| ||||||||||||||||||||||||||||
Скачать ТЕРм Республика Дагестан 2001-06 Теплосиловое оборудование. Территориальные единичные расценки на монтаж оборудования в Республике ДагестанДата актуализации: 10.08.2017
|
| Обозначение: | ТЕРм Республика Дагестан 2001-06 |
| Обозначение англ: | 2001-06 |
| Статус: | действует |
| Название рус.: | Теплосиловое оборудование. Территориальные единичные расценки на монтаж оборудования в Республике Дагестан |
| Дата добавления в базу: | 01.09.2013 |
| Дата актуализации: | 05.05.2017 |
| Дата введения: | 01.09.2003 |
| Область применения: | Предназначены для определения прямых затрат в сметной стоимости работ по монтажу теплосилового оборудования, а также для расчетов за выполненные работы. Территориальные единичные расценки на монтаж оборудования ТЕРм 81-03-06-2001 "Теплосиловое оборудование" разработаны в уровне цен базового района (Республика Дагестан) по состоянию на 1 января 2000 года |
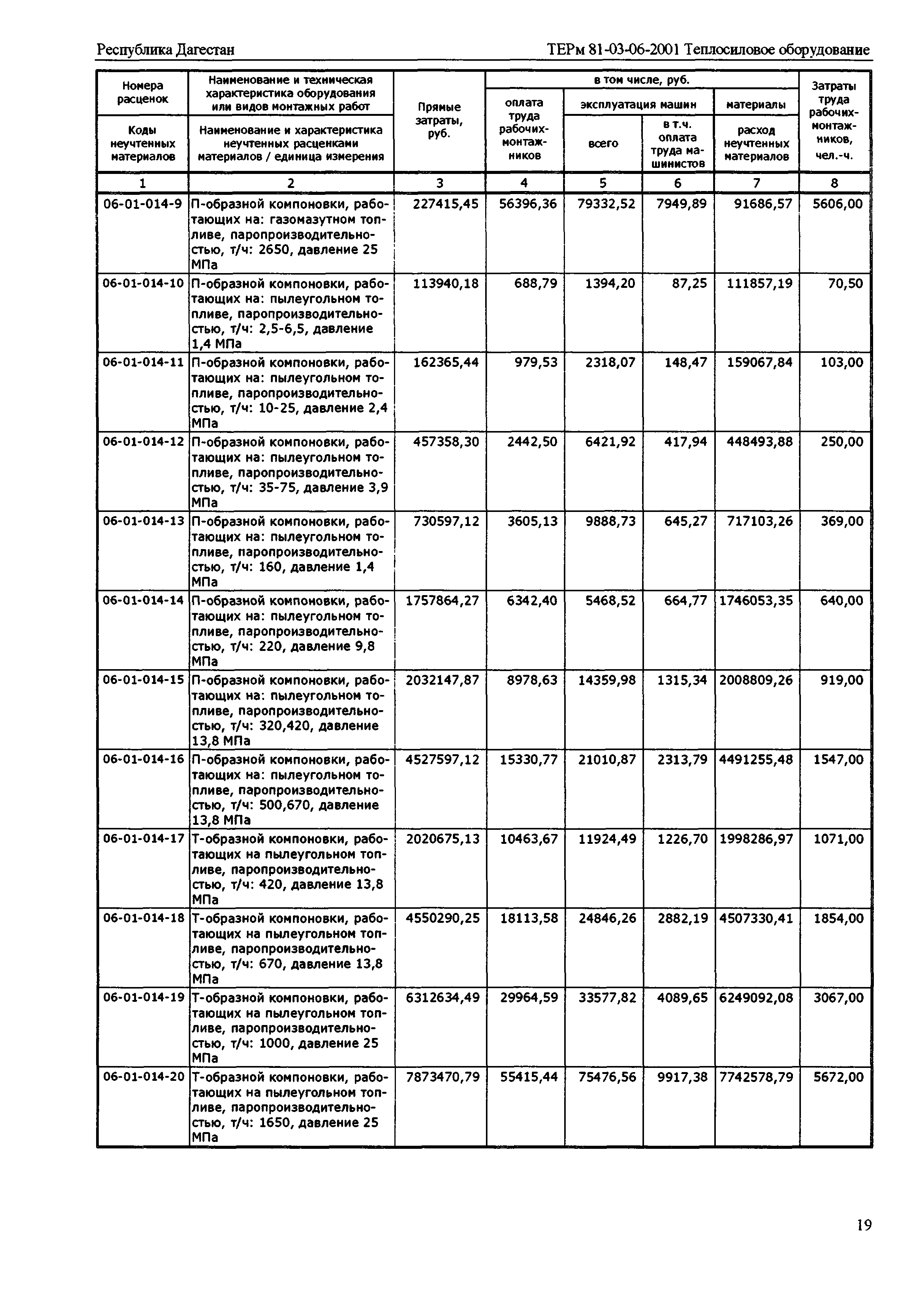
| Оглавление: | Техническая часть Отдел 01. Паровые и водогрейные стационарные котлы Вводные указания Раздел 1. Элементы паровых стационарных котлов 06-01-001 Каркасные конструкции 06-01-002 Барабаны с сепарационными устройствами 06-01-003 Блоки барабана с трубами конвективного пучка, перепускными трубами, экранами и опорными рамами котлов типа КЕ и ДЕ 06-01-004 Экраны и трубы конвективного пучка 06-01-005 Трубы водоподводящие и пароотводящие 06-01-006 Пароперегреватели радиационные 06-01-007 Пароперегреватели конвективные 06-01-008 Экономайзеры стационарных котлов 06-01-009 Воздухоподогреватели 06-01-010 Трубопроводы в пределах котлов 06-01-011 Обдувочные и очистные устройства, шахты золо- и шлакоудаления 06-01-012 Горелки, форсунки, прочие детали и конструкции 06-01-013 Испытание паровых котлов на газовую плотность 06-01-014 Гидравлическое испытание паровых котлов 06-01-015 Химическая очистка паровых котлов давлением 9,8 МПа и свыше 06-01-016 Испытание котлов на паровую плотность Раздел 2. Котлы паровые автоматизированные 06-01-052 Котлы давлением до 0,9 МПа Раздел 3. Элементы водогрейных котлов 06-01-064 Каркасные конструкции 06-01-065 Блоки поверхностей нагрева (топочный и конвективный) 06-01-066 Экраны 06-01-067 Конвективные поверхности 06-01-068 Трубопроводы в пределах котлов 06-01-069 Воздухоподогреватели 06-01-070 Лестницы и площадки, прочие детали и конструкции 06-01-071 Гидравлическое испытание водогрейных котлов 06-01-072 Испытание водогрейных котлов на газовую плотность 06-01-073 Щелочение и испытание водогрейных котлов на тепловую плотность Отдел 02. Котельно-вспомогательное оборудование Вводные указания Раздел 1. Топочные устройства 06-02-001 Решетки 06-02-002 Топки полумеханические 06-02-003 Топки механические 06-02-004 Подогреватели и фильтры мазута Раздел 2. Оборудование