Скачать ТЕР Краснодарского края 2001-05 Свайные работы. Опускные колодцы. Закрепление грунтов. Книга I. Территориальные единичные расценки для определения стоимости строительных работ в Краснодарском краеДата актуализации: 10.08.2017 ТЕР Краснодарского края 2001-05
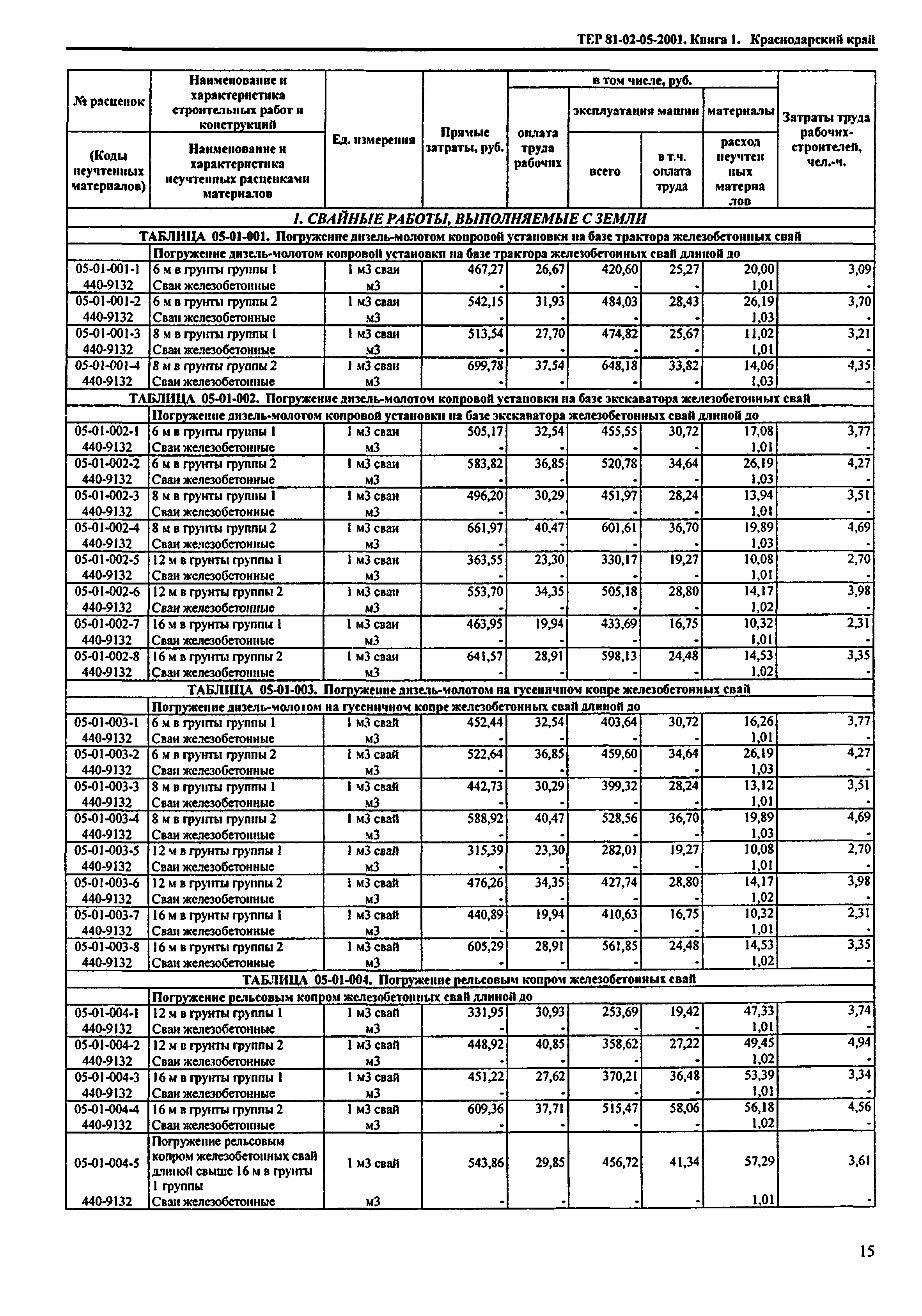
Свайные работы. Опускные колодцы. Закрепление грунтов. Книга I. Территориальные единичные расценки для определения стоимости строительных работ в Краснодарском краеОбозначение: | ТЕР Краснодарского края 2001-05 | Обозначение англ: | 2001-05 | Статус: | действует | Название рус.: | Свайные работы. Опускные колодцы. Закрепление грунтов. Книга I. Территориальные единичные расценки для определения стоимости строительных работ в Краснодарском крае | Дата добавления в базу: | 01.09.2013 | Дата актуализации: | 05.05.2017 | Дата введения: | 01.09.2003 | Область применения: | Предназначен для определения прямых затрат в сметной стоимости строительных работ при выполнении свайных работ при строительстве зданий и сооружений любого назначения на всех видах строительства и в различных условиях (с земли и плавучих средств), для выполнения работ по сооружению опускных колодцев на всех видах строительства и закреплению грунтов способами цементации (цементными и цементно-песчаными растворами), силикатизации, смолизации с целью повышения их прочности, устойчивости и водонепроницаемости на всех видах строительства, а также для расчетов за выполненные работы. Сборник ТЕР-2001-05 разработан в уровне базисных цен (Краснодарский край) по состоянию на 1 января 2000 года | Оглавление: | Техническая часть Общие указания Раздел 01. Свайные работы Техническая часть 1. Общие указания 2. Правила исчисления объемов работ 3. Коэффициенты к расценкам 1. Свайные работы, выполняемые с земли 05-01-001 Погружение дизель-молотом копровой установки на базе трактора железобетонных свай 05-01-002 Погружение дизель-молотом копровой установки на базе экскаватора железобетонных свай 05-01-003 Погружение дизель-молотом на гусеничном копре железобетонных свай 05-01-004 Погружение рельсовым копром железобетонных свай 05-01-005 Погружение вибропогружателем железобетонных свай 05-01-006 Наращивание сплошных железобетонных свай квадратного сечения 05-01-007 Погружение вибропогружателем железобетонных свай-оболочек с извлечением грунта из полости диаметром до 2 м 05-01-008 Погружение вибропогружателем железобетонных спай-оболочек с извлечением грунта из полости диаметром до 3 м 05-01-009 Заполнение бетоном полых свай и свай-оболочек 05-01-010 Вырубка бетона из арматурного каркаса железобетонных свай 05-01-011 Погружение дизель-молотом копровой установки на базе трактора стальных свай шпунтового ряда 05-01-012 