| ||||||||||||||||||||||||||||||||||||
Скачать ТСЦ Краснодарского края 81-01-2001 Часть IV. Бетонные, железобетонные и керамические изделия. Нерудные материалы. Товарные бетоны и растворыДата актуализации: 10.08.2017
|
| Обозначение: | ТСЦ Краснодарского края 81-01-2001 |
| Обозначение англ: | 81-01-2001 |
| Статус: | действует |
| Название рус.: | Часть IV. Бетонные, железобетонные и керамические изделия. Нерудные материалы. Товарные бетоны и растворы |
| Дата добавления в базу: | 01.09.2013 |
| Дата актуализации: | 05.05.2017 |
| Дата введения: | 01.09.2003 |
| Область применения: | Территориальный сборник сметных цен на материалы, изделия и конструкции предназначен для определения сметной стоимости строительно-монтажных (ремонтно-строительных) работ, а также при разработке Территориальных единичных расценок на строительные, монтажные и ремонтно-строительные работы |
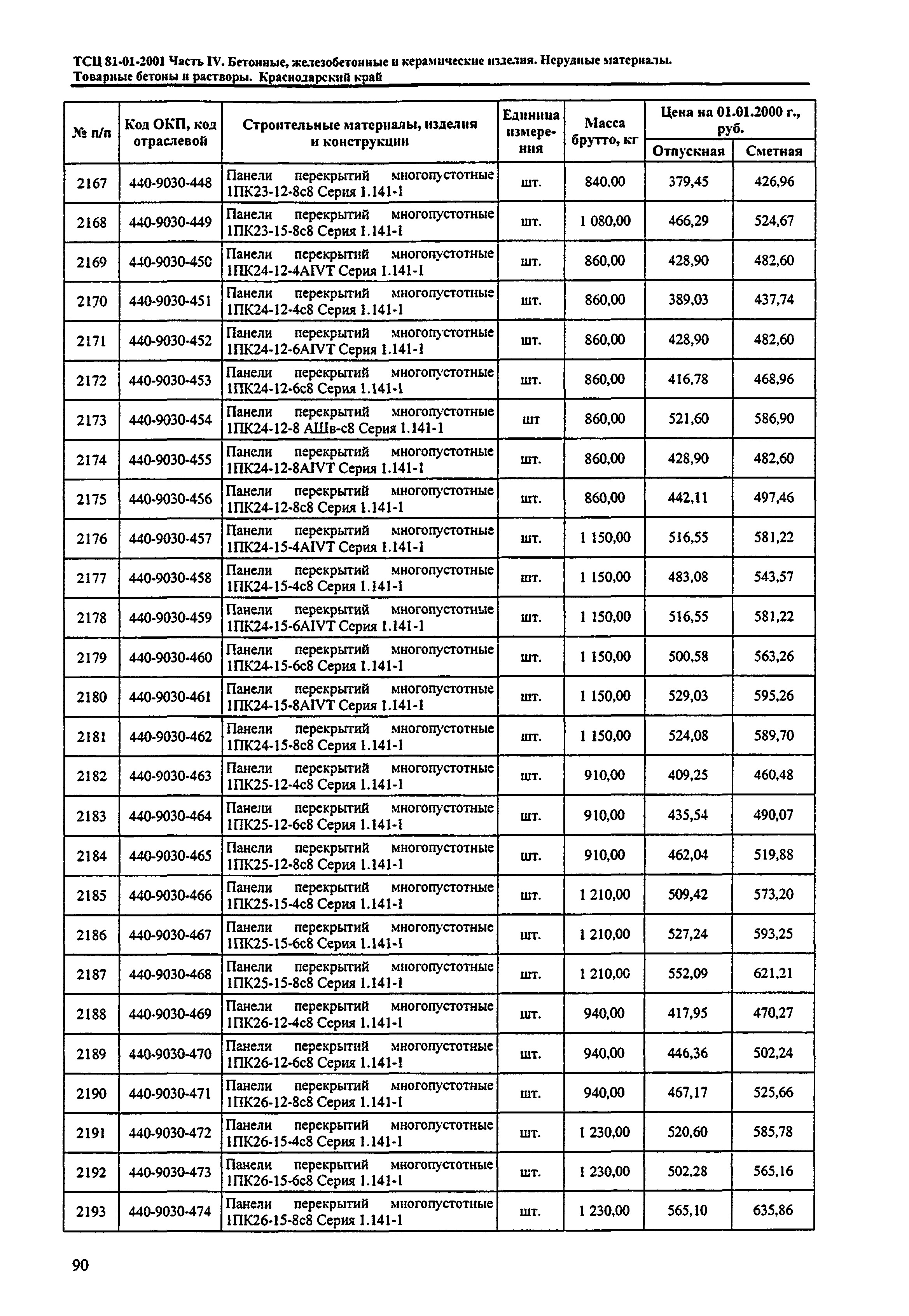
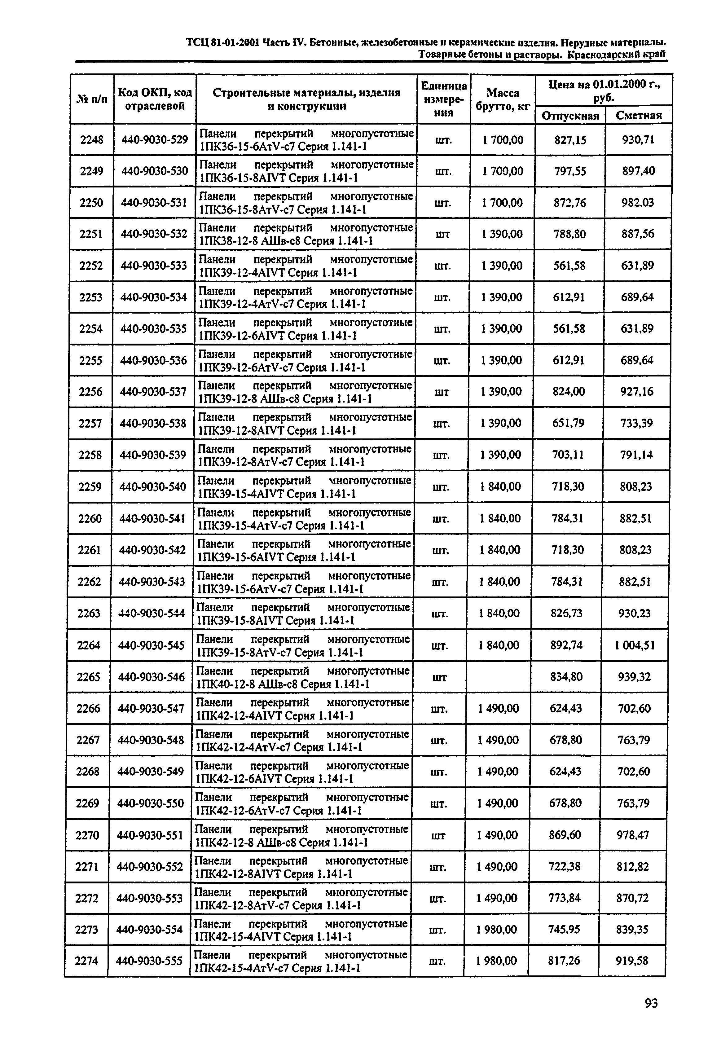
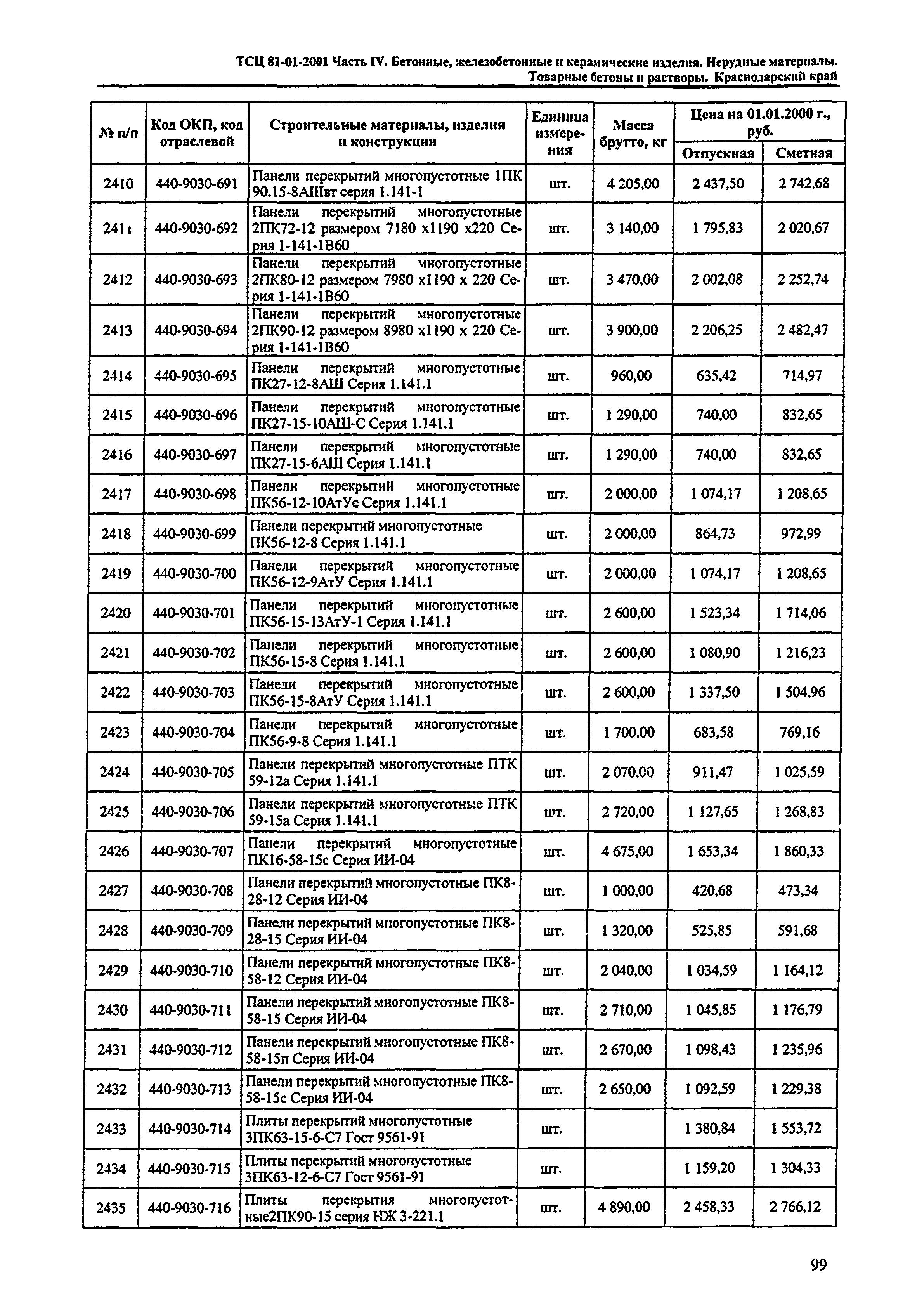
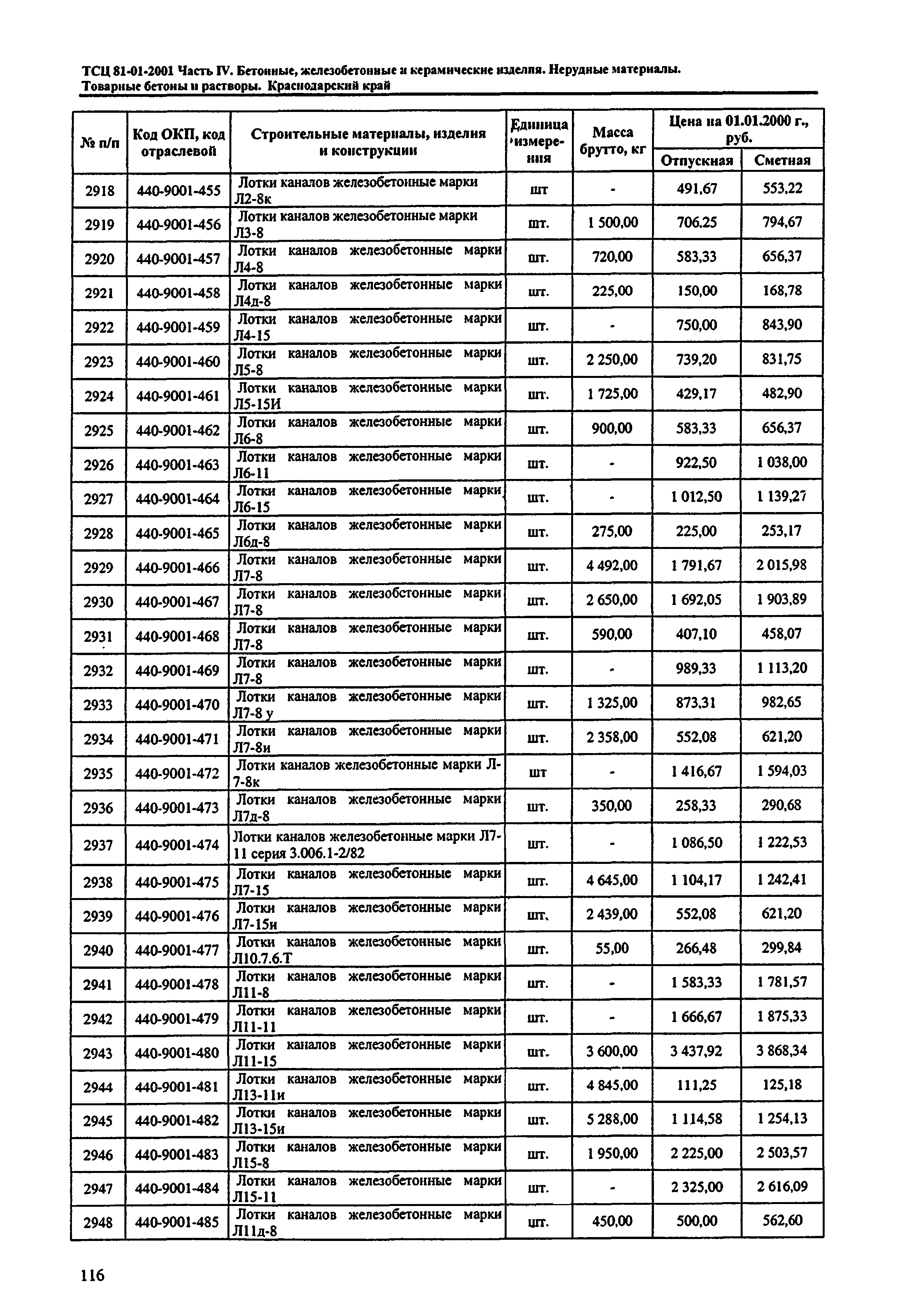
| Оглавление: | Общие указания Техническая часть Раздел 4.01. Бетоны и растворы Бетоны Бетоны тяжелые с крупностью заполнителя до 10 мм Бетоны тяжелые с крупностью заполнителя до 20 мм Бетоны тяжелые с крупностью заполнителя 20 мм Бетоны тяжелые с крупностью заполнителя более 20 до 40 мм Бетоны тяжелые с крупностью заполнителя более 40 мм Бетон дорожный Бетон гидротехнический Бетон песчаный Бетоны жаростойкие Бетон легкий на пористых заполнителях (керамзитобетон) Растворы Растворы кладочные Растворы отделочные Растворы цементно-песчаные Смеси цементно-песчаные специализированные Смеси для