Информационная система
«Ёшкин Кот»

Скачать базу одним архивом
Скачать обновления
История создания базы
Карта сайта

Скачать ТЕРп Краснодарского края 2001-04 Подъемно-транспортное оборудование. Территориальные единичные расценки на пусконаладочные работы в Краснодарском крае

Дата актуализации: 10.08.2017

ТЕРп Краснодарского края 2001-04

Подъемно-транспортное оборудование. Территориальные единичные расценки на пусконаладочные работы в Краснодарском крае

Обозначение: ТЕРп Краснодарского края 2001-04
Обозначение англ: 2001-04
Статус:действует
Название рус.:Подъемно-транспортное оборудование. Территориальные единичные расценки на пусконаладочные работы в Краснодарском крае
Дата добавления в базу:01.09.2013
Дата актуализации:05.05.2017
Дата введения:01.09.2003
Оглавление:Техническая часть
Отдел 01. Подъёмно-транспортное оборудование прерывного действия
Вводные указания
Раздел 1. Краны подвесные электрические однобалочные
04-01-001 Краны однопролетные. управление с пола, высота подъема - 6, 12. 18 м скорость: подъема - 8 м/мин. передвижения тали - 20 м/мин. передвижения крана - 32 м/мин
04-01-002 Краны двухпролетные, управление с пола, высота подъема - 6, 12, 18 м, скорость- подъема - 8 м/мин. передвижения тали - 20 м/мин. передвижения крана - 32 м/мин
Раздел 2. Краны мостовые электрические общего назначения
04-01-007 Краны мостовые электрические, высота подъема - 16 м, скорость: подъема - 2,2 - 19.2 м/мин. передвижения тележки - 19.2 - 43 м/мин, передвижения крана - 37.8 - 120 м/мин
04-01-008 Краны мостовые электрические, высота подъема: главного крюка - 4-45 м, вспомогательного крюка- 9,64-21,45 м; скорость: подъема главного крюка - 1,92-21,3 м/мин, подъема вспомогательного крюка - 9,6-21.3 м/мин, передвижения тележки - 19,2-48 м/мин, передвижения крана - 48-120 м/мин
04-01-009 Краны мостовые электрические, высота подъёма: главного крюка-25-32 м, вспомогательного кркжа-27-34 м; скорость: подъёма главного крюка-1,2-7.5 м/мин, подъема вспомогательного крюка-1,2-12,5 м/мин. передвижения тележки-12-40 м/мин. передвижения крана-30-80
04-01-010 Краны мостовые электрические, высота подъема: главного крюка - 25-32 м, вспомогательного крюка - 27-34 м; скорость: подъема главного крюка - 0,378-4,8 м/мин, подъема вспомогательного крюка - 7.5 м/мин, передвижения тележки - 12-37,8 м/мин. передвижения крана - 19,2-75 м/мин
Раздел 3. Краны мостовые электрические грейферные
04-01-015 Краны мостовые грейферные, высота подъема - 20-25 м. скорость: подъема и замыкания грейфера - 37,8-48 м/мин, передвижения тележки - 37,8-48 м/мин, передвижения крана -75-120 м/мин
Раздел 4. Краны козловые электрические
04-01-020 Краны козловые, высота подъема 10 м, скорость: подъема 12 м/мин, передвижения тележки - 38.7 м/мин. передвижения крана - 60 м/мин
