Информационная система
«Ёшкин Кот»

Скачать базу одним архивом
Скачать обновления
История создания базы
Карта сайта

Скачать МР 18.1.04-2005 Методические рекомендации. Система контроля качества результатов анализа проб объектов окружающей среды

Дата актуализации: 10.08.2017

МР 18.1.04-2005

Методические рекомендации. Система контроля качества результатов анализа проб объектов окружающей среды

Обозначение: МР 18.1.04-2005
Обозначение англ: MP 18.1.04-2005
Статус:действует
Название рус.:Методические рекомендации. Система контроля качества результатов анализа проб объектов окружающей среды
Дата добавления в базу:01.09.2013
Дата актуализации:05.05.2017
Область применения:Рекомендации предназначены для оказания методической помощи аналитическим (измерительным, испытательным) лабораториям в организации и проведении работ по обеспечению качества результатов определения состава и свойств объектов окружающей среды, в первую очередь разных типов вод, осадков, почв
Оглавление:1. Общие положения
2. Система обеспечения качества аналитических работ в лаборатории
3. Корректирующие мероприятия
4. Оформление результатов
 Приложение А (библиография)
Приложение Б. Предупреждающие и контрольные процедуры для обеспечения достоверности микробиологического анализа
Приложение В. Термины, их определения и сокращения
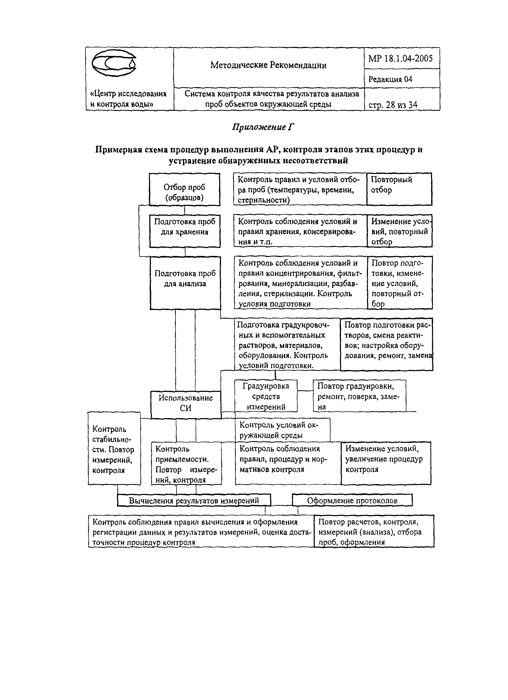
Приложение Г. Примерная схема процедур выполнения АР, контроля этапов этих процедур и устранение обнаруженных несоответствий
Приложение Д. Примерная схема предупреждающих действий и корректирующих мероприятий
Приложение Е. Примеры контрольных карт
Разработан: Центр исследований и контроля воды (ЦИКВ)
Расположен в:Техническая документация Экология ОХРАНА ОКРУЖАЮЩЕЙ СРЕДЫ, ЗАЩИТА ЧЕЛОВЕКА ОТ ВОЗДЕЙСТВИЯ ОКРУЖАЮЩЕЙ СРЕДЫ. БЕЗОПАСНОСТЬ Качество воды Качество воды в целом Автомобильные дороги Разработка разделов проектной документации Инженерно-экологические изыскания Правовое регулирование вопросов по охране окружающей среды III Нормативные документы органов надзора Нормативные документы Министерства охраны окружающей среды Строительство Нормативные документы Нормативные документы органов надзора Нормативные документы Министерства охраны окружающей среды и природных ресурсов Российской Федерации
Нормативные ссылки:
МР 18.1.04-2005МР 18.1.04-2005МР 18.1.04-2005МР 18.1.04-2005МР 18.1.04-2005МР 18.1.04-2005МР 18.1.04-2005МР 18.1.04-2005МР 18.1.04-2005МР 18.1.04-2005МР 18.1.04-2005МР 18.1.04-2005МР 18.1.04-2005МР 18.1.04-2005МР 18.1.04-2005МР 18.1.04-2005МР 18.1.04-2005МР 18.1.04-2005МР 18.1.04-2005МР 18.1.04-2005МР 18.1.04-2005МР 18.1.04-2005МР 18.1.04-2005МР 18.1.04-2005МР 18.1.04-2005МР 18.1.04-2005МР 18.1.04-2005МР 18.1.04-2005МР 18.1.04-2005МР 18.1.04-2005МР 18.1.04-2005МР 18.1.04-2005МР 18.1.04-2005МР 18.1.04-2005

© 2013 Ёшкин Кот :-) Карта сайта