растворов Смеси для бетонов тяжелые Смеси для бетонов легкие Раздел 4.02. Кирпич, камни стеновые, бутовые, булыжные, черепица Кирпич Кирпич керамический одинарный Кирпич керамический пустотелый одинарный Кирпич керамический утолщенный пустотелый для внутренних работ Кирпич керамический утолщенный Кирпич керамический лицевой Кирпич одинарный гиперпрессованный Кирпич глиняный для дымовых труб Кирпич силикатный Кирпич-половняк Кирпич керамический фасадный рельефный Камни керамические и силикатные Камни керамические Камни силикатные Черепица Черепица глиняная пазовая ленточная Черепица глиняная плоская ленточная Черепица глиняная коньковая Черепица цементно-песчаная Камень бутовый и булыжный Раздел 4.03. Нерудные строительные материалы Щебень Щебень из природного камня Щебень из гравия Щебень из плотных и пористых горных пород Щебень кирпичный керамический Щебень известняковый Щебень пористый из металлургического шлака (шлаковая пемза) Щебень шлаковый для дорожного строительства Щебень черный Щебень прочий Гравий Гравий для строительных работ по ГОСТ 8267-93 Гравий керамзитовый и смеси Керамзито-дробленая смесь Прочий гравий Песок Песок природный Песок природный обогащенный Песок керамзитовый Песок кварцевый Песок из отсевов дробления Песок прочий Материалы из отсевов дробления Смеси из нерудных материалов Смесь песчано-гравийная Готовые песчано-щебеночные смеси Раздел 4.04. Материалы облицовочные из природного камня, искусственные Материалы из природного камня, камень природный Изделия архитектурно-строительные из мрамора, из гранита Камень природный облицовочный Изделия искусственные облицовочные (под природный камень) Для