Информационная система
«Ёшкин Кот»

Скачать базу одним архивом
Скачать обновления
История создания базы
Карта сайта

Скачать СТ ЦКБА 026-2005 Арматура трубопроводная. Термическая обработка заготовок из углеродистых и легированных конструкционных сталей. Типовой технологический процесс

Дата актуализации: 10.08.2017

СТ ЦКБА 026-2005

Арматура трубопроводная. Термическая обработка заготовок из углеродистых и легированных конструкционных сталей. Типовой технологический процесс

Обозначение: СТ ЦКБА 026-2005
Обозначение англ: 026-2005
Статус:действует
Название рус.:Арматура трубопроводная. Термическая обработка заготовок из углеродистых и легированных конструкционных сталей. Типовой технологический процесс
Дата добавления в базу:01.09.2013
Дата актуализации:05.05.2017
Дата введения:01.01.2006
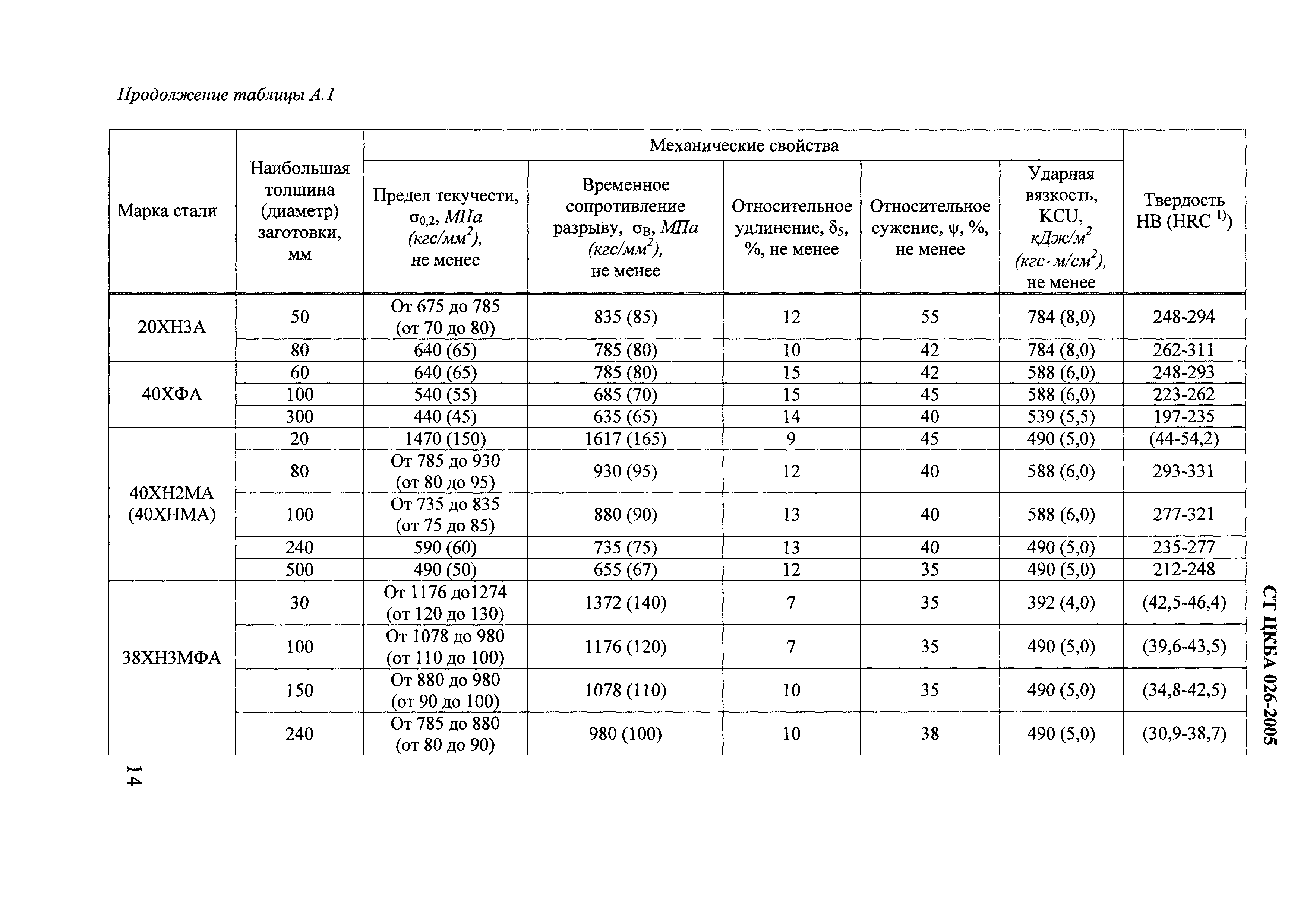
Область применения:Стандарт содержит основные технологические указания по термической обработке кованых и катаных заготовок для деталей трубопроводной арматуры из углеродистых и легированных сталей марок: Ст3сп, Ст3пс, Ст5 по ГОСТ 380, сталь 20, 25, 35, 40, 45 по ГОСТ 1050, 09Г2С, 10ХСНД по ГОСТ 19281, 08ГДНФ по ТУ 108-11-514, 10Г2, 20Х, 30Х, 35Х, 40Х, 18ХГ, 30ХМА, 35ХМ, 20ХНЗА, 40ХФА, 40ХН2МА (40ХНМА), 38ХН3МФА, 18Х2Н4МА (18Х2Н4ВА), 38Х2МЮА (38ХМЮА), 15ХМ по ГОСТ 4543, 12Х1МФ (12ХМФ), 18Х3МВ (ЭИ578, Н8), 25Х1МФ (ЭИ10), 20Х3МВФ (ЭИ415, ЭИ579), 15Х5М (Х5М, 12Х5МА) по ГОСТ 20072, 20ЮЧ по ТУ 14-1-3332
