Информационная система
«Ёшкин Кот»

Скачать базу одним архивом
Скачать обновления
История создания базы
Карта сайта

Скачать ТЕР Краснодарского края 2001-26 Теплоизоляционные работы. Территориальные единичные расценки для определения стоимости строительных работ в Краснодарском крае

Дата актуализации: 10.08.2017

ТЕР Краснодарского края 2001-26

Теплоизоляционные работы. Территориальные единичные расценки для определения стоимости строительных работ в Краснодарском крае

Обозначение: ТЕР Краснодарского края 2001-26
Обозначение англ: 2001-26
Статус:действует
Название рус.:Теплоизоляционные работы. Территориальные единичные расценки для определения стоимости строительных работ в Краснодарском крае
Дата добавления в базу:01.09.2013
Дата актуализации:05.05.2017
Дата введения:01.09.2003
Область применения:Предназначен для определения прямых затрат в сметной стоимости строительных работ при выполнении теплоизоляционных работ, а также для расчетов за выполненные работы. Сборник ТЕР-2001-26 разработан в уровне базисных цен (Краснодарский край) по состоянию на 1 января 2000 года
Оглавление:Техническая часть
1. Общие указания
2. Правила исчисления объемов работ
Раздел 01. Теплоизоляционные работы
1. Изоляция горячих поверхностей
26-01-001 Изоляция трубопроводов конструкциями теплоизоляционными комплектными на основе цилиндров минераловатных на синтетическом связующем
26-01-002 Изоляция трубопроводов цилиндрами, полуцилиндрами
26-01-003 Изоляция трубопроводов цилиндрами и полуцилиндрами из минеральной ваты на синтетическом связующем
26-01-004 Изоляция трубопроводов изделиями (сегментами) минераловатными на битумном связующем
26-01-005 Изоляция поверхностей штучными теплоизоляционными изделиями: перлитоцементными, перлитовыми, вермикулитовыми, известково-кремнеземистыми
26-01-006 Изоляция трубопроводов холстами стекловолокнистыми, полотном холстопрошивным стекловолокнистым марок ПХС-Т, полотном игл опробивным стеклянным марки ИПС-Т
26-01-007 Изоляция трубопроводов шнурами
26-01-008 Изоляция трубопроводов матами и холстами из супертонкого волокна (стеклянного и базальтового), матами звукопоглощающими
26-01-009 Изоляция трубопроводов матами минераловатными
26-01-010 Изоляция трубопроводов матами минераловатными прошивными безобкладочными и в обкладках марки 125, изделиями минераловатными с гофрированной структурой, матами из стеклянного штапельного волокна
26-01-011 Изоляция плоских и криволинейных, фасонных поверхностей изделиями минераловатными и стекловатными
26-01-012 Изоляция арматуры и фланцевых соединений съемными полуфутлярами из матов минераловатных прошивных и листов алюминиевых сплавов
26-01-013 Изоляция арматуры и фланцевых соединений съемными полуфутлярами из матов минераловатных прошивных и листов оцинкованной стали
26-01-014 Изоляция арматуры и фланцевых соединений съемными полуфутлярами из матрацев минераловатных и листов алюминиевых сплавов, оцинкованной стали
26-01-015 Изоляция трубопроводов конструкциями теплоизоляционными полносборными на основе изделий из минеральной ваты или стеклянного штапельного волокна с покрытием из листов алюминиевых сплавов
