| ||||||||||||||||||||||||||||
Скачать ТЕРм Республика Дагестан 2001-03 Подъемно-транспортное оборудование. Территориальные единичные расценки на монтаж оборудования в Республике ДагестанДата актуализации: 10.08.2017
|
| Обозначение: | ТЕРм Республика Дагестан 2001-03 |
| Обозначение англ: | 2001-03 |
| Статус: | действует |
| Название рус.: | Подъемно-транспортное оборудование. Территориальные единичные расценки на монтаж оборудования в Республике Дагестан |
| Дата добавления в базу: | 01.09.2013 |
| Дата актуализации: | 05.05.2017 |
| Дата введения: | 01.09.2003 |
| Область применения: | Предназначены для определения прямых затрат в сметной стоимости работ по монтажу подъемно-транспортного оборудования, а также для расчетов за выполненные работы. Территориальные единичные расценки на монтаж подъемно-транспортного оборудования ТЕРм 81-03-03-2001 разработаны в уровне цен базового района (Республика Дагестан) по состоянию на 1 января 2000 года |
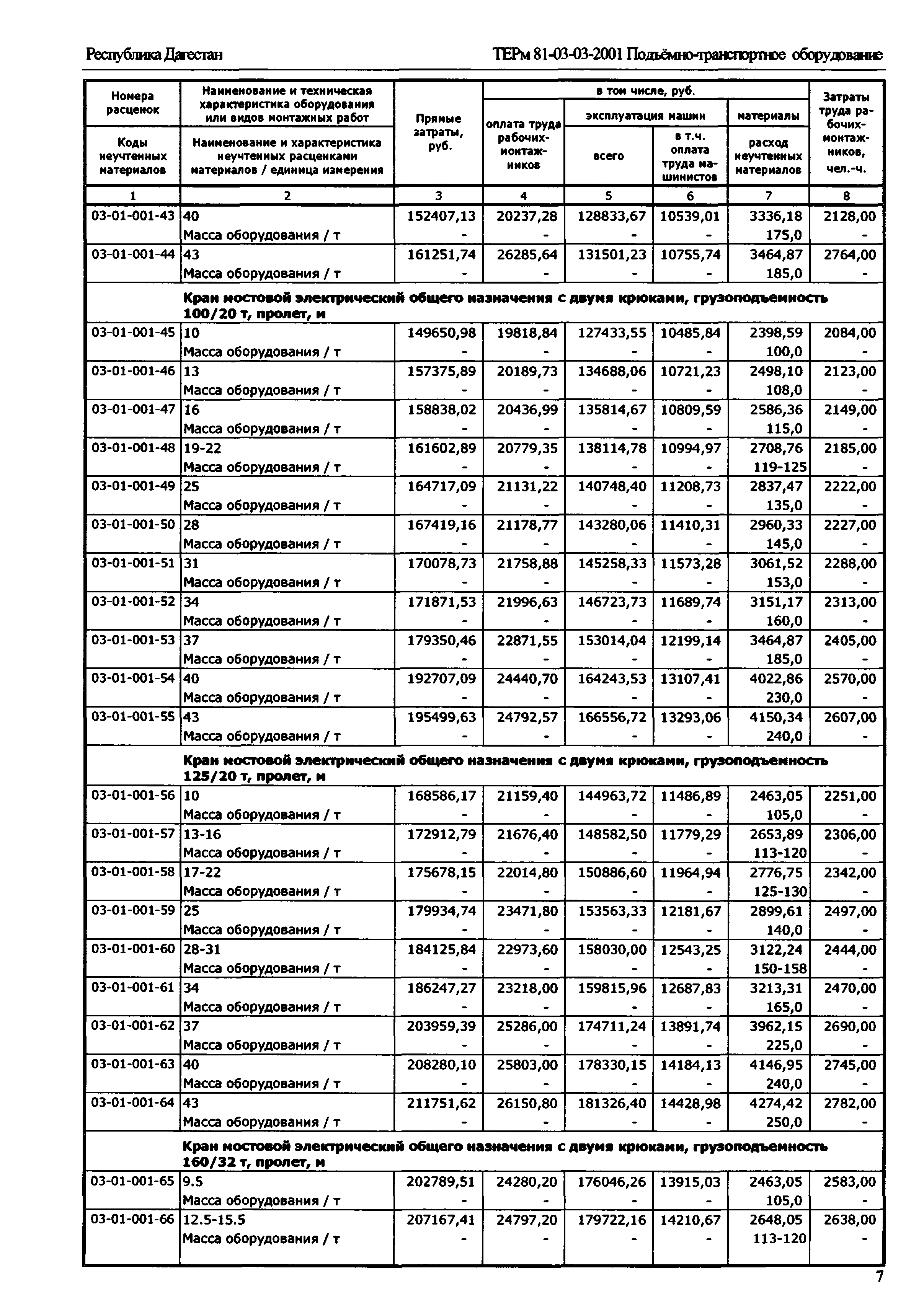
| Оглавление: | Техническая часть Отдел 01. Подъемно-транспортные механизмы прерывного действия Вводные указания Раздел 1. Краны мостовые и консольные общего назначения Таблица 03-01-001 Краны мостовые электрические общего назначения с одним и двумя крюками Таблица 03-01-002 Краны электрические консольные Раздел 2. Краны специальные мостовые Таблица 03-01-017 Краны мостовые электрические магнитные Таблица 03-01-018 Краны мостовые электрические грейферные Таблица 03-01-019 Краны мостовые электрические специальные магнитно-грейферные Таблица 03-01-020 Краны мостовые электрические с вращающейся тележкой и гибким подвесом траверсы Таблица 03-01-021 Краны мостовые электрические с гибким подвесом траверсы Раздел 3. Краны металлургические мостовые Таблица 03-01-033 Краны мостовые электрические колодцевые Таблица 03-01-034 Краны мостовые электрические для раздевания слитков (стрипперные) Таблица 03-01-035 Краны мостовые электрические мульдозавалочные Таблица 03-01-036 Краны мостовые электрические напольно-крышечные Таблица 03-01-037 Краны мостовые электрические ковочные Таблица 03-01-038 Краны мостовые электрические закалочные Раздел 4. Краны перегрузочные Таблица 03-01-052 Перегружатели мостовые электрические грейферные Таблица 03-01-053 Перегружатели контейнерные Раздел 5. Краны портальные Таблица 03-01-065 Краны портальные электрические полноповоротные Таблица 03-01-066 Передвижение кранов портальных без разворота тележек Таблица 03-01-067 Передвижение кранов портальных с разворотом тележек Таблица 03-01-068 Краны портальные иностранных фирм Раздел 6. Лебёдки Таблица 03-01-080 Лебедка электрическая с приспособлением для посадки мясных туш на подвесные пути Раздел 7. Краны подвесные двухбалочные многопролетные электрические Таблица 03-01-091 Краны подвесные многопролетные электрические Таблица 03-01-092 