наружной и внутренней облицовки зданий Отделка цоколя Облицовочная плитка Имитация природного камня Размер 250x100x65 Размер 250x100x70 Фигурный Раздел 4.05. Плитки тротуарные, брусчатка Плитка тротуарная Брусчатка Раздел 4.06. Известь и вяжущие известковые Раздел 4.07. Продукция асфальтобетонная Смеси асфальтобетонные для плотного асфальтобетона Смеси асфальтобетонные для пористого асфальтобетона Смеси асфальтобетонные для высокопористого асфальтобетона Смеси асфальтобетонные холодные Асфальт литой Прочая асфальтобетонная продукция Раздел 4.08. Детали и конструкции из бетона Блоки стен подвалов Блоки и камни стеновые бетонные Камни бетонные стеновые Блоки стеновые Камни сборные бордюрные Камни бортовые бетонные Камни бортовые железобетонные Камни бортовые прочие Раздел 4.09. Железобетонные изделия Колонны Перемычки Фундаментные плиты, блоки, балки Плиты ленточных фундаментов по ГОСТ 13580-85 Блоки фундаментные Фундаментные стаканные Фундамент заборов и ограждений Башмаки железобетонные Сваи Шпунты Балки Прогоны Ригели Панели перекрытий Плиты покрытий и перекрытий Панели стеновые Плиты перегородок Плиты полов Плиты опорные Элементы лестниц Площадки лестничные Марши лестничные Ступени лестничные Плиты лоджий и балконов Плиты парапетные Детали оград (заборов) Панели оград (заборов) Столбики оград (заборов) Шпалы Элементы гаражей Железобетонные конструкции остановок пассажирского транспорта Трубы железобетонные и бетонные Трубы железобетонные и бетонные безнапорные Трубы железобетонные напорные Трубы бетонные фальцевые безнапорные Элементы для сооружения водопровода, канализации и резервуаров, теплофикации Кольца