Погружение вибропогружателем стальных свай шпунтового ряда 05-01-013 Извлечение стальных свай шпунтового ряда 05-01-014 Крепление шпунтового ряда ограждения котлованов под опоры мостов 05-01-015 Погружение деревянных свай в мостостроении 05-01-016 Обстройка деревянного шпунтового ряда (шапочный брус и парные схватки на шпунтовой стенке) 05-01-017 Устройство и разборка подмостей под копер 05-01-018 Погружение железобетонных свай-колонн длиной до 6 м и до 8 м агрегатами копровыми 05-01-019 Погружение железобетонных свай-колонн длиной до 6 м и до 8 м копрами гусеничными 05-01-020 Погружение железобетонных свай-колонн длиной до 10 м и до 12 м агрегатами копровыми 05-01-021 Погружение железобетонных свай-колонн длиной до 10 м и до 12 м копрами гусеничными 05-01-022 Погружение железобетонных свай-колонн длиной до 14 м и до 16 м агрегатами копровыми 05-01-023 Погружение железобетонных свай-колонн длиной до 14 м и до 16 м копрами гусеничными 05-01-024 Погружение безростверковых железобетонных свай агрегатами копровыми 05-01-025 Погружение безростверковых железобетонных свай копрами 1усеничиыми 05-01-026 Установка железобетонных насадок-стаканов 05-01-027 Погружение одиночных составных железобетонных свай 05-01-028 Устройство буронабивных свай в сухих устойчивых фунтах с бурением скважин вращательным (ковшовым) способом 05-01-029 Устройство железобетонных буронабивных свай с бурением скважин вращательным (шнековым) способом 05-01-030 Устройство железобетонных буронабивных свай диаметром до 630 мм с бурением скважин ударно-канатным способом 05-01-031 Устройство железобетонных буронабивных свай диаметром до 720 мм с бурением скважин ударно-канатным способом 05-01-032 Устройство железобетонных буронабивных свай диаметром до 820 мм с бурением скважин ударно-канатным способом 05-01-033 Устройство железобетонных буронабивных свай диаметром до 1020 мм с бурением скважин ударно-канатным способом 05-01-034 Устройство железобетонных буронабивных свай диаметром 500-600 мм в устойчивых фунтах 2 группы установкой СБУ 05-01-035 Устройство железобетонных буронабивных свай диаметром 700-800 мм в устойчивых фунтах 2 группы установкой СБУ 05-01-036 Устройство железобетонных буронабивных свай диаметром 900-1000 мм в устойчивых фунтах 2 группы установкой СБУ 05-01-037 Устройство железобетонных буронабивных свай диаметром 500-600 мм с уширением до 1400 мм в устойчивых грунтах 2 группы установкой СБУ 05-01-038 Устройство железобетонных буронабивных свай диаметром 700-800 мм с уширением до 1800 мм в устойчивых грунтах 2 группы установкой СБУ 05-01-039 Устройство железобетонных буронабивных свай диаметром 900-1000 мм с уширением до 1800 мм в устойчивых грунтах 2 группы установкой СБУ 