пылеприготовления 06-02-011 Мельницы углеразмольные 06-02-012 Питатели пыли, сырого угля, пылевые шнеки и мигалки 06-02-013 Сепараторы пыли и циклоны 06-02-014 Пылегазовоздухопроводы и газозаборные шахты Отдел 03. Оборудование водоподготовки Вводные указания Раздел 1. Аппаратура для химической очистки воды 06-03-001 Фильтры 06-03-002 Осветлители 06-03-003 Гидравлические мешалки 06-03-004 Солерастворители 06-03-005 Подогреватели 06-03-006 Декарбонизаторы Раздел 2. Аппаратура для термической обработки воды 06-03411 Сепараторы 06-03-012 Расширители 06-03-013 Деаэрационные колонки 06-43-014 Охладители выпара 06-03-015 Эжекторы водо- и пароструйные 06-43-016 Испарители Раздел 3. Станционные баки 06-03-021 Деаэраторы и баки внутренней установки (деаэраторные) под давлением 06-03-022 Баки внутренней установки без давления Раздел 4. Установки для преобразования пара 06-03-030 Редукционно-охладительные установки Отдел 04. Агрегаты паротурбинные и газотурбинные Вводные указания Раздел 1. Турбины паровые стационарные и установки газотурбинные стационарные 06-04-001 Турбины конденсационные без регулируемых отборов пара 06-04-002 Турбины теплофикационные с отопительным отбором пара 06-04-003 Турбины теплофикационные с производственным и отопительным отбором пара 06-04-004 Турбины с противодавлением без регулируемого отбора пара, одноцилиндровые 06-04-005 Турбины теплофикационные с противодавлением и производственным отбором пара, одноцилиндровые 06-04-006 Установки газотурбинные энергетические Раздел 2. Конденсаторы 06-04-015 Конденсаторы к турбинам паровым стационарным Раздел 3. Турбогенераторы 06-04-020 Турбогенераторы с воздушным охлаждением серии Т 06-04-021 Турбогенераторы с водородным охлаждением серии ТВС 06-04-022 Турбогенераторы с форсированным водородным охлаждением серии ТВФ 06-04-023 Турбогенераторы с водородным охлаждением серии ТГВ 06-04-024 Турбогенераторы с водородно-водяным охлаждением серии ТВВ Отдел 05. Турбинное вспомогательное оборудование Вводные указания 06-05-001 Теплообменное оборудование Приложение 1 Расход материальных ресурсов на сушку обмуровки, щелочение, испытание оборудования (в том числе на газовую и паровую плотность), химическую очистку, промывку и регенерацию Приложение 2 Расход фильтрующих материалов для аппаратуры химводоочистки Приложение 3 Расход материальных ресурсов для заполнения агрегатов паротурбинных и газотурбинных Приложение 4 Стоимость 1 чел.-ч рабочих-монтажников в зависимости от среднего разряда работы Приложение 5 Сметные расценки на эксплуатацию строительных машин Приложение 6 Сметные цены на материалы, изделия и конструкции |
| Разработан: | ГПИ Дагестангражданпроект |
| Утверждён: | Правительство Республики Дагестан (МВК РД) |
| Расположен в: |






























