Краны подвесные многопролетные электрические с автоматической стыковкой с двумя неповоротными тележками Таблица 03-01-093 Краны подвесные многопролетные электрические с автоматической стыковкой Раздел 8. Краны-штабелеры и стеллажи Таблица 03-01-105 Краны-штабелеры Таблица 03-01-106 Стеллажи Раздел 9. Централизованная густая смазка кранов Таблица 03-01-117 Краны мостовые электрические Раздел 10. Подъемные механизмы Таблица 03-01-127 Тали ручные стационарные и передвижные Таблица 03-01-128 Тали электрические Раздел 11. Краны козловые Таблица 03-01-138 Краны козловые Отдел 02. Транспортные механизмы непрерывного действия Вводные указания Раздел 1. Конвейеры ленточные Таблица 03-02-001 Конвейеры ленточные стационарные с лентой шириной до 500 мм Таблица 03-02-002 Конвейеры ленточные стационарные с лентой шириной до 1000 мм Таблица 03-02-003 Конвейеры ленточные стационарные с лентой шириной до 1400 мм Таблица 03-02-004 Конвейеры ленточные передвижные реверсивные Раздел 2. Конвейеры пластинчатые и цепные Таблица 03-02-021 Конвейеры пластинчатые легкого типа Раздел 3. Конвейеры тележечные Таблица 03-02-031 Конвейеры тележечные для литейных форм Раздел 4. Конвейеры винтовые Таблица 03-02-041 Конвейеры винтовые общего назначения Раздел 5. Элеваторы Таблица 03-02-056 Элеваторы ковшовые ленточные Таблица 03-02-057 Элеваторы ковшовые цепные вертикальные Раздел 6. Конвейеры специальные Таблица 03-02-072 Конвейеры вертикальные многокабинные с автоматической разгрузкой Отдел 03. Узлы подъемно-транспортного оборудования Вводные указания Раздел 1. Узлы конвейеров и рольгангов Таблица 03-03-001 Конвейеры ленточные с прорезиненной лентой Таблица 03-03-002 Конвейеры цепные подвесные, применяемые в мясной промышленности Таблица 03-03-003 Конвейеры цепные напольные, применяемые в молочной промышленности Таблица 03-03-004 Рольганги Таблица 03-03-005 Конвейеры подвесные толкающие с шагом цепи 100 и 160 мм Таблица 03-03-006 Конвейеры цепные подвесные грузонесущие общего назначения Отдел 04. Подвесные канатные дороги Вводные указания Раздел 1. Двухканатные подвесные грузовые кольцевые и маятниковые дороги Таблица 03-04-001 Канаты несущие, сетевые и тяговые Таблица 03-04-002 Анкеровка линейных, концевых и переходных муфт Таблица 03-04-003 Сети предохранительные Таблица 03-04-004 Оборудование головок опор Таблица 03-04-005 Оборудование станций Таблица 03-04-006 Станции грузовых дорог Таблица 03-04-007 Подвижной состав Раздел 2. Пассажирские подвесные канатные дороги Таблица 03-04-020 Канаты и муфты для канатов Таблица 03-04-021 Маятниковые канатные дороги Таблица 03-04-022 Кресельные канатные дороги Таблица 03-04-023 Буксировочные канатные дороги Отдел 05. Подъёмники Вводные указания Раздел 1. Пассажирские, больничные и грузовые лифты Таблица 03-05-001 Лифты пассажирские со скоростью движения кабины до 1 м/с