05-01-040 Устройство железобетонных буронабивных свай в неустойчивых фунтах вращательным (роторным) способом бурения скважин с подачей глинистого раствора 05-01-041 Устройство железобетонных буронабивных свай диаметром 500-600 мм в неустойчивых водонасыщенных грунтах 2 группы установкой СБУ 05-01-042 Устройство железобетонных буронабивных свай диаметром 700-800 мм в неустойчивых водонасыщенных грунтах 2 группы установкой СБУ 05-01-043 Устройство железобетонных буронабивных свай диаметром 900-1000 мм в неустойчивых водонасыщенных грунтах 2 группы установкой СБУ 05-01-044 Устройство железобетонных буронабивных свай диаметром 500-600 мм с уширением до 1400 мм в неустойчивых водонасыщенных грунтах 2 группы установкой СБУ 05-01-045 Устройство железобетонных буронабивных свай диаметром 700-800 мм с уширением до 1800 мм в неустойчивых водонасыщенных грунтах 2 группы установкой СБУ 05-01-046 Устройство железобетонных буронабивных свай диаметром 900-1000 мм с уширением до 1800 мм в неустойчивых водонасыщенных грунтах 2 группы установкой СБУ 05-01-047 Бурение скальных пород 5 группы под основание свай-оболочек 05-01-048 Бурение ударно-канатным способом скважин диаметром 250 мм, 300 мм 05-01-049 Бурение ударно-канатным способом скважин диаметром 350 мм, 400 мм, 450 мм 05-01-050 Бурение ударно-канатным способом скважин диаметром 500 мм, 550 мм, 600 мм 05-01-051 Бурение ударно-канатным способом скважин диаметром 650 мм. 700 мм 05-01-052 Бурение скважин диаметром 250 мм вращательным (роторным) способом 05-01-053 Бурение скважин диаметром 300 мм вращательным (роторным) способом 05-01-054 Бурение скважин диаметром 350 мм вращательным (роторным) способом 05-01-055 Бурение скважин диаметром 450 мм вращательным (роторным) способом 05-01-056 Бурение скважин диаметром 500 мм вращательным (роторным) способом 05-01-057 Бурение скважин диаметром 600 мм вращательным (роторным) способом 05-01-058 Бурение скважин диаметром 700 мм вращательным (роторным) способом 05-01-059 Бурение скважин вращательным (ковшевым) способом 05-01-060 Бурение уширения основания скважины для буронабивных железобетонных свай 05-01-061 Установка в скважину арматурного каркаса 05-01-062 Бетонирование свай 05-01-063 Заполнение раствором пустот между стенкой скважины и телом сваи 05-01-064 Разработка траншей глубиной до 10 м установкой с плоским грейфером 05-01-065 Разработка траншей глубиной до 15 м установкой с плоским грейфером 05-01-066 Разработка траншей глубиной до 7 м экскаватором "обратная лопата" 05-01-067 Устройство траншей под глинистым раствором шириной 0,5 м, глубиной 20 м широкозахватным грейфером на базе экскаватора 05-01-068 Устройство траншей под глинистым раствором шириной 0,5 м, глубиной до 50 