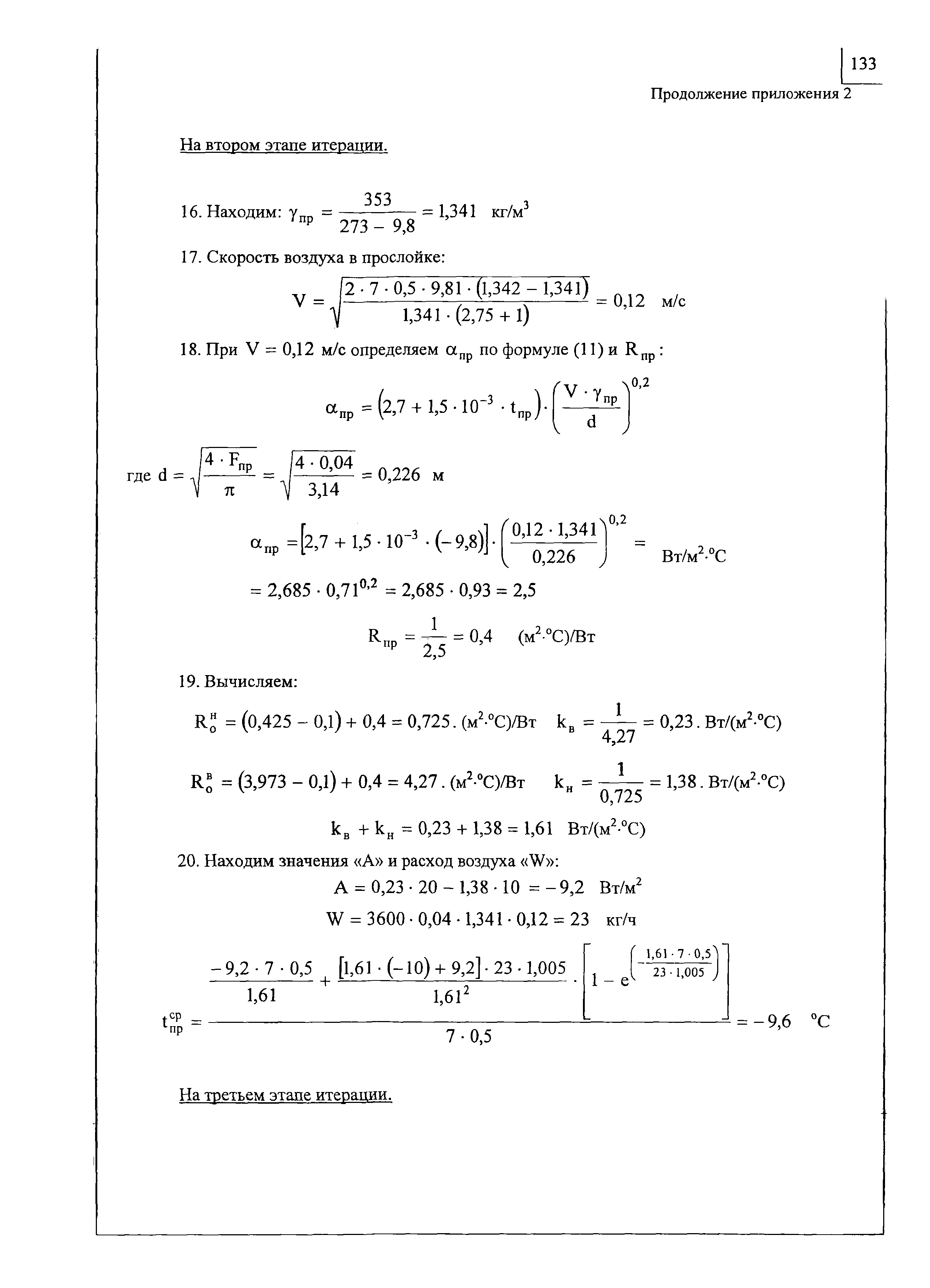
| Оглавление: | Сертификат Пояснительная записка 1. Общие положения 2. Применяемые материалы 3. Нормы теплозащиты и даные по толщине теплоизоляции 4. Стены с экранами из плиток 5. Стены с облицовкой из оцинкованных стальных профлистов 6. Покрытия с кровлей из оцинкованных стальных профлистов 7. Ограждающие конструкции мансард 8. Конструктивные решения чердачных перекрытий 9. Конструктивные решения полов Раздел 1. Стены с экранами из плиток Раздел 2. Стены с облицовкой из оцинкованных стальных профлистов Раздел 3. Покрытия с кровлей из оцинкованных стальных профлистов Раздел 4. Ограждающие конструкции мансард Раздел 5. Чердачные перекрытия Раздел 6. Полы Приложения Приложение 1. Расчет приведенного сопротивления теплопередаче и температурно-влажностного режима многослойных конструкций стен с вентилируемой воздушной прослойкой Приложение 2. Расчет покрытия с вентилируемой воздушной прослойкой |
| Разработан: | ОАО ЦНИИпромзданий |
| Утверждён: | ОАО ЦНИИпромзданий (TsNIIpromzdaniy OAO ) |
| Издан: | ОАО ЦНИИпромзданий (2006 г. ) |
| Расположен в: | |
| Нормативные ссылки: |
|








































































































