04-01-021 Краны козловые, высота подъема: главного крюка - 10.5 м. вспомогательного крюка -11,26 м: скорость: подъема главного крюка - 8.9 м/мин. подъема вспомогательного крюка -18.8 м/мин. передвижения тележки - 34.8 м/мин. передвижения крана - 46.4 м/мин
04-01-022 Краны козловые контейнерные, высота подъема - 9 м, скорость: подъема 19,2/2,4 м/мин, передвижения тележки - 60/6 м/мин. передвижения крана - 120/12 м/мин
04-01-023 Краны козловые контейнерные, высота подъема - 8,5/3 м, скорость: подъема - 9.6/3 м/мин, передвижения тележки - 39,6/11,4 м/мин, передвижения крана - 49,8 м/мин
04-01-024 Краны козловые грейферные, высота подъема - 8,2 м, скорость: подъема - 37,9 м/мин. передвижения тележки - 35,4 м/мин. передвижения крана - 71.4 м/мин
Раздел 5. Краны- штабелеры электрические
04-01-029 Краны - штабелеры мостовые опорные, управление с пола, высота подъема груза 5,2-5.5 м. скорость: подъема груза - 0,2 м/с, передвижения тележки - 0,3 м/с, передвижения крана -0.8 м/с
04-01-030 Краны - штабелеры мостовые опорные, управление из кабины, высота: подъема груза - 9.5 м, надземного рельсового пути кранового - 10,55 м, скорость, м/с: подъема груза - 0,25-0,37, передвижения тележки - 0.5-0,54, передвижения крана - 1,6
Раздел 6. Краны ручные
04-01-035 Краны мостовые однобалочные подвесные, пролет до 9 м, высота подъема - 3-12 м, скорость: подъема - 0,25-0,47 м/мин, передвижения тележки - 5.3-7,3 м/мин, передвижения крана - 3.4-4.65 м/мин
04-01-036 Краны мостовые однобалочные опорные, пролет до 10,5 м, высота подъема - 12 м, скорость: подъема - 0.15 м/мин. передвижения тали - 5,3-6,9 м/мин, передвижения крана - 5.1-16.4 м/мин
04-01-037 Краны мостовые двухбалочные опорные, пролет до 16.5 м, высота подъема - 12 м, скорость: подъема - 0,07 м/мин, передвижения тали - 3,3 м/мин, передвижения крана - 2.7 м/мин
Отдел 02. Транспортные механизмы непрерывного действия
Вводные указания
Разде.11. Конвейеры ленточные стационарные общего назначения
Вводные указания
04-02-001 Конвейеры ленточные, скорость ленты - 0.63-2,6 м/с, ширина ленты - 500 мм
04-02-002 Конвейеры ленточные, скорость ленты - 0,8-3.15 м/с, ширина ленты - 650 мм
04-02-003 Конвейеры ленточные, скорость ленты - 0.8-4 м/с, ширина ленты - 800 мм
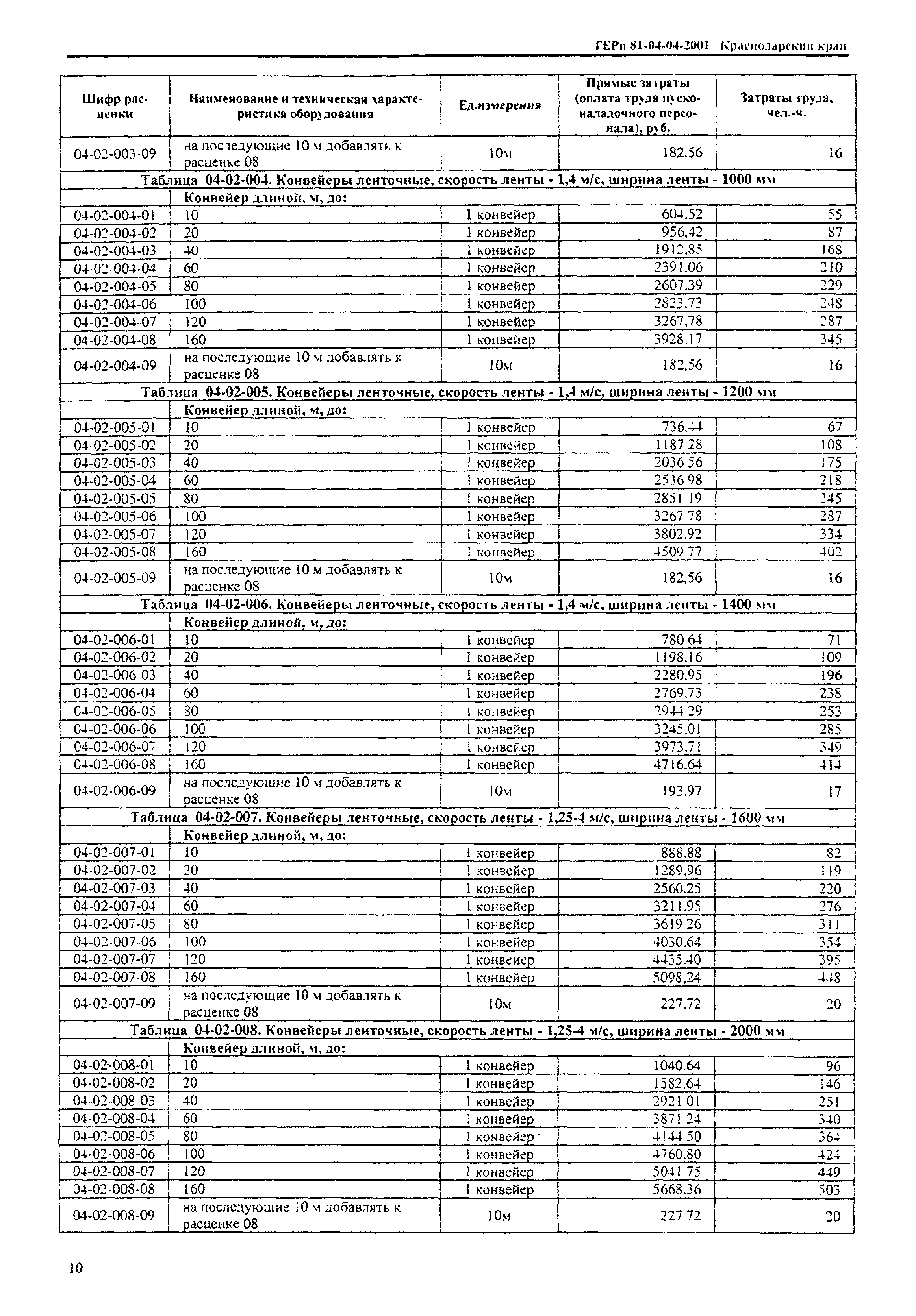
04-02-004 Конвейеры ленточные, скорость ленты - 1.4 .м/с, ширина ленты - 1000 мм
04-02-005 Конвейеры ленточные, скорость ленты - 1.4 м/с, ширина ленты - 1200 мм
04-02-006 Конвейеры ленточные, скорость ленты - 1.4 м/с, ширина ленты - 1400 мм
04-02-007 Конвейеры ленточные, скорость ленты - 1.25-4 м/с, ширина ленты - 1600 мм
04-02-008 Конвейеры ленточные, скорость ленты - 1.25-4 м/с, ширина ленты - 2000 мм
Раздел 2. Конвейеры ленточные передвижные
Вводные указания