м барражной машиной 05-01-069 Укладка в траншею противофильтрационных материалов 05-01-070 Устройство завес 05-01-071 Наращивание железобетонных свай и панелей 05-01-072 Установка и извлечение железобетонных ограничителей захваток 05-01-073 Установка свай в скважину 05-01-074 Устройство железобетонных буронабивных свай диаметром 800 мм глубиной до 30 метров агрегатами типа "Bauer BG-25", "Juntt an PM26" 05-01-075 Устройство железобетонных буронабивных свай диаметром 1000 мм глубиной до 30 метров агрегатами типа "Bauer BG-25", "Junttan PM26" 05-01-076 Устройство железобетонных буронабивных свай диаметром 1200 мм глубиной до 30 метров агрегатами типа "Bauer BG-25", "Junttan PM26" 05-01-077 Устройство железобетонных буронабивных свай диаметром 1500 мм глубиной до 30 метров агрегатами типа "Bauer BG-25", "Junttan PM26" 05-01-078 Устройство железобетонных буронабивных свай диаметром 1700 мм глубиной до 30 метров агрегатами типа "Bauer BG-25", "Junttan PM26" 05-01-079 Устройство железобетонных буронабивных свай диаметром 2000 мм глубиной до 70 метров агрегатом типа "Liebherr HS 883 HD/VRM" Раздел 02. Опускные колодцы Техническая часть 1. Общие указания 2. Правила исчисления объемов работ 3. Коэффициенты к расценкам 05-02-001 Возведение конструкций стен и ножа монолитных железобетонных опускных колодцев 05-02-002 Устройство дренирующего слоя 05-02-003 Устройство монолитного днища колодца 05-02-004 Возведение стен сборных железобетонных опускных колодцев 05-02-005 Устройство форшахты 05-02-006 Опускание железобетонных колодцев с разработкой грунта экскаватором и выдачей грунта башенным краном в бункер 05-02-007 Опускание колодцев с разработкой грунта способом гидромеханизации, краном с грейфером 05-02-008 Приготовление и подача глинистого раствора в застенное пространство колодца при его опускании Раздел 03. Закрепление грунтов Техническая часть 1. Общие указания 2. Правила исчисления объемов работ 3. Коэффициенты к расценкам 05-03-001 Цементация грунтов 05-03-002 Ликвидация скважин 05-03-003 Забивка и извлечение инъекторов 05-03-004 Силикатизация и смолизация Приложение 1. Сборник сметных цен 1 машино-часа эксплуатации машин и механизмов, учтенных при разработке ТЕР Приложение 2. Сборник сметных цен на строительные материалы, изделия и конструкции, учтенных при разработке ТЕР Приложение 3. Таблица замены ресурсов ГЭСН в сборнике ТЕР Содержание | Разработан: | Краснодарский краевой центр ценообразования в строительстве Кубаньстройцена
| Утверждён: | 01.09.2003 Администрация Краснодарского края
| Издан: | Администрация Краснодарского края (2003 г. )
| Расположен в: |
| Заменяет собой: | |
                                                                           
|