Оглавление:1. Область применения
2. Нормативные ссылки
3. Режимы термической обработки
4. Оформление документации
Приложение А. Механические свойства углеродистых и легированных конструкционных сталей в зависимости от толщины (диаметра) заготовки
Приложение Б. Методика расчета времени нагрева садки
Приложение В. Продолжительность охлаждения изделий больших сечений в охлаждающих средах при закалке
Приложение Г. Примечания к измерениям твердости по шкале "С" Роквелла
Библиография
Разработан: ЗАО НПФ ЦКБА
Утверждён:10.06.2005 ЗАО НПФ ЦКБА (29)
Принят: Техническим комитетом по стандартизации Трубопроводная арматура и сильфоны (ТК 259)
19.07.2005 ФГУП ЦНИИКМ Прометей (6-11/984)
Издан: НПФ ЦКБА (2005 г. )
Расположен в:Техническая документация
Список изменений:
Заменяет собой:
Нормативные ссылки:
СТ ЦКБА 026-2005СТ ЦКБА 026-2005СТ ЦКБА 026-2005СТ ЦКБА 026-2005СТ ЦКБА 026-2005СТ ЦКБА 026-2005СТ ЦКБА 026-2005СТ ЦКБА 026-2005СТ ЦКБА 026-2005СТ ЦКБА 026-2005СТ ЦКБА 026-2005СТ ЦКБА 026-2005СТ ЦКБА 026-2005СТ ЦКБА 026-2005СТ ЦКБА 026-2005СТ ЦКБА 026-2005СТ ЦКБА 026-2005СТ ЦКБА 026-2005СТ ЦКБА 026-2005СТ ЦКБА 026-2005СТ ЦКБА 026-2005СТ ЦКБА 026-2005

Текстовое изменение № 2 от 01.04.2010

№ 2№ 2

Текстовое изменение № 1 от 01.01.2009

№ 1№ 1

Текстовое изменение № 3 от 01.04.2017

№ 3№ 3№ 3№ 3№ 3№ 3№ 3№ 3№ 3№ 3№ 3

© 2013 Ёшкин Кот :-) Карта сайта