железобетонные для колодцев Лотки Плиты днищ колодцев Плиты перекрытия каналов и колодцев Опорные подушки Блоки оголовков Панели резервуаров Прочие изделия Изделия для транспортного строительства Плиты дорожные Прочие изделия для транспортного строительства Открылки Кольца Плиты откосные, портальные стены, откосные крылья Блоки марки У и БУ Столбики дорожные и сигнальные Тумбы Изделия для мостов и других искусственных сооружений Насадки мостовые Блоки разные Плиты переходные Плиты проезжей части Плиты укрепления Откосные крылья и стены Балки Блоки шкафных стенок Колесоотбойный брус Лежни Тоннельные секции Звенья железобетонные водопропускных труб Оголовки Для энергетического строительства Опоры Приставки Изделия для сооружения связи Опора связи Колодцы кабельной канализационной связи Плиты анкерные Изделия мелиоративного и водохозяйственного строительства Стеновые панели Кровельные панели Оголовки и вкладыши Блоки водопропускные Плиты рисбермы и гасителей Плиты облицовочные Портальные стены Втулки-гасители Изделия для сельскохозяйственного строительства Кормушки Лотки прикормочные Полурамы Элементы объемно-блочного и панельного домостроения Объемные блоки Балки кровельные Стеновые панели Парапетные наружные стеновые панели Цокольные панели Чердачные панели Плиты кровли карнизные Плиты кровельные Экран для ограждения балкона Плиты перекрытия Перегородки Элементы входа Плиты пола Элементы лифтовых шахт Электропанели Ступени Элементы короба Экран вентиляционной шахты Крышки вентиляционных каналов Парапетная балка Перемычки Поддоны санузлов Разделительные экраны Лестничные марши Лестничные площадки Вкладыш к лестничной площадке