Таблица 03-05-002 Лифты пассажирские со скоростью движения кабины 1,4 м/с Таблица 03-05-003 Лифты пассажирские со скоростью движения кабины до 4 м/с Таблица 03-05-004 Лифты грузовые общего назначения со скоростью движения кабины 0.5м/с Таблица 03-05-005 Лифты малогрузовые и грузовые тротуарные со скоростью движения кабины до 0,5 м/с Отдел 06. Шахтное подъемно-транспортное оборудование Вводные указания Раздел 1. Лебедки и навеска канатов Таблица 03-06-001 Лебедки проходческие Таблица 03-06-002 Проводниковые канаты проходческого подъема Таблица 03-06-003 Устройства прицепные для проходческих бадей, монтаж на поверхности Таблица 03-06-004 Комплекс оборудования для самоопрокидывающейся проходческой бадьи, монтаж на поверхности Отдел 07. Лесотранспортное оборудование Таблица 03-07-001 Конвейеры роликовые Таблица 03-07-002 Бревнотаски береговые Таблица 03-07-003 Сбрасыватели бревен и досок Таблица 03-07-004 Транспортеры цепные поперечные Таблица 03-07-005 Транспортеры скребковые Таблица 03-07-006 Перекладчики бруса Таблица 03-07-007 Ускорители Отдел 08. Оборудование систем трубопроводного контейнерного пневмотранспорта Раздел 1. Составы контейнеров Таблица 03-08-001 Составы контейнеров для штучных грузов Раздел 2. Оборудование линейное Таблица 03-08-015 Воздуховоды фланцевые Таблица 03-08-016 Секции транспортного трубопровода Таблица 03-08-017 Опоры транспортного трубопровода Таблица 03-08-018 Переводы стрелочные Таблица 03-08-019 Компенсаторы линейные Таблица 03-08-020 Устройства запорные полнопроходные Таблица 03-08-021 Затворы воздушные поворотные Таблица 03-08-022 Клапаны обратные Таблица 03-08-023 Клапаны регулирующие Таблица 03-08-024 Грязесборники Раздел 3. Оборудование погрузочно-разгрузочное Таблица 03-08-038 Комплексы погрузочно-разгрузочные Таблица 03-08-039 Станции погрузочно-разгрузочные Таблица 03-08-040 Камеры приема-запуска Таблица 03-08-041 Манипуляторы Таблица 03-08-042 Упоры Раздел 4. Оборудование гидравлическое и пневматическое Таблица 03-08-057 Блоки пневмоаппаратуры Раздел 5. Оборудование воздуходувных станций Таблица 03-08-072 Глушители Таблица 03-08-073 Фильтры воздушные Раздел 6. Устройства технического обслуживания Таблица 03-08-088 Устройства приемные Приложение 1 Перечень материальных ресурсов, не учтенных в нормах на монтаж оборудования Приложение 2 Расход материальных ресурсов, необходимых для индивидуального испытания оборудования Приложение 3 Стоимость 1 чел.-ч рабочих-монтажников в зависимости от среднего разряда работы Приложение 4 Сметные расценки на эксплуатацию строительных машин Приложение 5 Сметные цены на материалы, изделия и конструкции |
| Разработан: | ГПИ Дагестангражданпроект |
| Утверждён: | 22.07.2003 Правительство Республики Дагестан (МВК РД № 5) |
| Расположен в: |










































