04-02-013 Конвейеры ленточные, скорость движения, м/с: конвейера - 0.3: ленты - 1-3.15; производительность - 195-615 м3/ч, ширина ленты - 800 мм
04-02-014 Конвейеры ленточные, скорость движения, м/с: конвейера - 0,3; ленты - 1-3,15: производительность - 300-945 м3/ч, ширина ленты - 1000 мм
04-02-015 Конвейеры ленточные, скорость движения, м/с: конвейера - 0,3: ленты - 1.25-3.15; производительность - 440-1385 м3/ч. Ширина ленты - 1200 мм
04-02-016 Конвейеры ленточные, скорость движения, м/с- конвейера - 0.3; ленты - 1,25-3.15; производительность - 600-1590 м3/ч. Ширина ленты - 1400 мм
Раздел 3. Конвейеры пластинчатые стационарные
Вводные указания
04-02-021 Конвейеры пластинчатые, ширина полотна - 800 мм. скорость движения - 0.036-0,5 м/с
04-02-022 Конвейеры пластинчатые, ширина полотна - 1000 мм, скорость движения - 0,036-0,5 м/с
04-02-023 Конвейеры пластинчатые, ширина полотна - 1200 мм. скорость движения - 0,027-0.5 м/с
Раздел 4. Конвейеры винтовые
Вводные указания
04-02-028 Конвейеры винтовые, диаметр винта - 160-200 мм, шаг винта - 160-200 мм
04-02-029 Конвейеры винтовые, диаметр винта - 315-400 мм, шаг винта - 315-400 мм
Раздел 5. Конвейеры скребковые
Вводные указания
04-02-035 Конвейеры скребковые, скорость движения тяговой цепи - 0.5-0.63 м/с, ширина скребка -650 мм, высота скребка - 250 мм
04-02-036 Конвейеры скребковые, скорость движения тяговой цепи - 0.5-0,63 м/с, ширина скребка -800 мм, высота скребка - 250 мм
04-02-037 Конвейеры скребковые, скорость движения тяговой цепи - 0.5-0.63 м/с, ширина скребка -1000 мм, высота скребка - 250 мм
Раздел 6. Конвейеры скребковые с погружными скребками
Вводные указания
04-02-042 Конвейеры скребковые, ширина коробки в свету - 200-320 мм
04-02-043 Конвейеры скребковые, ширина коробки в свету - 400-500 мм
04-02-044 Конвейеры скребковые, ширина коробки в свету - 650 мм
Раздел 7. Конвейеры подвесные толкающие
Вводные указания
04-02-049 Каретки
04-02-050 Цени
04-02-051 Приводы
04-02-052 Устройства натяжные
04-02-053 Пути прямые (наклонные)
04-02-054 Участки пути ремонтные, стыки раздвижные
04-02-055 Изгибы
04-02-056 Стрелки (передачи)
04-02-057 Подвижной состав
04-02-058 Остановы
04-02-059 Стопоры
04-02-060 Узлы подготовки воздуха (пневмоблоки)
04-02-062 Пневмоприводы
04-02-062 Тормоз, ловители
04-02-063 Датчики
04-02-064 Адресователи (считыватели)
04-02-065 Секции подъема и опускания
Раздел 8. Конвейеры подвесные грузонесущие
Вводные указания
04-02-070 Каретки
04-02-071 Цепи тяговые
04-02-072 Приводы
04-02-073 Устройства натяжные
04-02-074 Изгибы
04-02-075 Ловители
Раздел 9. Элеваторы вертикальные ковшовые цепные
Вводные указания
04-02-080 Элеваторы ковшовые, производительностью - 28. 50, 80 м3/ч, скорость движения ходовой части - 0.54-0.63 м/с, шаг ковшей - 200, 250. 320 мм
