Информационная система
«Ёшкин Кот»

Скачать базу одним архивом
Скачать обновления
История создания базы
Карта сайта

Скачать РД 24.207.08-90 Арматура трубопроводная. Ходовые резьбовые пары. Основные размеры и технические требования. Рекомендации по применению

Дата актуализации: 10.08.2017

РД 24.207.08-90

Арматура трубопроводная. Ходовые резьбовые пары. Основные размеры и технические требования. Рекомендации по применению

Обозначение: РД 24.207.08-90
Обозначение англ: RD 24.207.08-90
Статус:заменен
Название рус.:Арматура трубопроводная. Ходовые резьбовые пары. Основные размеры и технические требования. Рекомендации по применению
Дата добавления в базу:01.09.2013
Дата актуализации:05.05.2017
Дата введения:01.10.2008
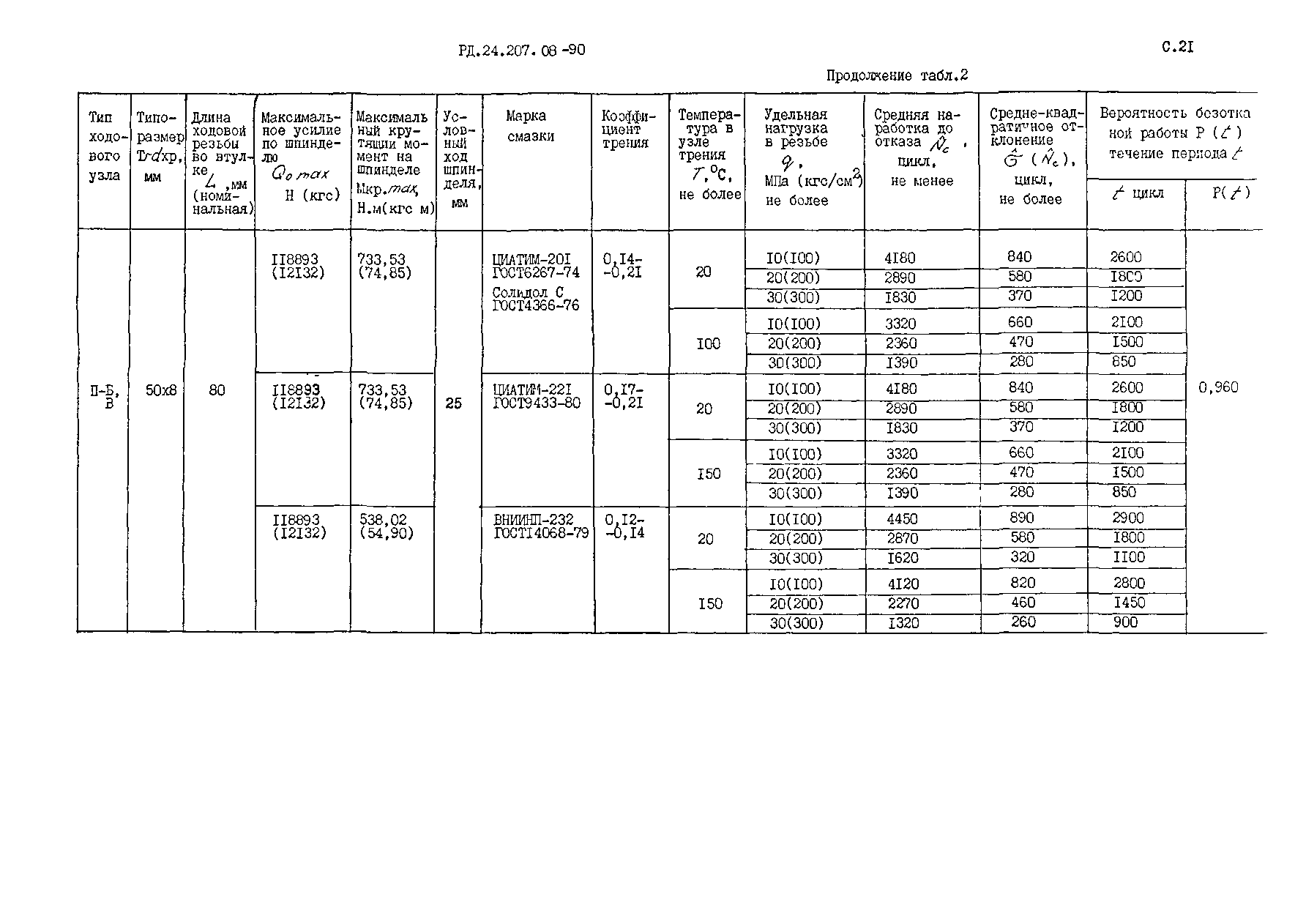
Область применения:Руководящий документ распространяется на трубопроводную арматуру общепромышленного назначения Ду от 6 до 1400 мм с ручным управлением или электроприводом и устанавливает: основные размеры ходовых резьбовых пар, работающих при температуре в узле трения до 503 К (230 градусов Цельсия) и удельной нагрузке до 50 МПа (500 кгс/см2), технические требования и рекомендации по применению ходовых резьбовых пар. Руководящий документ применять при новом проектировании и модернизации ранее разработанной арматуры.
Оглавление:1. Основные размеры
2. Технические требования
3. Рекомендации по применению
Разработан: ЦКБА ЛНПОА Знамя труда им. И.И. Лепсе
Расположен в:Техническая документация Экология ГИДРАВЛИЧЕСКИЕ И ПНЕВМАТИЧЕСКИЕ СИСТЕМЫ И КОМПОНЕНТЫ ОБЩЕГО НАЗНАЧЕНИЯ Трубопроводы и их компоненты Компоненты трубопроводов прочие
Список изменений:
Заменяет собой:
  • ОСТ 26-07-2007-78 «Узлы бугельные без подшипников для трубопроводной арматуры с выдвижным шпинделем. Конструкция и размеры»
  • ОСТ 26-07-2017-79 «Узлы бугельные с подшипниками качения для трубопроводной арматуры. Конструкция и размеры»
Чем заменён:
Нормативные ссылки:
РД 24.207.08-90РД 24.207.08-90РД 24.207.08-90РД 24.207.08-90РД 24.207.08-90РД 24.207.08-90РД 24.207.08-90РД 24.207.08-90РД 24.207.08-90РД 24.207.08-90РД 24.207.08-90РД 24.207.08-90РД 24.207.08-90РД 24.207.08-90РД 24.207.08-90РД 24.207.08-90РД 24.207.08-90РД 24.207.08-90РД 24.207.08-90РД 24.207.08-90РД 24.207.08-90РД 24.207.08-90РД 24.207.08-90РД 24.207.08-90РД 24.207.08-90РД 24.207.08-90РД 24.207.08-90РД 24.207.08-90РД 24.207.08-90РД 24.207.08-90РД 24.207.08-90РД 24.207.08-90РД 24.207.08-90РД 24.207.08-90РД 24.207.08-90РД 24.207.08-90РД 24.207.08-90

Текстовое изменение № 1 от 01.10.2008

№ 1

© 2013 Ёшкин Кот :-) Карта сайта