Плиты лестничной клетки Вентиляционный блок Оголовок вентиляционного блока Балконные плиты Стенки лоджий Ограждения переходные Ступени Прочие Прочие железобетонные и бетонные изделия Раздел 4.10. Материалы для озеленения Деревья лиственные, крупномерные (с комом земли 1,2x1,2 м), высота 3,5-4 м Деревья лиственные, повышенный стандарт (с комом земли), высота 3,0-3,5 м Деревья лиственные, средний размер, высота 3,0-3,5 м Деревья лиственные, садовые формы, саженцы лиственных деревьев Деревья хвойные, саженцы хвойных пород Кустарники лиственных пород Хвойные кустарники, высота 0,6-0,7 м Сортовые розы и сирени, высота 0,3-0,4 м Семена трав Прочие материалы для озеленения Столбики для зеленных насаждений Раздел 4.11. Цементные и гипсовые изделия Базы Балясины Вазы Гербы Капители гипсовые Картуши Кронштейны и модульоны Листы Изделия погонные орнаментованные Поручни Розетки потолочные Сухари Триглифы Эмблемы Капители цементные Плиты гипсовые Прочее Раздел 4.12. Прочие материалы Земля Глина Торф Вода Пар Сжатый воздух Электроэнергия Газ Алфавитный указатель |
| Разработан: | Краснодарский краевой центр ценообразования в строительстве Кубаньстройцена |
| Утверждён: | 01.09.2003 Администрация Краснодарского края |
| Издан: | Администрация Краснодарского края (2003 г. ) |
| Расположен в: | |
| Список изменений: |
|
| Заменяет собой: |
|
| Нормативные ссылки: |








































































































































































Текстовое изменение № от 01.09.2003



































