04-02-081 Элеваторы ковшовые, производительностью - 88. 138 м3/ч, скорость движения ходовой части - 0.5 м/с, ширине ковша - 650, 800 мм
04-02-082 Элеваторы ковшовые, производительностью - 220 м3/ч, скорость движения ходовой части - 0.5 м/с, ширина ковша - 1000 мм
Отдел 03. Подвесные канатные дороги
Вводные указания
Раздел 1. Подвесные грузовые канатные дороги
04-03-001 Подготовительные и заключительные работы
04-03-002 Приводы
04-03-003 Канаты несущие
04-03-004 Канаты тяговые
04-03-005 Пролеты сетевые
04-03-006 Канаты расчалочные
04-03-007 Станции партерного типа
04-03-008 Станции мачтового типа на расчалках
04-03-009 Эстакады и переходы жесткие
04-03-010 Опоры
04-03-011 Подвижной состав
04-03-012 Комплексное обследование канатной дороги
Раздел 2. Подвесные пассажирские канатные дороги
04-03-017 Подготовительные и заключительные работы
04-03-018 Канаты дорог подвесных маятниковых двухканатных
04-03-019 Канаты дорог подвесных кольцевых однокатанных
04-03-020 Приводы
04-03-021 Станции
04-03-022 Опоры
04-03-023 Подвижной состав и буксировочные устройства
04-03-024 Комплексное опробование подвесной канатной дороги
Содержание
Разработан: Краснодарский краевой центр ценообразования в строительстве Кубаньстройцена
Утверждён:01.09.2003 Администрация Краснодарского края
Издан: Краснодарский краевой центр ценообразования в строительстве Кубаньстройцена (2003 г. )
Расположен в:Техническая документация Экология СТРОИТЕЛЬНЫЕ МАТЕРИАЛЫ И СТРОИТЕЛЬСТВО Строительная промышленность Стоимость строительства и обслуживания зданий и сооружений -50 Стоимость строительных и строительно-монтажных работ Строительство Нормативные документы Нормативные документы субъектов Российской Федерации Нормативные документы Краснодарского края Документы Системы нормативных документов в строительстве Нормативные документы по экономике к.81 Ценообразование и сметы Классификатор ISO Нормативные документы по экономике Ценообразование и сметы
Заменяет собой:
ТЕРп Краснодарского края 2001-04ТЕРп Краснодарского края 2001-04ТЕРп Краснодарского края 2001-04ТЕРп Краснодарского края 2001-04ТЕРп Краснодарского края 2001-04ТЕРп Краснодарского края 2001-04ТЕРп Краснодарского края 2001-04ТЕРп Краснодарского края 2001-04ТЕРп Краснодарского края 2001-04ТЕРп Краснодарского края 2001-04ТЕРп Краснодарского края 2001-04ТЕРп Краснодарского края 2001-04ТЕРп Краснодарского края 2001-04ТЕРп Краснодарского края 2001-04ТЕРп Краснодарского края 2001-04ТЕРп Краснодарского края 2001-04ТЕРп Краснодарского края 2001-04ТЕРп Краснодарского края 2001-04ТЕРп Краснодарского края 2001-04ТЕРп Краснодарского края 2001-04ТЕРп Краснодарского края 2001-04ТЕРп Краснодарского края 2001-04ТЕРп Краснодарского края 2001-04ТЕРп Краснодарского края 2001-04ТЕРп Краснодарского края 2001-04

© 2013 Ёшкин Кот :-) Карта сайта