26-01-016 Изоляция трубопроводов конструкциями теплоизоляционными полносборными на основе изделий из минеральной ваты или стеклянного штапельного волокна с покрытием сталью оцинкованной
26-01-017 Изоляция трубопроводов изделиями из вспененного каучука ("Армафлекс"), вспененного полиэтилена ("Термофлекс")
26-01-018 Изоляция плоских и криволинейных поверхностей пластинами (плитами) из вспененного каучука ("Армафлекс"), вспененного полиэтилена ("Термофлекс")
26-01-019 Изоляция арматурных и фланцевых соединений пластинами (плитами) из вспененного каучука ("Армафлекс"), вспененного полиэтилена ("Термофлекс")
26-01-020 Изоляция трубопроводов пенополиуретаном методом заливки под защитное металлическое покрытие из листов алюминиевых сплавов или стали оцинкованной листовой
26-01-021 Изоляция плоских и криволинейных поверхностей из пенополиуретана методом напыления
26-01-022 Изоляция поверхностей штучными изделиями из пенополиуретана
26-01-023 Установка металлических опорных колец
26-01-024 Асбоперлитовая изоляция поверхностей методом напыления
2. Изоляция холодных поверхностей строительных конструкций, холодильников теплоизоляционными изделиями
26-01-037 Изоляция холодных поверхностей изделиями из волокнистых и зернистых материалов на битуме
26-01-038 Устройство противопожарных поясов из ячеистых материалов на растворе
26-01-039 Изоляция покрытий и перекрытий изделиями из волокнистых и зернистых материалов насухо
26-01-040 Устройство противопожарных поясов из волокнистых и зернистых материалов на растворе
26-01-041 Изоляция холодных поверхностей изделиями из пенопласта
26-01-042 Установка дверей с тепловой изоляцией
3. Каркасы и отделка изоляции
26-01-048 Устройство каркаса изоляции
26-01-049 Покрытие поверхности изоляции трубопроводов листами алюминиевых сплавов, сталью оцинкованной, металлопластом
26-01-050 Покрытие поверхности изоляции трубопроводов фольгой алюминиевой дублированной
26-01-051 Покрытие поверхности изоляции трубопроводов стеклоцементом текстолитовым, стеклотекстолитом конструкционным
26-01-052 Покрытие поверхности изоляции трубопроводов стеклопластиками РСТ, тканями стеклянными, пленками ПХВ, армопластами
26-01-053 Покрытие изоляции плоских (криволинейных) и фасонных поверхностей листовым металлом с заготовкой покрытия
26-01-054 Покрытие поверхности изоляции рулонными материалами
26-01-055 Установка пароизоляционного слоя из пленки полиэтиленовой
26-01-056 Оштукатуривание поверхности изоляции асбоцементным раствором
Раздел 02. Огнезащита
1. Огнезащита металлоконструкций
26-02-001 Огнезащитное покрытие несущих металлоконструкций балок перекрытий, покрытий и ферм составом "Файэфлекс ТМ Крилак"
26-02-002 Огнезащитное покрытие несущих металлоконструкций балок перекрытий, покрытий и ферм составом "Файрекс-400"
26-02-003 Огнезащитное покрытие несущих металлоконструкций балок перекрытий, покрытий и ферм составом
26-02-004 Огнезащитное покрытие несущих металлоконструкций балок перекрытий, покрытий и ферм составом "УНИКУМ"
26-02-005 Огнезащитное покрытие несущих металлоконструкций воздуховодов составом ОФП-НВ -"КРАТ"
26-02-006 Огнезащитное покрытие несущих металлоконструкций комплексной огнезащитой "ЩИ Г-Г
26-02-007 Огнезащитное покрытие металлоконструкций воздуховодов приточно-вытяжных систем комплексной огнезащитой "ЩИТ-1В"
