| ||||||||||||||||||||||||
Скачать РМ 4-188-81 Системы автоматизации технологических процессов. Измерение давления, расхода и уровня без ввода измеряемой среды в приборДата актуализации: 10.08.2017
|
| Обозначение: | РМ 4-188-81 |
| Обозначение англ: | RM 4-188-81 |
| Статус: | действует |
| Название рус.: | Системы автоматизации технологических процессов. Измерение давления, расхода и уровня без ввода измеряемой среды в прибор |
| Дата добавления в базу: | 01.09.2013 |
| Дата актуализации: | 05.05.2017 |
| Дата введения: | 01.04.1982 |
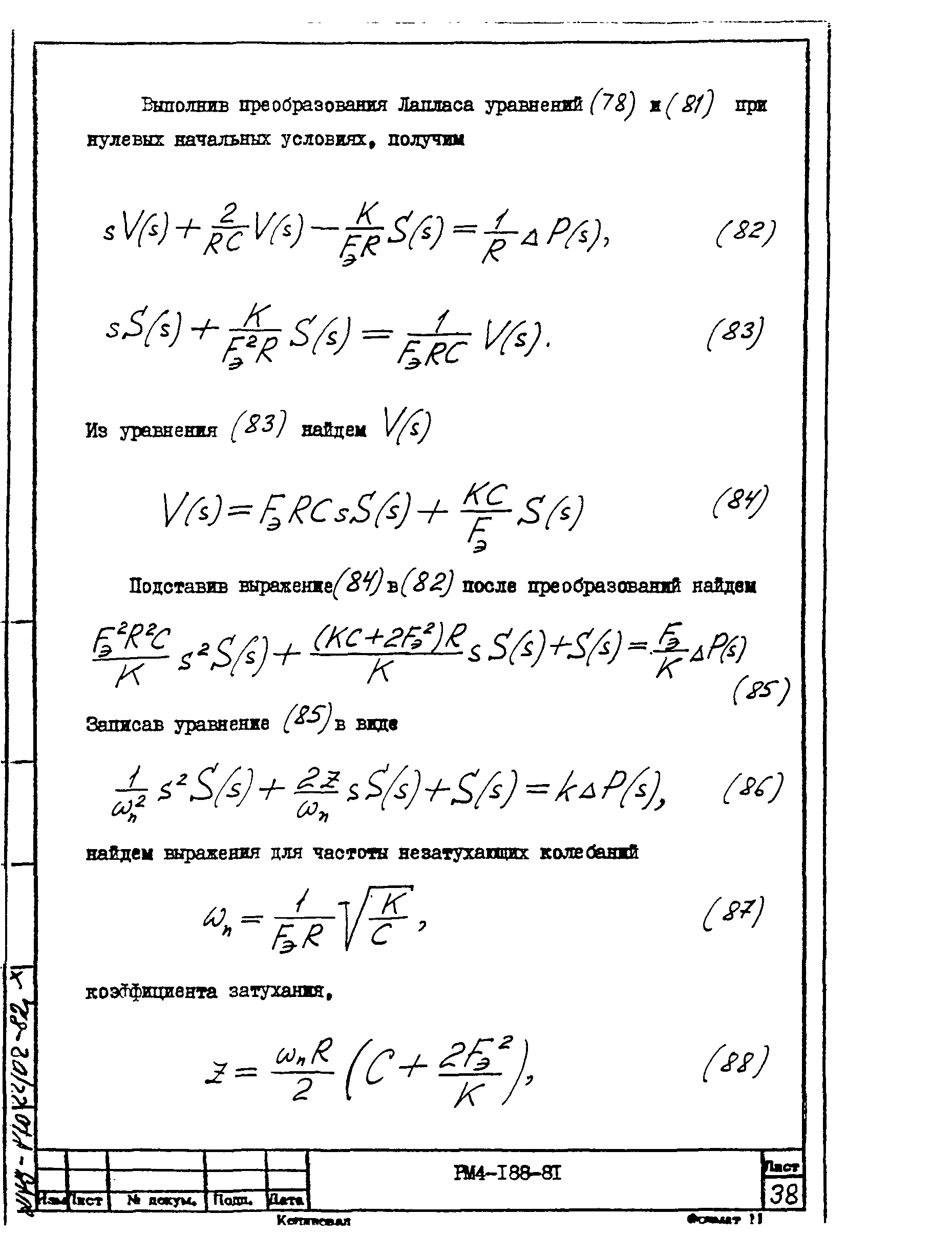
| Область применения: | Руководящий материал содержит указания для ориентировочной оценки запаздывания (времени реакции) систем измерения давления (перепада давления), в которых измерительный прибор защищается от воздействия измеряемой среды с помощью разделительной жидкости и сосудов |
| Оглавление: | 1. Назначение 2. Упрощенные динамические модели элементов систем измерения давления или перепада давления 3. Линейные системы второго порядка 4. Измерение давления газа 5. Измерение перепада давления газа 6. Сравнение систем измерения давления 7. Сравнение систем измерения перепада давления 8. Выводы и рекомендации Приложения Список литературы |
| Расположен в: |




















