26-02-008 Огнезащитное покрытие металлоконструкций воздуховодов приточно-вытяжных систем составом "Файрекс-300"
2. Огнезащита деревянных конструкций
26-02-013 Огнезащитное покрытие деревянных конструкций мансард и элементов кровли составом "Файрекс-200"
26-02-014 Огнезащитное покрытие деревянных конструкций мансард и элементов кровли составом "АТТИК"
26-02-015 Огнезащитная обработка деревянных конструкций краской "Эврика"
26-02-016 Огнезащитная обработка деревянных конструкций огнезащитным лаком "Пиропласт-ХВ"
26-02-017 Огнезащитная пропитка деревянных конструкций мансард и элементов кровли составом "КЛОД-01"
3. Огнезащита кабелей и кабельных проходок
26-02-022 Огнезащитное покрытие кабелей составом "КЛ-Г
26-02-023 Огнезащитное уплотнение пустот кабельных проходок составом "Файрекс-600"
26-02-024 Устройство огнепреградительных поясов и уплотнение кабельных заделок подушками противопожарными уплотнительными "ППВ-1
4. Огнезащита прочих конструкций
26-02-029 Огнезащитное покрытие бетонных конструкций и железобетонных стен и перегородок составом "Монолит"
26-02-030 Огнезащитное уплотнение пустот конструкций межэтажных перекрытий, перегородок составом "Файрекс-500"
26-02-031 Огнезащитное покрытие стволов выхлопных труб
26-02-032 Устройство огнезащиты стеклянных поверхностей пленкой огнезащитной
26-02-033 Огнезащитная пропитка ковровых изделий, тканей, занавесей составом "КЛОД-02"
Приложение 1. Сборник сметных цен 1 машино-часа эксплуатации машин и механизмов, учтенных при разработке ТЕР
Приложение 2. Сборник сметных цен на строительные материалы, изделия и конструкции, учтенных при разработке ТЕР
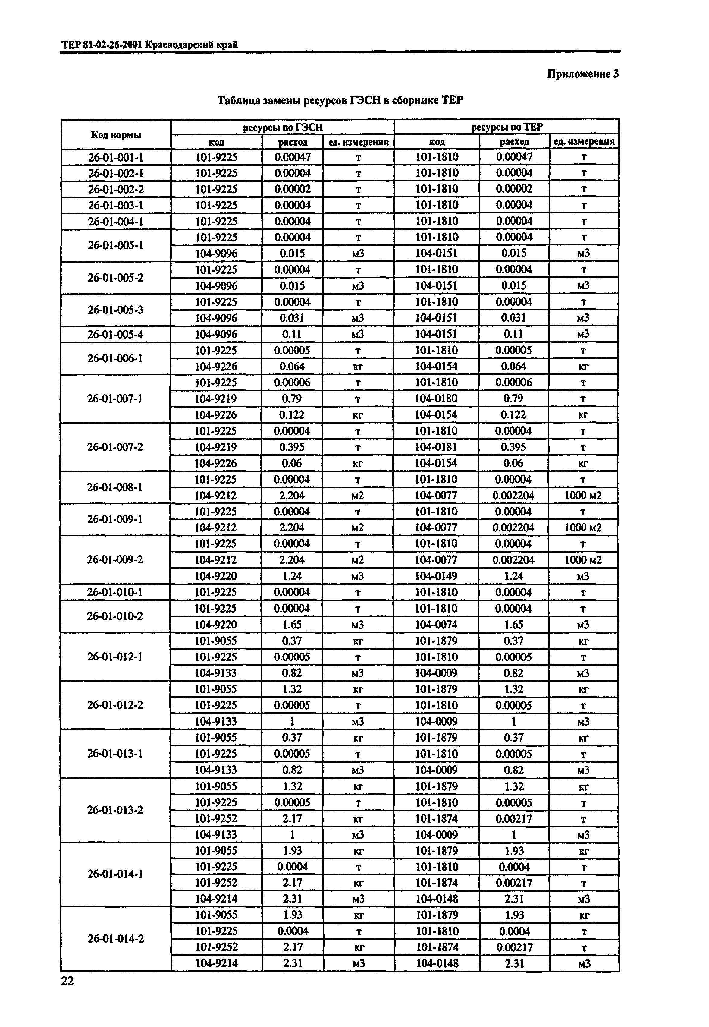
Приложение 3. Таблица замены ресурсов ГЭСН в сборнике ТЕР
Содержание
Разработан: Краснодарский краевой центр ценообразования в строительстве Кубаньстройцена
ОАО проектно-изыскательский институт Кубаньводпроект
Утверждён:01.09.2003 Администрация Краснодарского края
Издан: Администрация Краснодарского края (2003 г. )
Расположен в:Техническая документация Строительство Нормативные документы Нормативные документы субъектов Российской Федерации Нормативные документы Краснодарского края Документы Системы нормативных документов в строительстве Нормативные документы по экономике к.81 Ценообразование и сметы Классификатор ISO Нормативные документы по экономике Ценообразование и сметы
Заменяет собой:
ТЕР Краснодарского края 2001-26ТЕР Краснодарского края 2001-26ТЕР Краснодарского края 2001-26ТЕР Краснодарского края 2001-26ТЕР Краснодарского края 2001-26ТЕР Краснодарского края 2001-26ТЕР Краснодарского края 2001-26ТЕР Краснодарского края 2001-26ТЕР Краснодарского края 2001-26ТЕР Краснодарского края 2001-26ТЕР Краснодарского края 2001-26ТЕР Краснодарского края 2001-26ТЕР Краснодарского края 2001-26ТЕР Краснодарского края 2001-26ТЕР Краснодарского края 2001-26ТЕР Краснодарского края 2001-26ТЕР Краснодарского края 2001-26ТЕР Краснодарского края 2001-26ТЕР Краснодарского края 2001-26ТЕР Краснодарского края 2001-26ТЕР Краснодарского края 2001-26ТЕР Краснодарского края 2001-26ТЕР Краснодарского края 2001-26ТЕР Краснодарского края 2001-26ТЕР Краснодарского края 2001-26ТЕР Краснодарского края 2001-26

© 2013 Ёшкин Кот :-) Карта сайта